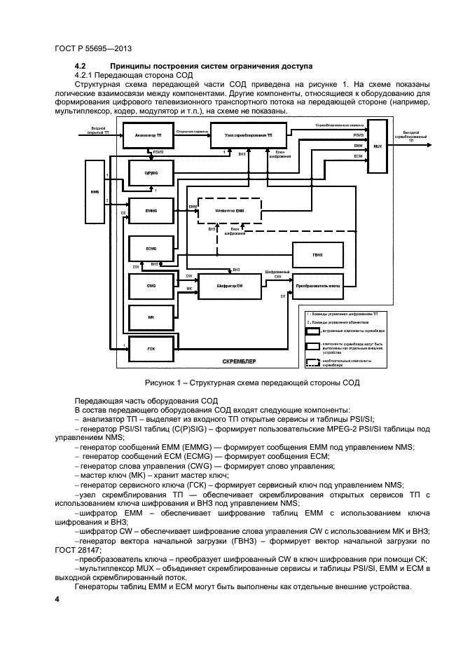
Меню по разделу
+
Настоящий стандарт распространяется на системы ограничения доступа, применяемые на сетях цифрового телевизионного вещания: спутниковых, эфирных и кабельных
| Обозначение: | ГОСТ Р 55695-2013 |
| Статус: | действующий |
| Название рус.: | Телевидение вещательное цифровое. Обеспечение скремблирования и ограничения доступа в системах цифрового телевизионного вещания. Основные параметры |
| Дата актуализации текста: | 06.04.2015 |
| Дата актуализации описания: | 10.08.2017 |
| Дата издания: | 01.04.2014 |
| Дата введения в действие: | 01.09.2014 |
| Дата последнего изменения: | 13.07.2017 |
| Область и условия применения: | Настоящий стандарт распространяется на системы ограничения доступа, применяемые на сетях цифрового телевизионного вещания: спутниковых, эфирных и кабельных |
| Страниц: | 19 |
| Ссылки для скачивания: |

