Меню
Навигация
Novatika
Первая линия

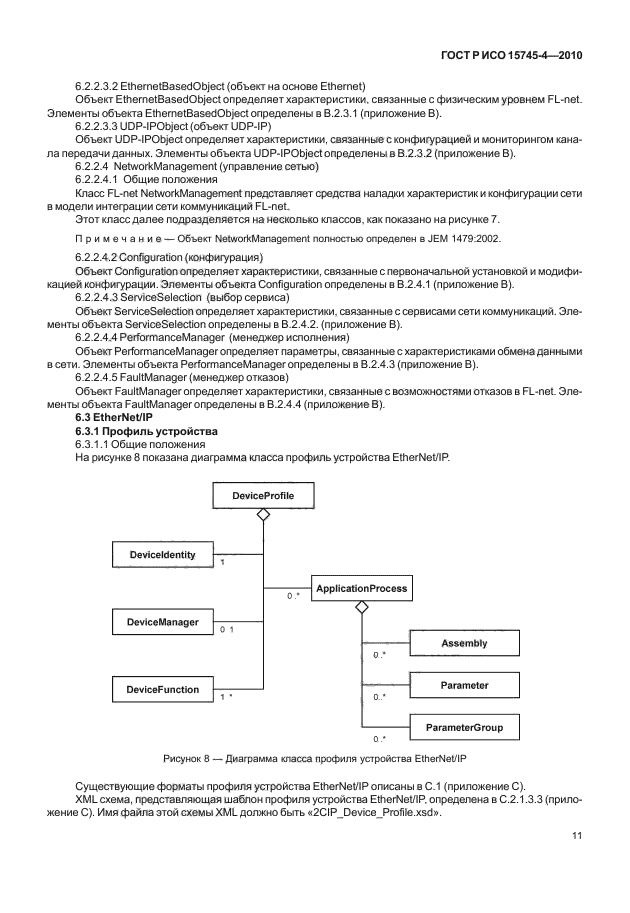
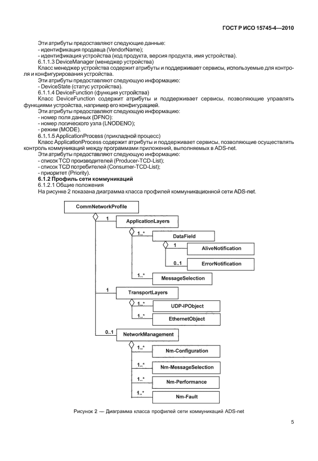
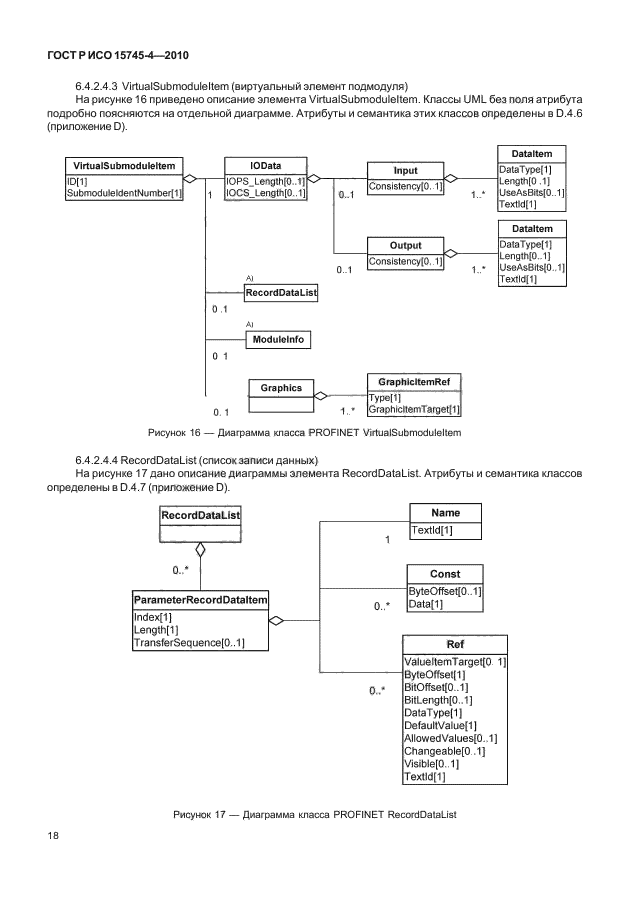
ГОСТ Р ИСО 15745-4-2010 Системы промышленной автоматизации и интеграция. Прикладная интеграционная среда открытых систем. Часть 4. Эталонное описание систем управления на основе стандарта Ethernet

Настоящий стандарт устанавливает описание технологических спецификаций для элементов и правил как профилей коммуникационной сети, так и связанных с коммуникациями аспектов профилей устройств, относящихся к системам управления на основе Ethernet

Обозначение: ГОСТ Р ИСО 15745-4-2010
Статус: заменён
Заменяющий: ГОСТ Р ИСО 15745-4-2012 Системы промышленной автоматизации и интеграция. Прикладная интеграционная среда открытых систем. Часть 4. Эталонное описание систем управления на основе стандарта Ethernet
Название рус.: Системы промышленной автоматизации и интеграция. Прикладная интеграционная среда открытых систем. Часть 4. Эталонное описание систем управления на основе стандарта Ethernet
Название англ.: Industrial automation systems and integration. Open systems application integration framework. Part 4. Reference description for Ethernet-based control systems
Дата актуализации текста: 06.04.2015
Дата актуализации описания: 10.08.2017
Дата издания: 28.08.2013
Дата введения в действие: 31.08.2011
Дата последнего изменения: 13.07.2017
Дата окончания срока действия: 01.01.2014
Область и условия применения: Настоящий стандарт устанавливает описание технологических спецификаций для элементов и правил как профилей коммуникационной сети, так и связанных с коммуникациями аспектов профилей устройств, относящихся к системам управления на основе Ethernet
Страниц: 166
Ссылки для скачивания: