Меню по разделу
+
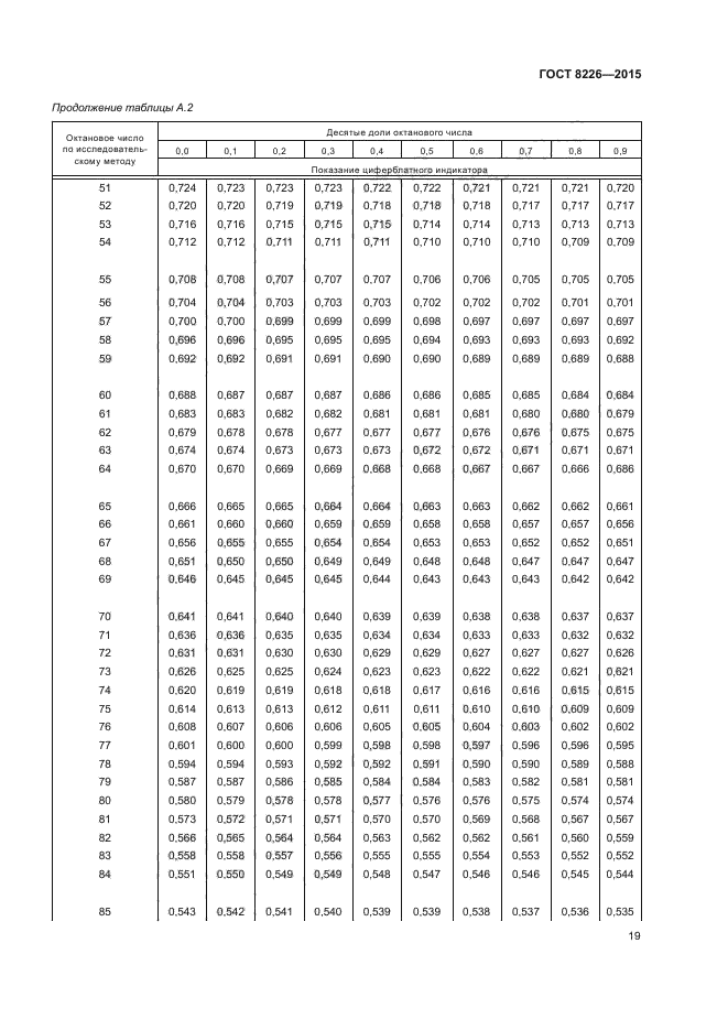
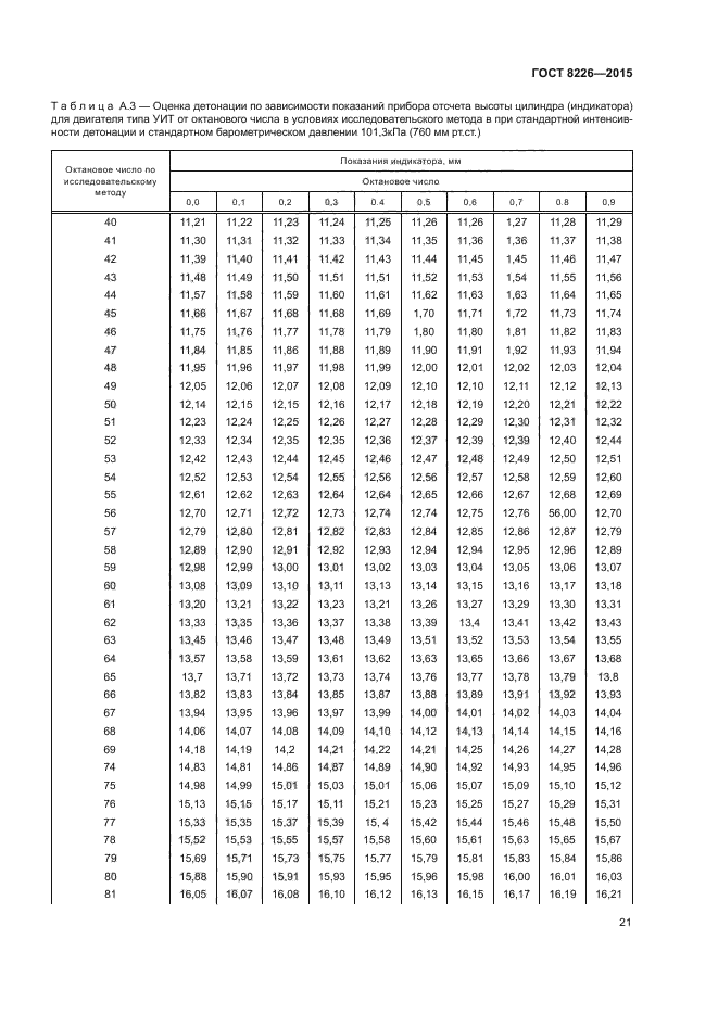
Настоящий стандарт устанавливает исследовательский метод определения октанового числа как характеристики детонационной стойкости автомобильных бензинов и их компонентов, предназначенных для использования в двигателях с искровым зажиганием, на одноцилиндровом четырехтактном двигателе. В качестве стандартного одноцилиндрового двигателя в настоящее время применяют установки отечественного производства типа УИТ и зарубежного производства CFR с переменной степенью сжатия с использованием условной шкалы октановых чисел
| Обозначение: | ГОСТ 8226-2015 |
| Статус: | действующий |
| Название рус.: | Топливо для двигателей. Исследовательский метод определения октанового числа |
| Дата актуализации текста: | 07.08.2016 |
| Дата актуализации описания: | 10.08.2017 |
| Дата издания: | 08.02.2016 |
| Дата введения в действие: | 01.01.2017 |
| Дата последнего изменения: | 13.07.2017 |
| Область и условия применения: | Настоящий стандарт устанавливает исследовательский метод определения октанового числа как характеристики детонационной стойкости автомобильных бензинов и их компонентов, предназначенных для использования в двигателях с искровым зажиганием, на одноцилиндровом четырехтактном двигателе. В качестве стандартного одноцилиндрового двигателя в настоящее время применяют установки отечественного производства типа УИТ и зарубежного производства CFR с переменной степенью сжатия с использованием условной шкалы октановых чисел |
| Страниц: | 35 |
| Ссылки для скачивания: |

