Меню
Навигация
Novatika
Первая линия

ГОСТ 33259-2015 Фланцы арматуры, соединительных частей и трубопроводов на номинальное давление до PN 250. Конструкция, размеры и общие технические требования

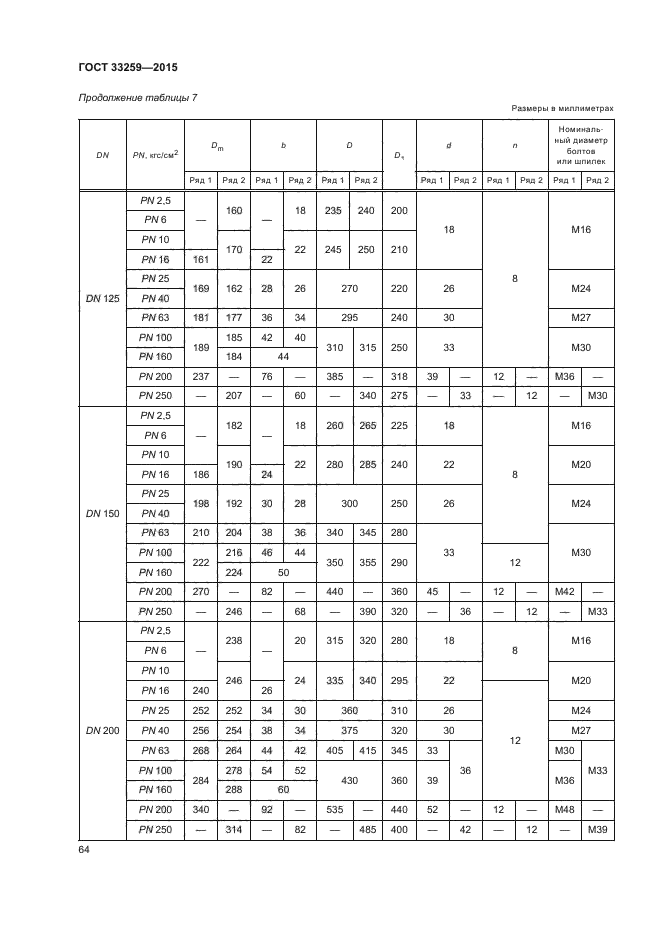
Настоящий стандарт распространяется на присоединительные фланцы трубопроводной арматуры (далее - арматуры), соединительных частей и трубопроводов, а также на присоединительные фланцымашин, оборудования, приборов, патрубков, аппаратов и резервуаров на номинальное давление до PN 250 и устанавливает конструкцию и размеры стальных и чугунных фланцев, определяет типы фланцев, типы форм уплотнительных поверхностей, устанавливает технические требования к изготовлению, маркировке, испытаниям и контролю.
В настоящем стандарте приведены рекомендации по выбору материала для фланцев и крепежных деталей фланцевых соединений а также по выбору уплотнительной поверхности в зависимости от опасности и параметров рабочей среды.
На фланцы для других объектов, параметров и условий применения действуют ГОСТ 1536, ГОСТ 4433, ГОСТ 9399, ГОСТ 25660, ГОСТ 28759.1-ГОСТ 28759.5, [1]

Обозначение: ГОСТ 33259-2015
Статус: действующий
Название рус.: Фланцы арматуры, соединительных частей и трубопроводов на номинальное давление до PN 250. Конструкция, размеры и общие технические требования
Дата актуализации текста: 26.02.2016
Дата актуализации описания: 10.08.2017
Дата издания: 08.02.2016
Дата введения в действие: 01.04.2016
Дата последнего изменения: 13.07.2017
Область и условия применения: Настоящий стандарт распространяется на присоединительные фланцы трубопроводной арматуры (далее - арматуры), соединительных частей и трубопроводов, а также на присоединительные фланцымашин, оборудования, приборов, патрубков, аппаратов и резервуаров на номинальное давление до PN 250 и устанавливает конструкцию и размеры стальных и чугунных фланцев, определяет типы фланцев, типы форм уплотнительных поверхностей, устанавливает технические требования к изготовлению, маркировке, испытаниям и контролю.
В настоящем стандарте приведены рекомендации по выбору материала для фланцев и крепежных деталей фланцевых соединений а также по выбору уплотнительной поверхности в зависимости от опасности и параметров рабочей среды.
На фланцы для других объектов, параметров и условий применения действуют ГОСТ 1536, ГОСТ 4433, ГОСТ 9399, ГОСТ 25660, ГОСТ 28759.1-ГОСТ 28759.5, [1]
Список изменений: №0 от 24.04.2017 (рег. 24.04.2017) «Дата введения перенесена»
№0 от 29.08.2016 (рег. 29.08.2016) «Дата введения перенесена»
Страниц: 106
Ссылки для скачивания: