Меню по разделу
+
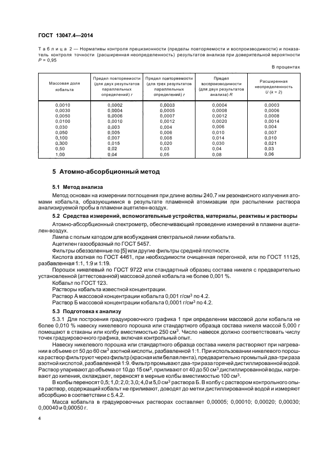
Настоящий стандарт устанавливает спектрофотометрический и атомно-абсорбционный методы определения кобальта (при массовой доле кобальта от 0,0010 % до 1,0 %) в первичном никеле по ГОСТ 849 и никелевом порошке по ГОСТ 9722. В качестве арбитражного метода используется атомно-абсорбционный метод
| Обозначение: | ГОСТ 13047.4-2014 |
| Статус: | действующий |
| Название рус.: | Никель. Кобальт. Методы определения кобальта в никеле |
| Дата актуализации текста: | 26.02.2016 |
| Дата актуализации описания: | 10.08.2017 |
| Дата издания: | 29.09.2015 |
| Дата введения в действие: | 01.01.2016 |
| Дата последнего изменения: | 17.07.2017 |
| Область и условия применения: | Настоящий стандарт устанавливает спектрофотометрический и атомно-абсорбционный методы определения кобальта (при массовой доле кобальта от 0,0010 % до 1,0 %) в первичном никеле по ГОСТ 849 и никелевом порошке по ГОСТ 9722. В качестве арбитражного метода используется атомно-абсорбционный метод |
| Страниц: | 8 |
| Ссылки для скачивания: |

