Меню по разделу
+
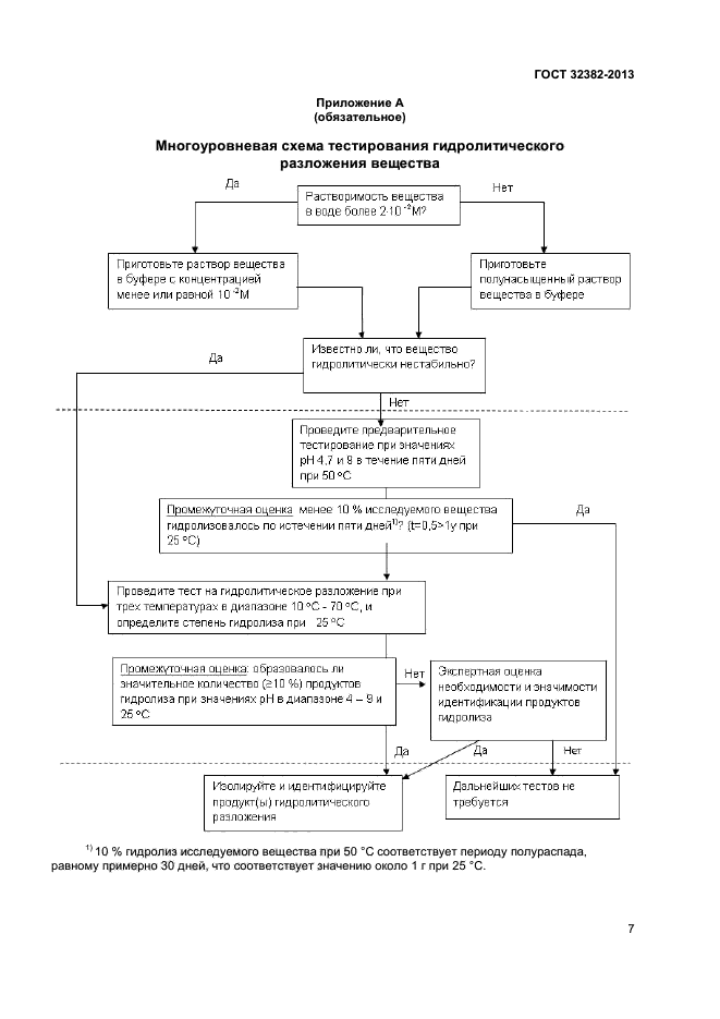
Настоящий стандарт устанавливает метод лабораторного анализа для оценки абиотических гидролитических превращений химических веществ в водных системах при значениях pH, встречающихся в окружающей среде (pH 4 – 9) [1] – [7]
| Обозначение: | ГОСТ 32382-2013 |
| Статус: | действующий |
| Название рус.: | Методы испытаний химической продукции, представляющей опасность для окружающей среды. Гидролиз. |
| Дата актуализации текста: | 06.04.2015 |
| Дата актуализации описания: | 10.08.2017 |
| Дата издания: | 01.04.2014 |
| Дата введения в действие: | 01.08.2014 |
| Дата последнего изменения: | 13.07.2017 |
| Область и условия применения: | Настоящий стандарт устанавливает метод лабораторного анализа для оценки абиотических гидролитических превращений химических веществ в водных системах при значениях pH, встречающихся в окружающей среде (pH 4 – 9) [1] – [7] |
| Страниц: | 18 |
| Ссылки для скачивания: |

