Меню по разделу
+
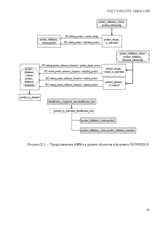
Настоящий стандарт определяет прикладной модуль «Изделие как отдельный предмет производства». В область применения настоящего стандарта входят:
- представление информации для обозначения существующего изделия;
- представление информации для обозначения действительного изделия до его изготовления - планируемого изделия.
В область применения настоящего стандарта не входит представление информации для обозначения рабочего проекта изделия
| Обозначение: | ГОСТ Р ИСО/МЭК 10303-1164-2013 |
| Статус: | принят |
| Название рус.: | Системы автоматизации производства и их интеграция. Представление данных об изделии и обмен этими данными. Часть 1164. Прикладной модуль. Изделие как отдельный предмет производства |
| Дата актуализации текста: | 01.07.2014 |
| Дата актуализации описания: | 01.07.2014 |
| Дата введения в действие: | 01.09.2014 |
| Дата последнего изменения: | 20.12.2013 |
| Область и условия применения: | Настоящий стандарт определяет прикладной модуль «Изделие как отдельный предмет производства». В область применения настоящего стандарта входят:
- представление информации для обозначения существующего изделия; - представление информации для обозначения действительного изделия до его изготовления - планируемого изделия. В область применения настоящего стандарта не входит представление информации для обозначения рабочего проекта изделия |
| Страниц: | 50 |
| Ссылки для скачивания: |

