Меню по разделу
+
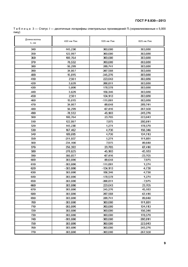
Настоящий стандарт устанавливает методику измерений оптической диффузной плотности (статусы Т, Е, I, тип 3) фотоматериалов
| Обозначение: | ГОСТ Р 8.830-2013 |
| Статус: | действующий |
| Название рус.: | Государственная система обеспечения единства измерений. Оптическая плотность фотоматериалов. Методика измерений |
| Дата актуализации текста: | 06.04.2015 |
| Дата актуализации описания: | 10.08.2017 |
| Дата издания: | 02.10.2014 |
| Дата введения в действие: | 01.07.2015 |
| Дата последнего изменения: | 13.07.2017 |
| Область и условия применения: | Настоящий стандарт устанавливает методику измерений оптической диффузной плотности (статусы Т, Е, I, тип 3) фотоматериалов |
| Страниц: | 15 |
| Ссылки для скачивания: |

