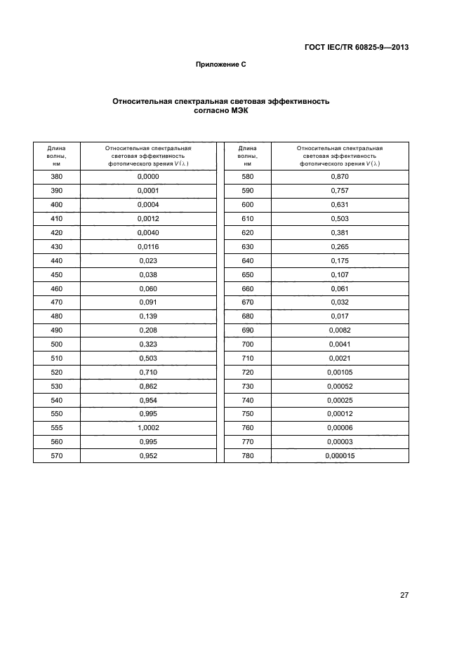
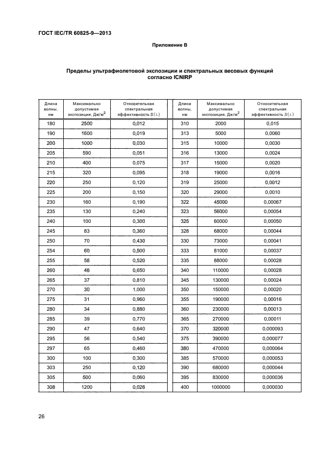
Меню по разделу
+
Настоящий стандарт приводит в соответствие действие значений максимально допустимой экспозиции для экспозиции некогерентного оптического излучения от искусственных источников на глаз человека или его кожу в диапазоне длин волн от 180 до 3000 нм с предельным согласованием.
Эти величины базируются на доступной экспериментально изученной информации и могут использоваться только как инструкция при контроле экспозиции излучения искусственных источников, и не будут рассматриваться как линейный процесс между безопасностью и опасными уровнями
| Обозначение: | ГОСТ IEC/TR 60825-9-2013 |
| Статус: | действующий |
| Название рус.: | Безопасность лазерной аппаратуры. Часть 9. Компиляция максимально допустимой экспозиции некогерентного оптического излучения |
| Дата актуализации текста: | 06.04.2015 |
| Дата актуализации описания: | 10.08.2017 |
| Дата издания: | 25.02.2014 |
| Дата введения в действие: | 01.07.2014 |
| Дата последнего изменения: | 13.07.2017 |
| Область и условия применения: | Настоящий стандарт приводит в соответствие действие значений максимально допустимой экспозиции для экспозиции некогерентного оптического излучения от искусственных источников на глаз человека или его кожу в диапазоне длин волн от 180 до 3000 нм с предельным согласованием.
Эти величины базируются на доступной экспериментально изученной информации и могут использоваться только как инструкция при контроле экспозиции излучения искусственных источников, и не будут рассматриваться как линейный процесс между безопасностью и опасными уровнями |
| Страниц: | 36 |
| Ссылки для скачивания: |

