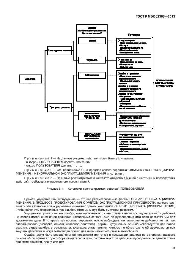
Меню по разделу
+
Настоящий стандарт устанавливает процесс, выполняемый изготовителем для анализа, определения, разработки, верификации и валидации эксплуатационной пригодности в части, имеющей отношение к безопасности медицинских изделий. процесс проектирования с учетом эксплуатационной пригодности направлен на оценку и снижение рисков, вызванных проблемами с эксплуатационной пригодностью и связанных с корректной эксплуатацией/применением и ошибками эксплуатации/применения, т.е. с нормальной эксплуатацией/применением.
Настоящий стандарт может применяться для определения, но не оценки и снижения рисков, связанных с ненормальной эксплуатацией/применением.
Настоящий стандарт не применяется для принятия клинических решений, касающихся использования медицинских изделий
| Обозначение: | ГОСТ Р МЭК 62366-2013 |
| Статус: | действующий |
| Название рус.: | Изделия медицинские. Проектирование медицинских изделий с учетом эксплуатационной пригодности |
| Дата актуализации текста: | 15.10.2015 |
| Дата актуализации описания: | 10.08.2017 |
| Дата издания: | 28.05.2015 |
| Дата введения в действие: | 01.01.2015 |
| Дата последнего изменения: | 13.07.2017 |
| Область и условия применения: | Настоящий стандарт устанавливает процесс, выполняемый изготовителем для анализа, определения, разработки, верификации и валидации эксплуатационной пригодности в части, имеющей отношение к безопасности медицинских изделий. процесс проектирования с учетом эксплуатационной пригодности направлен на оценку и снижение рисков, вызванных проблемами с эксплуатационной пригодностью и связанных с корректной эксплуатацией/применением и ошибками эксплуатации/применения, т.е. с нормальной эксплуатацией/применением.
Настоящий стандарт может применяться для определения, но не оценки и снижения рисков, связанных с ненормальной эксплуатацией/применением. Настоящий стандарт не применяется для принятия клинических решений, касающихся использования медицинских изделий |
| Страниц: | 90 |
| Ссылки для скачивания: |

