Меню по разделу
+
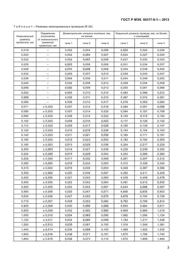
Настоящий стандарт устанавливает общие требования к эмалированным круглым медным обмоточным проводам с клеящим слоем или без него.
Диапазон номинальных диаметров проволоки приведен в соответствующем стандарте серии МЭК 60317, устанавливающем частные требования к проводам конкретного типа
| Обозначение: | ГОСТ Р МЭК 60317-0-1-2013 |
| Статус: | действующий |
| Название рус.: | Технические условия на обмоточные провода конкретных типов. Часть 0-1. Общие требования. Провода медные круглые эмалированные |
| Дата актуализации текста: | 06.04.2015 |
| Дата актуализации описания: | 10.08.2017 |
| Дата издания: | 01.11.2014 |
| Дата введения в действие: | 01.01.2015 |
| Дата последнего изменения: | 13.07.2017 |
| Область и условия применения: | Настоящий стандарт устанавливает общие требования к эмалированным круглым медным обмоточным проводам с клеящим слоем или без него.
Диапазон номинальных диаметров проволоки приведен в соответствующем стандарте серии МЭК 60317, устанавливающем частные требования к проводам конкретного типа |
| Страниц: | 27 |
| Ссылки для скачивания: |

