Меню по разделу
+
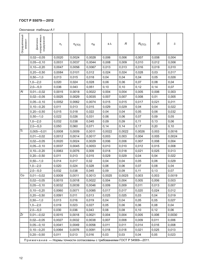
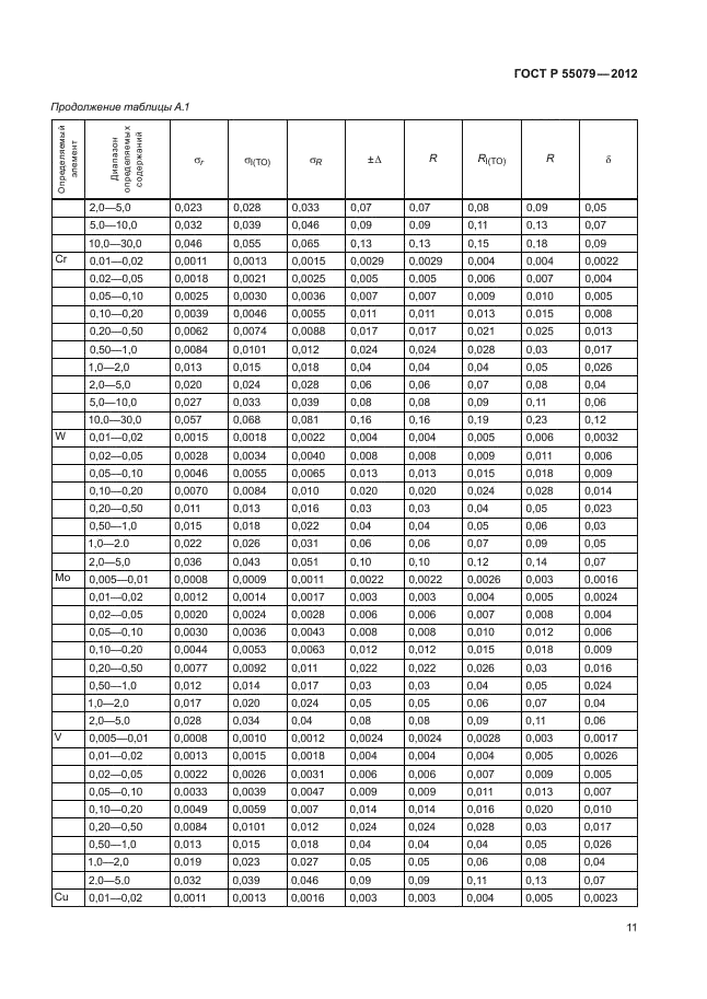
Настоящий стандарт устанавливает атомно-эмиссионный с индуктивно связанной плазмой спектрометрический метод определения массовой доли элементов в углеродистых, легированных, высоколегированных сталях.
Стандарт применим для определения массовой доли элементов в анализируемых растворах как с использованием, так и без использования внутреннего стандарта
| Обозначение: | ГОСТ Р 55079-2012 |
| Статус: | действующий |
| Название рус.: | Сталь. Метод атомно-эмиссионного анализа с индуктивно связанной плазмой |
| Дата актуализации текста: | 07.08.2016 |
| Дата актуализации описания: | 10.08.2017 |
| Дата издания: | 31.03.2016 |
| Дата введения в действие: | 01.01.2014 |
| Дата последнего изменения: | 13.07.2017 |
| Область и условия применения: | Настоящий стандарт устанавливает атомно-эмиссионный с индуктивно связанной плазмой спектрометрический метод определения массовой доли элементов в углеродистых, легированных, высоколегированных сталях.
Стандарт применим для определения массовой доли элементов в анализируемых растворах как с использованием, так и без использования внутреннего стандарта |
| Страниц: | 19 |
| Ссылки для скачивания: |

