Меню по разделу
+
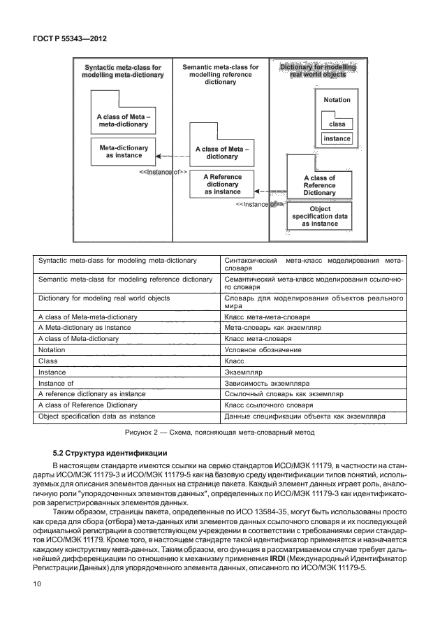
В настоящем стандарте определена структура стандартного интерфейса электронных таблиц библиотеки деталей, используемого для определения (обмена) ссылочного словаря или для определения и обмена элементами данных, принадлежащими некоторому классу библиотек.
В настоящем стандарте также установлено стандартное взаимное отображение данных, содержащих словарь, представленный в формате электронных таблиц, удовлетворяющих требованиям настоящего стандарта, и данных, представленных по ИСО 13584-25 и соответствующих требованиям модели EXPRESS для словарного обмена
| Обозначение: | ГОСТ Р 55343-2012 |
| Статус: | действующий |
| Название рус.: | Системы промышленной автоматизации и интеграция. Библиотека деталей. Часть 35. Ресурсы практической реализации. Интерфейс электронных таблиц библиотеки деталей |
| Дата актуализации текста: | 06.04.2015 |
| Дата актуализации описания: | 10.08.2017 |
| Дата издания: | 31.10.2014 |
| Дата введения в действие: | 01.01.2014 |
| Дата последнего изменения: | 13.07.2017 |
| Область и условия применения: | В настоящем стандарте определена структура стандартного интерфейса электронных таблиц библиотеки деталей, используемого для определения (обмена) ссылочного словаря или для определения и обмена элементами данных, принадлежащими некоторому классу библиотек.
В настоящем стандарте также установлено стандартное взаимное отображение данных, содержащих словарь, представленный в формате электронных таблиц, удовлетворяющих требованиям настоящего стандарта, и данных, представленных по ИСО 13584-25 и соответствующих требованиям модели EXPRESS для словарного обмена |
| Страниц: | 106 |
| Ссылки для скачивания: |

