Меню по разделу
+
Настоящий стандарт устанавливает основные принципы и определяет порядок разрабоки экологических программ и экологических деклараций типа III, а также устанавливает принципы использования стандартов серии ИСО 14040 при разработке указанных программ и деклараций
| Обозначение: | ГОСТ Р ИСО 14025-2012 |
| Статус: | действующий |
| Название рус.: | Этикетки и декларации экологические. Экологические декларации типа III. Принципы и процедуры |
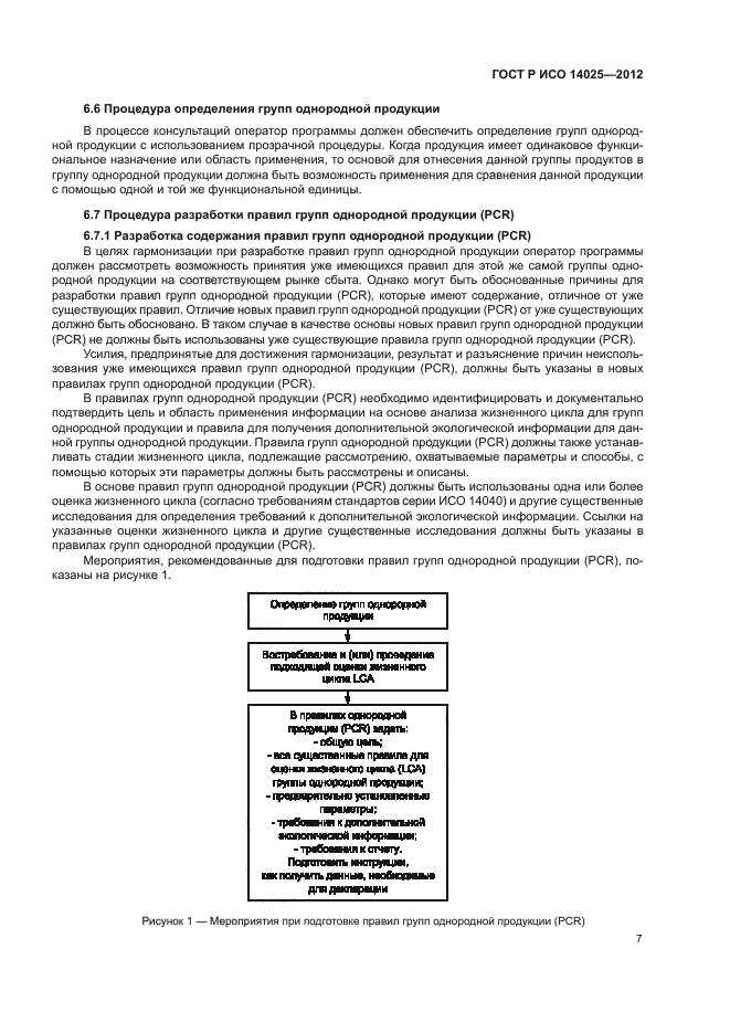
| Дата актуализации текста: | 06.04.2015 |
| Дата актуализации описания: | 10.08.2017 |
| Дата издания: | 15.05.2014 |
| Дата введения в действие: | 01.01.2014 |
| Дата последнего изменения: | 13.07.2017 |
| Область и условия применения: | Настоящий стандарт устанавливает основные принципы и определяет порядок разрабоки экологических программ и экологических деклараций типа III, а также устанавливает принципы использования стандартов серии ИСО 14040 при разработке указанных программ и деклараций |
| Страниц: | 28 |
| Ссылки для скачивания: |

