Меню по разделу
+
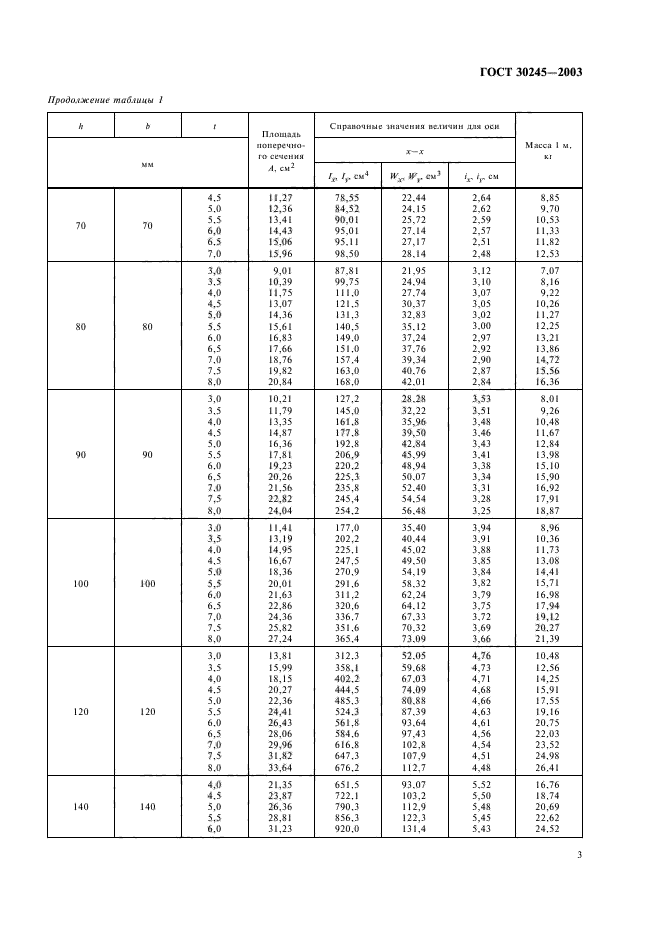
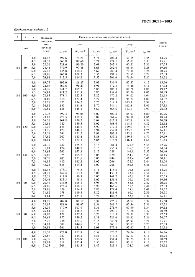
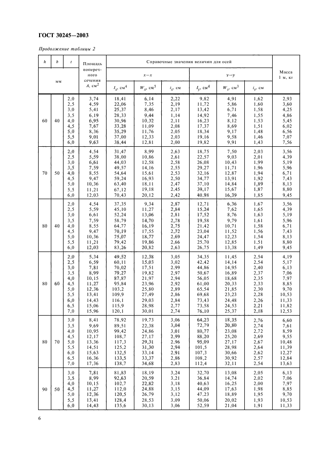
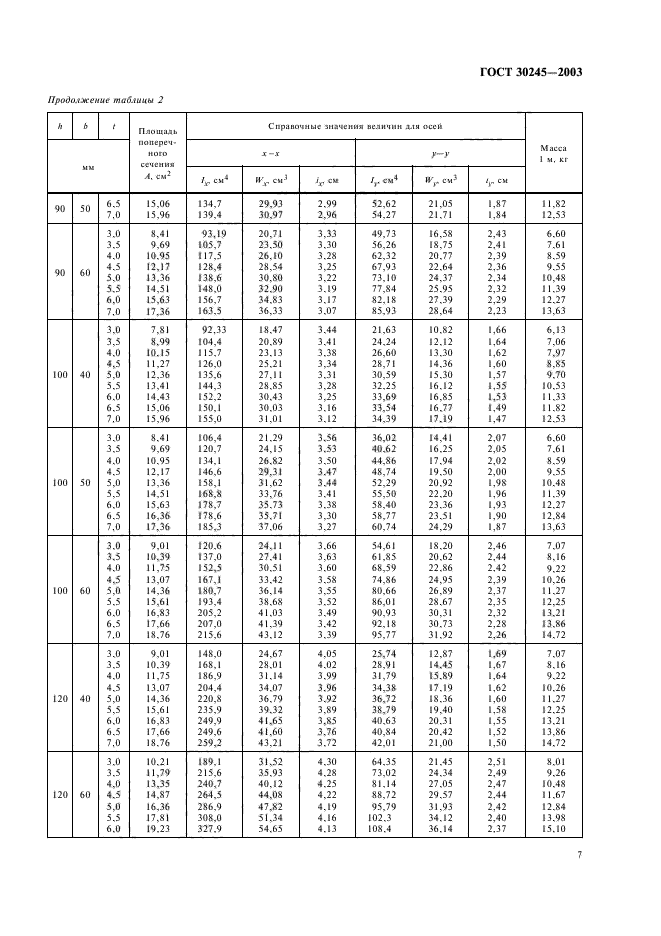
Настоящий стандарт распространяется на стальные гнутые замкнутые сварные квадратные и прямоугольные профили, предназначенные для строительных стальных конструкций.
Профили изготовляют на специализированных станах путем формирования круглого трубчатого сечения с продольным сварным швом и последующим обжатием валками в квадратный или прямоугольный профиль
| Обозначение: | ГОСТ 30245-2003 |
| Статус: | действующий |
| Заменяющий: | ГОСТ 30245-2012 Профили стальные гнутые замкнутые сварные квадратные и прямоугольные для строительных конструкций. Технические условия |
| Название рус.: | Профили стальные гнутые замкнутые сварные квадратные и прямоугольные для строительных конструкций. Технические условия |
| Название англ.: | Steel bent closed welded square and rectangular section for building. Specifications |
| Дата актуализации текста: | 06.04.2015 |
| Дата актуализации описания: | 10.08.2017 |
| Дата издания: | 01.04.2008 |
| Дата введения в действие: | 30.09.2003 |
| Дата последнего изменения: | 13.07.2017 |
| Дата окончания срока действия: | 01.07.2018 |
| Переиздание: | переиздание |
| Область и условия применения: | Настоящий стандарт распространяется на стальные гнутые замкнутые сварные квадратные и прямоугольные профили, предназначенные для строительных стальных конструкций.
Профили изготовляют на специализированных станах путем формирования круглого трубчатого сечения с продольным сварным швом и последующим обжатием валками в квадратный или прямоугольный профиль |
| Список изменений: | №0 от 30.09.2014 (рег. 29.09.2014) «Отменен» №0 от 01.01.2016 (рег. 03.11.2015) «Отменен» №0 от 30.06.2018 (рег. 20.12.2016) «Отменен» |
| Страниц: | 19 |
| Ссылки для скачивания: |

