Меню по разделу
+
Настоящий стандарт устанавливает правила и методы оценки рисков, связанных с ущербом здоровью и жизни работника в процессе его трудовой деятельности, и может быть использован на различных уровнях – национальном, в отрасли экономики и промышленности, в организации и на отдельном рабочем месте.
Настоящий стандарт применяют в целях:
- обеспечения конституционного права работника на труд в условиях, отвечающих требованиям безопасности и гигиены [1, статья 37, пункт 3];
- получения данных (об опасностях и рисках) для информирования работников о риске повреждения здоровья [2, статья 212];
- обоснования положенной социальной защиты работников, в том числе компенсаций за работу во вредных и (или) опасных условиях труда;
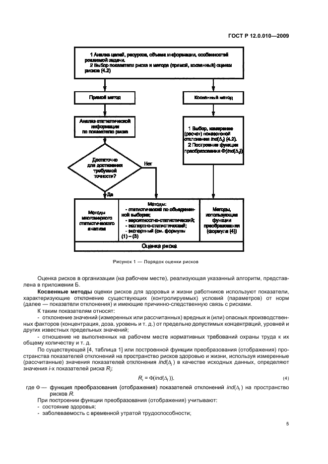
- оценивания эффективности мер по совершенствованию охраны труда;
- принятия превентивных мер по защите здоровья работника;
- выяснения причинно-следственной связи состояния здоровья работников с условиями труда;
- обоснования положений трудового договора об обязательствах работодателя по обеспечению работника необходимыми средствами индивидуальной защиты, установлению соответствующего режима труда и отдыха, а также по обеспечению других предусмотренных законодательством гарантий и компенсаций.
Настоящий стандарт может быть применен экспертными и страховыми организациями для обоснования размера страховых тарифов
| Обозначение: | ГОСТ Р 12.0.010-2009 |
| Статус: | действующий |
| Название рус.: | Система стандартов безопасности труда. Системы управления охраной труда. Определение опасностей и оценка рисков |
| Название англ.: | Occupational safety standards system. Occupational safety and health management systems. Hazard and risks identification and estimation of risks |
| Дата актуализации текста: | 06.04.2015 |
| Дата актуализации описания: | 10.08.2017 |
| Дата издания: | 24.01.2011 |
| Дата введения в действие: | 01.01.2011 |
| Дата последнего изменения: | 13.07.2017 |
| Область и условия применения: | Настоящий стандарт устанавливает правила и методы оценки рисков, связанных с ущербом здоровью и жизни работника в процессе его трудовой деятельности, и может быть использован на различных уровнях – национальном, в отрасли экономики и промышленности, в организации и на отдельном рабочем месте.
Настоящий стандарт применяют в целях: - обеспечения конституционного права работника на труд в условиях, отвечающих требованиям безопасности и гигиены [1, статья 37, пункт 3]; - получения данных (об опасностях и рисках) для информирования работников о риске повреждения здоровья [2, статья 212]; - обоснования положенной социальной защиты работников, в том числе компенсаций за работу во вредных и (или) опасных условиях труда; - оценивания эффективности мер по совершенствованию охраны труда; - принятия превентивных мер по защите здоровья работника; - выяснения причинно-следственной связи состояния здоровья работников с условиями труда; - обоснования положений трудового договора об обязательствах работодателя по обеспечению работника необходимыми средствами индивидуальной защиты, установлению соответствующего режима труда и отдыха, а также по обеспечению других предусмотренных законодательством гарантий и компенсаций. Настоящий стандарт может быть применен экспертными и страховыми организациями для обоснования размера страховых тарифов |
| Страниц: | 20 |
| Ссылки для скачивания: |

