Меню по разделу
+
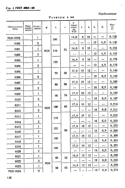
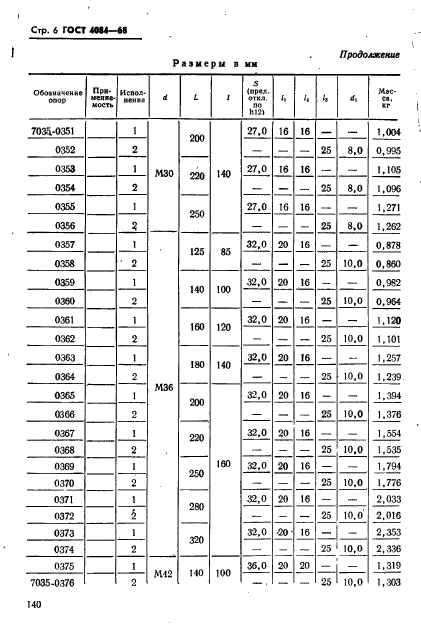
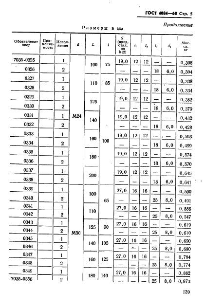
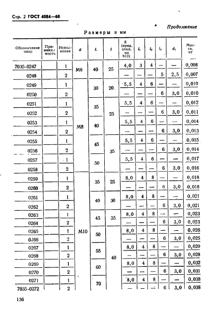
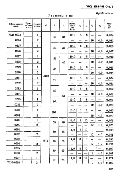
Настоящий стандарт устанавливает конструкцию регулируемых для станочных приспособлений опор
| Обозначение: | ГОСТ 4084-68 |
| Статус: | действующий |
| Название рус.: | Опоры регулируемые для станочных приспособлений. Конструкция |
| Название англ.: | Adjustable rests for machine retaining devices. Design |
| Дата актуализации текста: | 06.04.2015 |
| Дата актуализации описания: | 10.08.2017 |
| Дата издания: | 01.11.1982 |
| Дата введения в действие: | 01.01.1969 |
| Дата последнего изменения: | 13.07.2017 |
| Переиздание: | переиздание с изм. 1 |
| Область и условия применения: | Настоящий стандарт устанавливает конструкцию регулируемых для станочных приспособлений опор |
| Список изменений: | №1 от 01.12.1980 (рег. 29.06.1980) «Срок действия продлен» №2 от 01.01.1990 (рег. 15.05.1989) «Поправка» |
| Страниц: | 12 |
| Ссылки для скачивания: |

