Меню по разделу
+
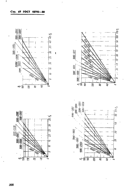
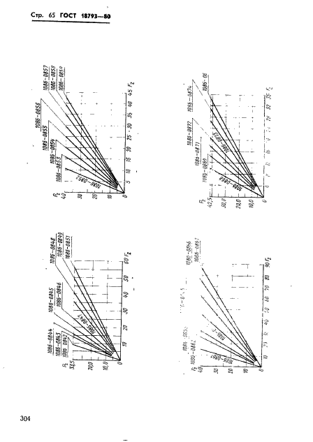
Настоящий стандарт распространяется на штампы листовой штамповки и устанавливает конструкцию и размеры пружин сжатия
| Обозначение: | ГОСТ 18793-80 |
| Статус: | действующий |
| Название рус.: | Пружины сжатия. Конструкция и размеры |
| Название англ.: | Compression springs. Design and dimensions |
| Дата актуализации текста: | 06.04.2015 |
| Дата актуализации описания: | 10.08.2017 |
| Дата издания: | 01.12.1986 |
| Дата введения в действие: | 01.01.1982 |
| Дата последнего изменения: | 13.07.2017 |
| Переиздание: | переиздание |
| Область и условия применения: | Настоящий стандарт распространяется на штампы листовой штамповки и устанавливает конструкцию и размеры пружин сжатия |
| Страниц: | 79 |
| Ссылки для скачивания: |

