Меню по разделу
+
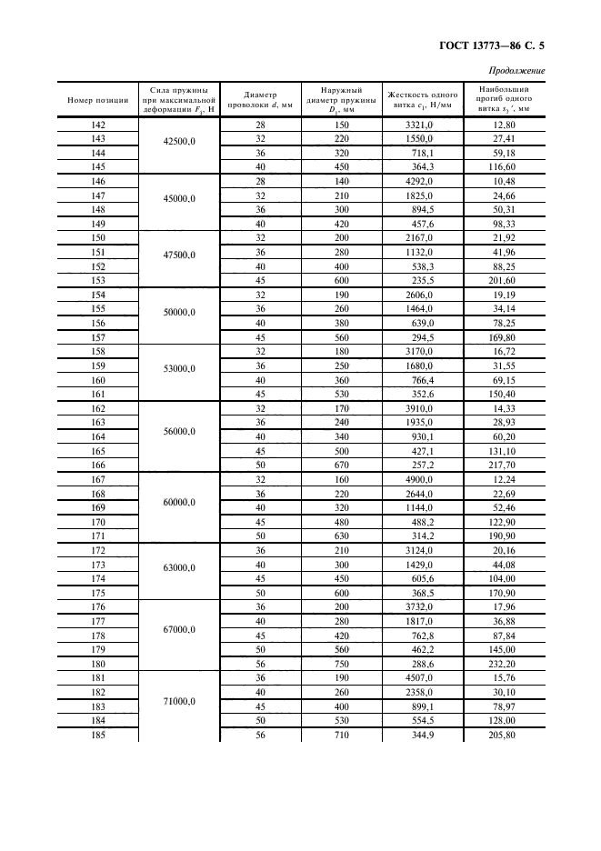
Настоящий стандарт распространяется на пружины сжатия II класса, разряда 4 с силами при максимальной деформации пружины от 4500 до 280000 Н
| Обозначение: | ГОСТ 13773-86 |
| Статус: | действующий |
| Название рус.: | Пружины винтовые цилиндрические сжатия II класса, разряда 4 из стали круглого сечения. Основные параметры витков |
| Название англ.: | Cylindrical helical compression springs of II class and of 4 category made of round steel. Main parameters of coils |
| Дата актуализации текста: | 06.04.2015 |
| Дата актуализации описания: | 10.08.2017 |
| Дата издания: | 01.04.2003 |
| Дата введения в действие: | 30.06.1988 |
| Дата последнего изменения: | 13.07.2017 |
| Переиздание: | переиздание с изм. 1 |
| Область и условия применения: | Настоящий стандарт распространяется на пружины сжатия II класса, разряда 4 с силами при максимальной деформации пружины от 4500 до 280000 Н |
| Список изменений: | №1 от 01.04.1989 (рег. 04.11.1988) «Срок действия продлен» |
| Страниц: | 10 |
| Ссылки для скачивания: |

