Меню по разделу
+
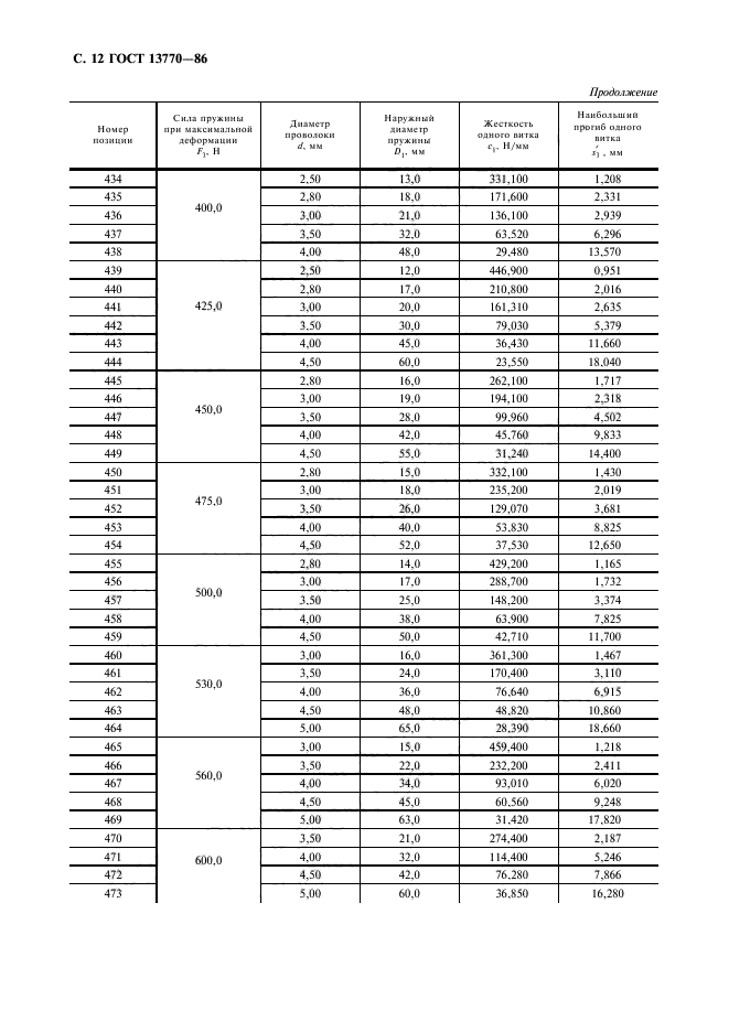
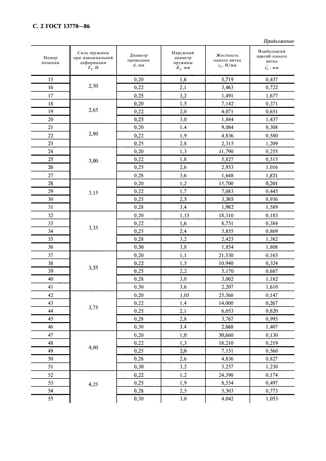
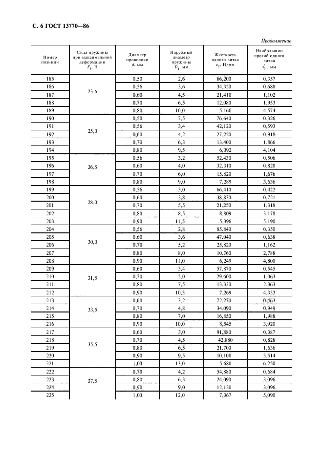
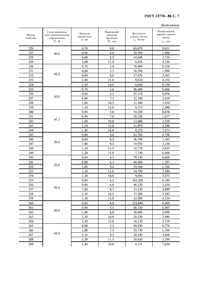
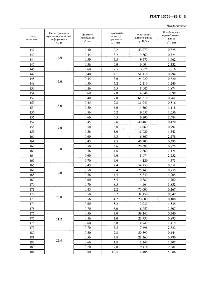
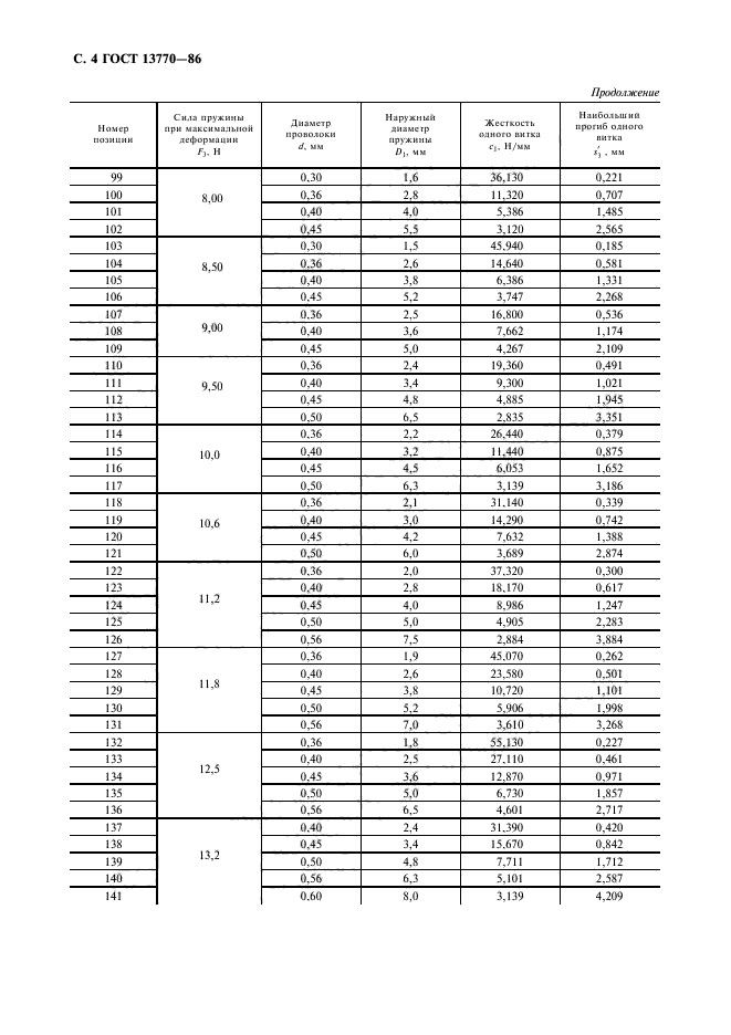
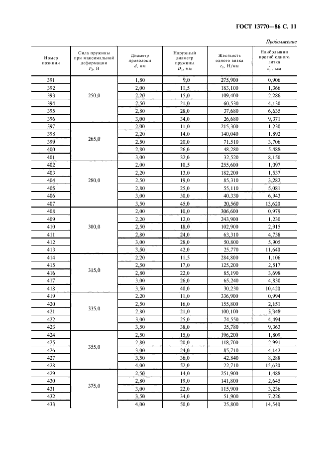
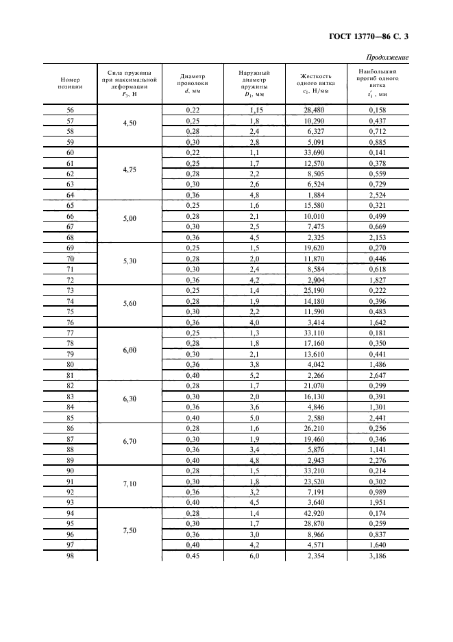
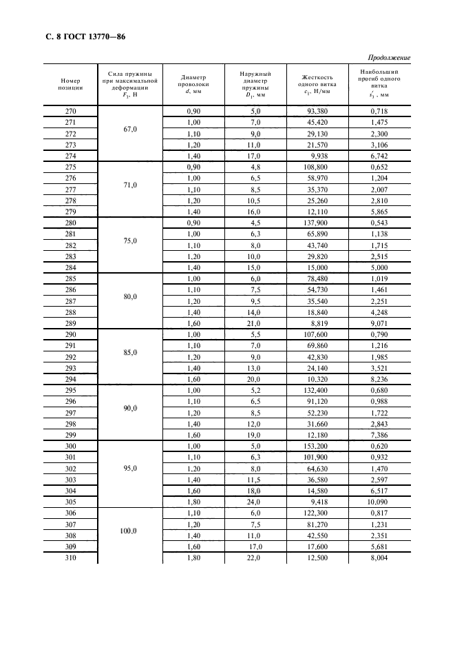
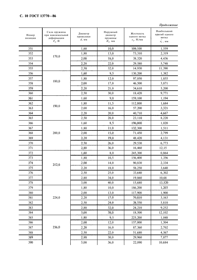
Настоящий стандарт распространяется на пружины сжатия и растяжения II класса, разряда 1 с силами при максимальной деформации пружин от 1,50 до 1400 Н
| Обозначение: | ГОСТ 13770-86 |
| Статус: | действующий |
| Название рус.: | Пружины винтовые цилиндрические сжатия и растяжения II класса, разряда 1 из стали круглого сечения. Основные параметры витков |
| Название англ.: | Cylindrical helical compression (tension) springs of II class and of 1 category made of round steel. Main parameters of coils |
| Дата актуализации текста: | 06.04.2015 |
| Дата актуализации описания: | 10.08.2017 |
| Дата издания: | 01.10.1999 |
| Дата введения в действие: | 30.06.1988 |
| Дата последнего изменения: | 13.07.2017 |
| Переиздание: | переиздание с изм. 1 |
| Область и условия применения: | Настоящий стандарт распространяется на пружины сжатия и растяжения II класса, разряда 1 с силами при максимальной деформации пружин от 1,50 до 1400 Н |
| Список изменений: | №1 от 01.04.1989 (рег. 04.11.1988) «Срок действия продлен» |
| Страниц: | 15 |
| Ссылки для скачивания: |

