Меню по разделу
+
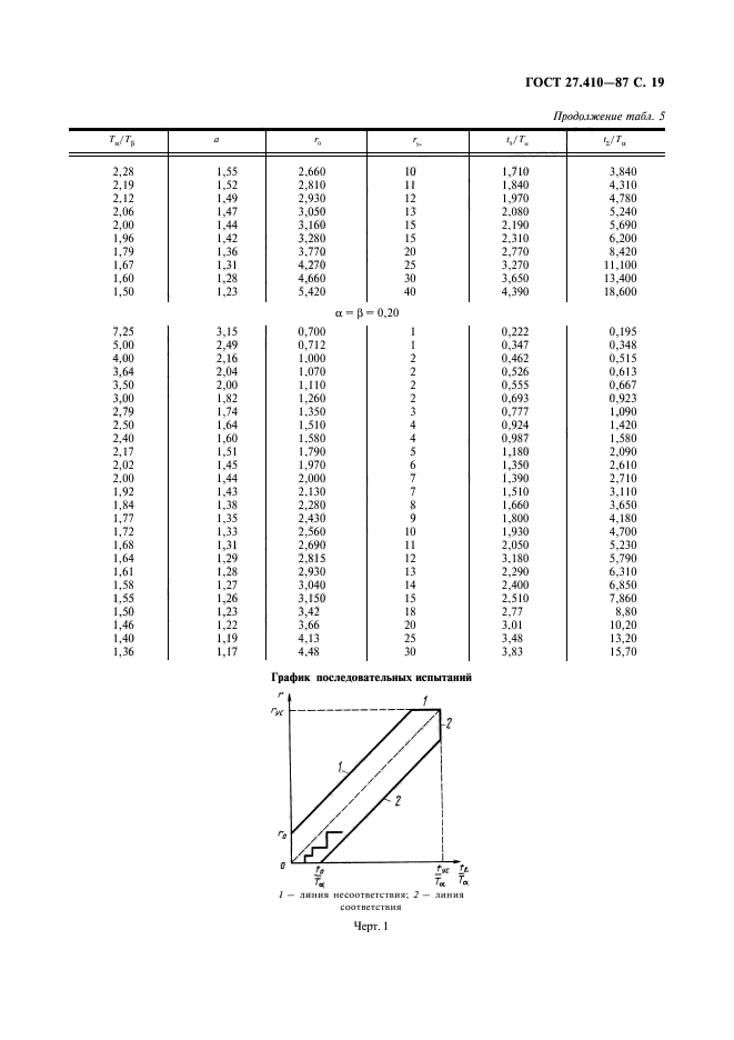
Настоящий стандарт распространяется на изделия, к которым в нормативно-технической и конструкторской документации предъявляют требования надежности, и устанавливает методы контроля показателей надежности и планы контрольных испытаний на надежность
| Обозначение: | ГОСТ 27.410-87 |
| Статус: | утратил силу в РФ |
| Название рус.: | Надежность в технике. Методы контроля показателей надежности и планы контрольных испытаний на надежность |
| Название англ.: | Industrial product dependability. Inspection methods of reliability indices and plans of check tests on reliability |
| Дата актуализации текста: | 06.04.2015 |
| Дата актуализации описания: | 10.08.2017 |
| Дата издания: | 01.07.2002 |
| Дата введения в действие: | 01.01.1989 |
| Дата последнего изменения: | 13.07.2017 |
| Дата окончания срока действия: | 31.08.2010 |
| Переиздание: | переиздание |
| Область и условия применения: | Настоящий стандарт распространяется на изделия, к которым в нормативно-технической и конструкторской документации предъявляют требования надежности, и устанавливает методы контроля показателей надежности и планы контрольных испытаний на надежность |
| Список изменений: | №0 от 31.08.2010 (рег. 15.12.2009) «Поправка к изменению» |
| Страниц: | 79 |
| Ссылки для скачивания: |

