Меню по разделу
+
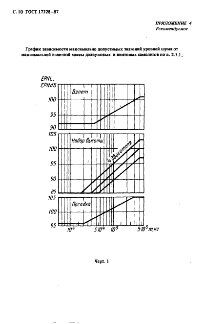
Настоящий стандарт устанавливает максимально допустимые уровни шума, создаваемого дозвуковыми пассажирскими и транспортными самолетами с турбореактивными или турбореактивными двухконтурными двигателями всех массовых категорий, с длиной взлетно-посадочной полосы более 610 м, а также самолетами с поршневыми, турбовинтовыми и турбовинтовентиляторными двигателями со взлетной массой более 9000 кг, на местности в контрольных точках при исходных условиях, установленных ГОСТ 17229-85.
Стандарт не устанавливает допустимые уровни шума в качестве норм шума для ограничения жилой застройки в окрестностях аэропортов и аэродромов
| Обозначение: | ГОСТ 17228-87 |
| Статус: | действующий |
| Заменяющий: | ГОСТ 17228-2014 Самолеты пассажирские и транспортные. Допустимые уровни шума, создаваемые на местности |
| Название рус.: | Самолеты пассажирские и транспортные. Допустимые уровни шума, создаваемого на местности |
| Название англ.: | Passanger and transport acroplanes. Acceptable noise levels on ground |
| Дата актуализации текста: | 06.04.2015 |
| Дата актуализации описания: | 10.08.2017 |
| Дата издания: | 06.11.1987 |
| Дата введения в действие: | 30.06.1988 |
| Дата последнего изменения: | 13.07.2017 |
| Область и условия применения: | Настоящий стандарт устанавливает максимально допустимые уровни шума, создаваемого дозвуковыми пассажирскими и транспортными самолетами с турбореактивными или турбореактивными двухконтурными двигателями всех массовых категорий, с длиной взлетно-посадочной полосы более 610 м, а также самолетами с поршневыми, турбовинтовыми и турбовинтовентиляторными двигателями со взлетной массой более 9000 кг, на местности в контрольных точках при исходных условиях, установленных ГОСТ 17229-85.
Стандарт не устанавливает допустимые уровни шума в качестве норм шума для ограничения жилой застройки в окрестностях аэропортов и аэродромов |
| Список изменений: | №0 от 01.03.2016 (рег. 01.03.2016) «Восстановлен на территории РФ» |
| Страниц: | 19 |
| Ссылки для скачивания: |

