Меню по разделу
+
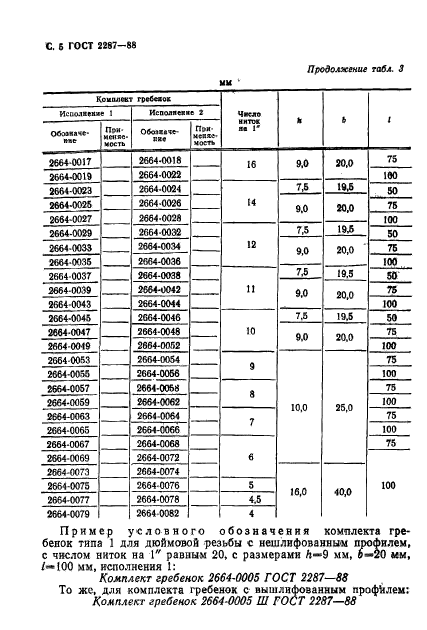
Настоящий стандарт распространяется на плоские гребенки в комплекте из 4 штук с вышлифованным профилем, предназначенные для нарезания метрической резьбы, трубной цилиндрической резьбы и дюймовой резьбы
| Обозначение: | ГОСТ 2287-88 |
| Статус: | действующий |
| Название рус.: | Гребенки резьбонарезные плоские. Технические условия |
| Название англ.: | Flat thread chasers. Specifications |
| Дата актуализации текста: | 06.04.2015 |
| Дата актуализации описания: | 10.08.2017 |
| Дата издания: | 21.12.1988 |
| Дата введения в действие: | 01.01.1990 |
| Дата последнего изменения: | 13.07.2017 |
| Область и условия применения: | Настоящий стандарт распространяется на плоские гребенки в комплекте из 4 штук с вышлифованным профилем, предназначенные для нарезания метрической резьбы, трубной цилиндрической резьбы и дюймовой резьбы |
| Страниц: | 20 |
| Ссылки для скачивания: |

