Меню по разделу
+
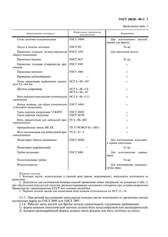
Настоящий стандарт распространяется на щетинно-щеточные изделия бытового назначения (щетки, ерши, кисти для бритья), предназначенные для использования в домашнем обиходе, для личной гигиены, чистки и мытья различных изделий и др. целей.
Настоящий стандарт не распространяется на зубные щетки
| Обозначение: | ГОСТ 28638-90 |
| Статус: | действующий |
| Название рус.: | Изделия шетинно-щеточные бытового назначения. Общие технические условия |
| Название англ.: | Bristle brush articles for household use. General specifications |
| Дата актуализации текста: | 06.04.2015 |
| Дата актуализации описания: | 10.08.2017 |
| Дата издания: | 01.04.2003 |
| Дата введения в действие: | 30.06.1991 |
| Дата последнего изменения: | 13.07.2017 |
| Переиздание: | переиздание |
| Область и условия применения: | Настоящий стандарт распространяется на щетинно-щеточные изделия бытового назначения (щетки, ерши, кисти для бритья), предназначенные для использования в домашнем обиходе, для личной гигиены, чистки и мытья различных изделий и др. целей.
Настоящий стандарт не распространяется на зубные щетки |
| Страниц: | 11 |
| Ссылки для скачивания: |

