Меню по разделу
+
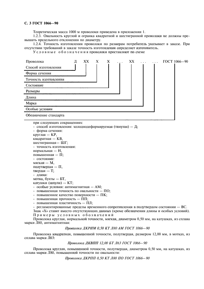
Настоящий стандарт распространяется на холоднодеформированную (тянутую) круглую, квадратную и шестигранную проволоку общего назначения из медно-цинковых сплавов (латуней)
| Обозначение: | ГОСТ 1066-90 |
| Статус: | заменён |
| Заменяющий: | ГОСТ 1066-2015 Проволока латунная. Технические условия |
| Название рус.: | Проволока латунная. Технические условия |
| Название англ.: | Brass wire. Specifications |
| Дата актуализации текста: | 06.04.2015 |
| Дата актуализации описания: | 10.08.2017 |
| Дата издания: | 01.02.2004 |
| Дата введения в действие: | 01.01.1991 |
| Дата последнего изменения: | 13.07.2017 |
| Дата окончания срока действия: | 31.03.2016 |
| Переиздание: | переиздание |
| Область и условия применения: | Настоящий стандарт распространяется на холоднодеформированную (тянутую) круглую, квадратную и шестигранную проволоку общего назначения из медно-цинковых сплавов (латуней) |
| Страниц: | 12 |
| Ссылки для скачивания: |

