Меню по разделу
+
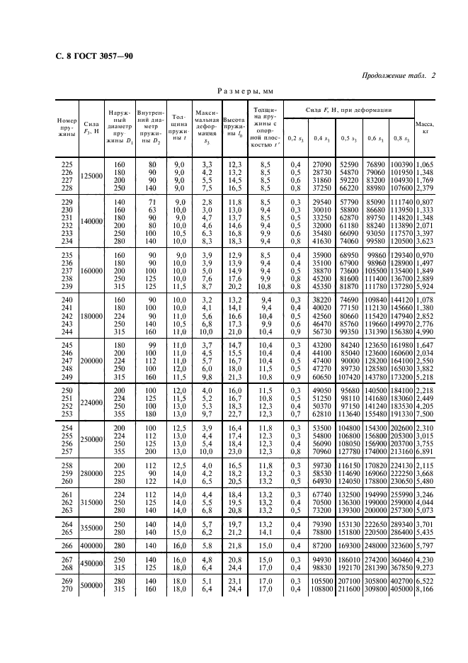
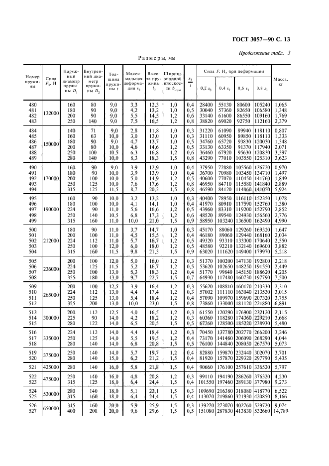
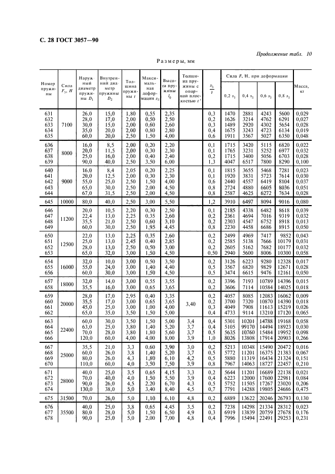
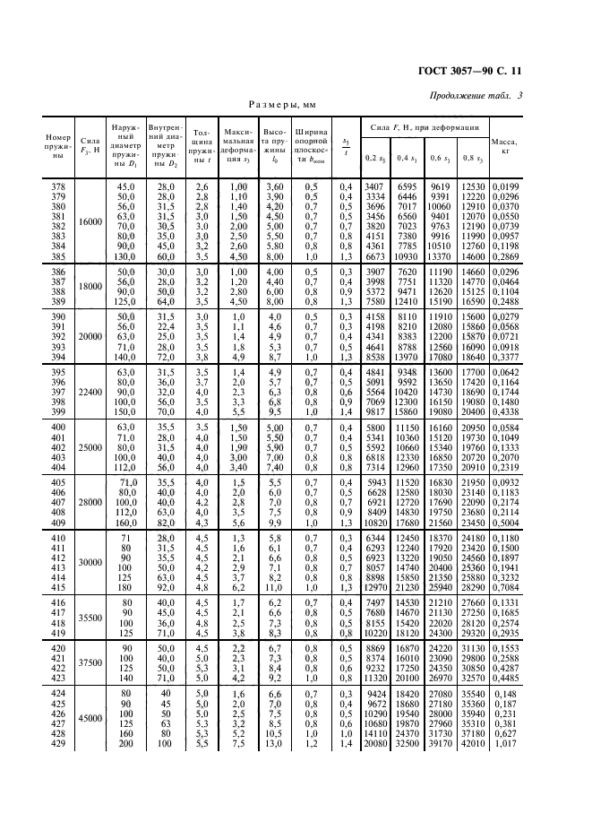
Настоящий стандарт распространяется на тарельчатые пружины из рессорно-пружинной стали, работающие при температуре от минус 60 град. С до плюс 120 град. С.
Стандарт не распространяется на пружины, предназначенные для работы в агрессивных или иных средах, обязывающих к применению специальных материалов
| Обозначение: | ГОСТ 3057-90 |
| Статус: | действующий |
| Название рус.: | Пружины тарельчатые. Общие технические условия |
| Название англ.: | Disk springs. Specifications |
| Дата актуализации текста: | 06.04.2015 |
| Дата актуализации описания: | 10.08.2017 |
| Дата издания: | 01.07.2003 |
| Дата введения в действие: | 30.06.1991 |
| Дата последнего изменения: | 13.07.2017 |
| Переиздание: | переиздание |
| Область и условия применения: | Настоящий стандарт распространяется на тарельчатые пружины из рессорно-пружинной стали, работающие при температуре от минус 60 град. С до плюс 120 град. С.
Стандарт не распространяется на пружины, предназначенные для работы в агрессивных или иных средах, обязывающих к применению специальных материалов |
| Страниц: | 38 |
| Ссылки для скачивания: |

