Меню по разделу
+
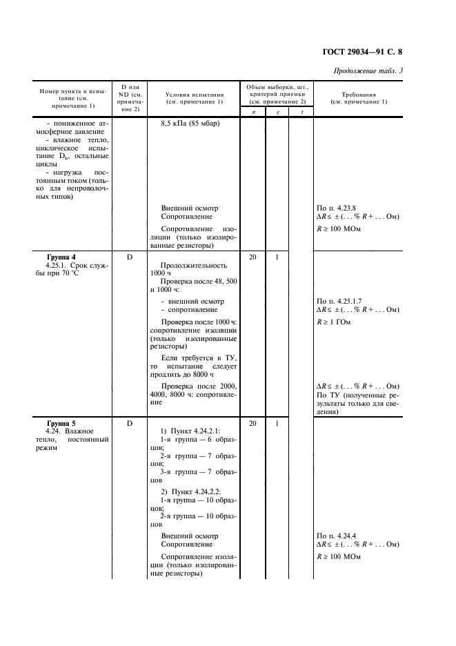
Настоящий стандарт распространяется на постоянные прецизионные резисторы, предназначенные для использования в электронной аппаратуре и применяется для разработки ТУ на резисторы, в том числе подлежащие сертификации.
Стандарт устанавливает предпочтительные номинальные значения и характеристики и определяет порядок выбора из ГОСТ 28608 соответствующих методик сертификации изделий, методов испытаний и измерений, а также устанавливает общие требования к резисторам данного типа.
Стандарт подготовлен методом прямого применения международного стандарта МЭК 115-5-1
| Обозначение: | ГОСТ 29034-91 |
| Статус: | действующий |
| Название рус.: | Постоянные резисторы для электронной аппаратуры. Часть 5. Групповые технические условия на постоянные прецизионные резисторы |
| Название англ.: | Fixed resistors for use in electronic equipment. Part 5. Sectional specification : fixed precision resistors |
| Дата актуализации текста: | 06.04.2015 |
| Дата актуализации описания: | 10.08.2017 |
| Дата издания: | 01.08.2004 |
| Дата введения в действие: | 30.06.1992 |
| Дата последнего изменения: | 13.07.2017 |
| Переиздание: | переиздание |
| Область и условия применения: | Настоящий стандарт распространяется на постоянные прецизионные резисторы, предназначенные для использования в электронной аппаратуре и применяется для разработки ТУ на резисторы, в том числе подлежащие сертификации.
Стандарт устанавливает предпочтительные номинальные значения и характеристики и определяет порядок выбора из ГОСТ 28608 соответствующих методик сертификации изделий, методов испытаний и измерений, а также устанавливает общие требования к резисторам данного типа. Стандарт подготовлен методом прямого применения международного стандарта МЭК 115-5-1 |
| Страниц: | 12 |
| Ссылки для скачивания: |

