Меню по разделу
+
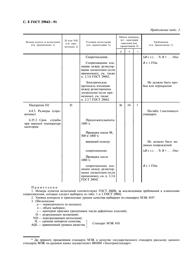
Настоящий стандарт применяется для разработки ТУ на резисторы, в том числе подлежащие сертификации.
Стандарт подготовлен методом прямого применения международного стандарта МЭК 115-6-2 “Постоянные резисторы для электронной аппаратуры
| Обозначение: | ГОСТ 29043-91 |
| Статус: | действующий |
| Название рус.: | Постоянные резисторы для электронной аппаратуры. Часть 6. Форма технических условий на наборы постоянных резисторов с отдельно измеряемыми резисторами, имеющими разные номинальные сопротивления или номинальные мощности рассеяния. Уровень качества Е |
| Название англ.: | Fixed resistors for use in electronic equipment. Part 6. Blank detail specification: fixed resistor networks with individually measurable resistors, of either different resistance values or different rated dissipations. Assessment level E |
| Дата актуализации текста: | 06.04.2015 |
| Дата актуализации описания: | 10.08.2017 |
| Дата издания: | 01.10.2004 |
| Дата введения в действие: | 30.06.1992 |
| Дата последнего изменения: | 13.07.2017 |
| Переиздание: | переиздание |
| Область и условия применения: | Настоящий стандарт применяется для разработки ТУ на резисторы, в том числе подлежащие сертификации.
Стандарт подготовлен методом прямого применения международного стандарта МЭК 115-6-2 “Постоянные резисторы для электронной аппаратуры |
| Страниц: | 11 |
| Ссылки для скачивания: |

