Стандарт устанавливает спектрометрический атомно-эмиссионный с индуктивно связанной плазмой метод определения никеля в нелегированных сталях и чугунах. Метод применим для определения массовой доли никеля в диапазоне 0,001% - 0,30%.
| Обозначение: | ГОСТ Р ИСО 13898-2-2006 |
| Название рус.: | Сталь и чугун. Спектрометрический атомно-эмиссионный с индуктивно связанной плазмой метод определения никеля, меди и кобальта. Часть 2. Определение никеля |
| Статус: | действует |
| Дата актуализации текста: | 05.05.2017 |
| Дата добавления в базу: | 01.09.2013 |
| Дата введения в действие: | 01.01.2008 |
| Утвержден: | 21.12.2006 Федеральное агентство по техническому регулированию и метрологии (327-ст) |
| Опубликован: | Стандартинформ (2007 г. ) |
| Ссылки для скачивания: |
ФЕДЕРАЛЬНОЕ
АГЕНТСТВО
ПО ТЕХНИЧЕСКОМУ РЕГУЛИРОВАНИЮ И МЕТРОЛОГИИ
|
|
НАЦИОНАЛЬНЫЙ
|
ГОСТ Р
ИСО |
Сталь и чугун
ОПРЕДЕЛЕНИЕ
СОДЕРЖАНИЯ НИКЕЛЯ, МЕДИ
И КОБАЛЬТА.
СПЕКТРОМЕТРИЧЕСКИЙ МЕТОД АТОМНОЙ
ЭМИССИИ С ИНДУКТИВНО СВЯЗАННОЙ
ПЛАЗМОЙ
Часть 2
ОПРЕДЕЛЕНИЕ СОДЕРЖАНИЯ НИКЕЛЯ
ISO 13898-2:1997
Steel and iron - Determination of nickel, copper and cobalt contents -
Inductively
coupled plasma atomic emission spectrometric method - Part 2: Determination of
nickel content
(IDT)
|
|
Москва Стандартинформ 2007 |
Предисловие
Цели и принципы стандартизации в Российской Федерации установлены Федеральным законом от 27 декабря 2002 г. № 184-ФЗ «О техническом регулировании», а правила применения национальных стандартов Российской Федерации - ГОСТ Р 1.0-2004 «Стандартизация в Российской Федерации. Основные положения»
Сведения о стандарте
1 ПОДГОТОВЛЕН И ВНЕСЕН Техническим комитетом по стандартизации ТК 145 «Методы контроля металлопродукции»
2 УТВЕРЖДЕН И ВВЕДЕН В ДЕЙСТВИЕ Приказом Федерального агентства по техническому регулированию и метрологии от 21 декабря 2006 г. № 327-ст
3 Настоящий стандарт идентичен международному стандарту ИСО 13898-2:1997 «Сталь и чугун. Определение содержания никеля, меди и кобальта. Спектрометрический метод атомной эмиссии с индуктивно связанной плазмой. Часть 2. Определение содержания никеля» (ISO 13898-2:1997 «Steel and iron - Determination of nickel, copper and cobalt contents - Inductively coupled plasma atomic emission spectrometric method. Part 2: Determination of nickel content»).
Наименование настоящего стандарта изменено относительно наименования указанного международного стандарта для приведения в соответствие с ГОСТ Р 1.5-2004 (подраздел 3.5).
При применении настоящего стандарта рекомендуется использовать вместо ссылочных международных стандартов соответствующие им национальные стандарты Российской Федерации, сведения о которых приведены в дополнительном приложении С
4 ВВЕДЕН ВПЕРВЫЕ
Информация об изменениях к настоящему стандарту публикуется в ежегодно издаваемом информационном указателе «Национальные стандарты», а текст изменений и поправок - в ежемесячно издаваемых информационных указателях «Национальные стандарты». В случае пересмотра (замены) или отмены настоящего стандарта соответствующее уведомление будет опубликовано в ежемесячно издаваемом информационном указателе «Национальные стандарты». Соответствующая информация, уведомление и тексты размещаются также в информационной системе общего пользования - на официальном сайте Федерального агентства по техническому регулированию и метрологии в сети Интернет
ГОСТ Р ИСО 13898-2-2006
НАЦИОНАЛЬНЫЙ СТАНДАРТ РОССИЙСКОЙ ФЕДЕРАЦИИ
Сталь и чугун
ОПРЕДЕЛЕНИЕ СОДЕРЖАНИЯ
НИКЕЛЯ, МЕДИ И КОБАЛЬТА.
СПЕКТРОМЕТРИЧЕСКИЙ МЕТОД АТОМНОЙ ЭМИССИИ
С ИНДУКТИВНО СВЯЗАННОЙ ПЛАЗМОЙ
Часть 2
ОПРЕДЕЛЕНИЕ СОДЕРЖАНИЯ НИКЕЛЯ
Steel and iron. Determination of nickel, copper
and cobalt contents. Inductively coupled plasma atomic emission
spectrometric method. Part 2. Determination of nickel content
Дата введения -2008-01-01
Настоящий стандарт устанавливает спектрометрический атомно-эмиссионный с индуктивно связанной плазмой метод определения никеля в нелегированных сталях и чугунах.
Метод применим для определения массовой доли никеля в диапазоне 0,001 % - 0,30 %.
В настоящем стандарте использованы нормативные ссылки на следующие международные стандарты:
ИСО 5725-1:1994 Точность (правильность и прецизионность) методов и результатов измерений. Часть 1. Основные положения и определения
ИСО 5725-2:1994 Точность (правильность и прецизионность) методов и результатов измерений. Часть 2. Основной метод определения повторяемости и воспроизводимости стандартного метода измерений
ИСО 5725-3:1994 Точность (правильность и прецизионность) методов и результатов измерений. Часть 3. Промежуточные показатели прецизионности стандартного метода измерений
ИСО 13898-1:1997 Сталь и чугун. Определение содержания никеля, меди и кобальта. Спектрометрический метод атомной эмиссии с индуктивно связанной плазмой. Часть 1. Общие требования и отбор проб
ИСО 14284:1996 Сталь и чугун. Отбор и подготовка проб для химического анализа
Общие требования - по ИСО 13898-1.
Если нет других указаний, используют реактивы установленной аналитической степени чистоты, дистиллированную воду, дополнительно очищенную перегонкой или другим способом. Дополнительные требования к реактивам - по ИСО 13898-1.
4.1 Стандартные растворы никеля
4.1.1 Основной раствор соответствует 1,0 г/дм3 никеля.
Приготовление стандартного раствора: навеску металлического никеля массой 1,000 г, взятую с точностью до 0,1 мг, и чистотой более 99,99 % помещают в химический стакан вместимостью 200 см3. Добавляют 50 см3 азотной кислоты (ИСО 13898-1, 4.3), закрывают часовым стеклом, постепенно нагревают и кипятят до полного растворения. Охлаждают до комнатной температуры, переносят в мерную колбу вместимостью 1000 см3, после чего доводят до метки водой и перемешивают.
1 см3 стандартного раствора содержит 1,0 мг никеля.
4.1.2 Стандартный раствор А, соответствующий 0,100 г/дм3 никеля.
20,0 см3 стандартного раствора никеля (4.1.1) переносят в мерную колбу вместимостью 200 см3, доводят до метки водой и перемешивают.
Стандартный раствор А готовят непосредственно перед применением.
1 см3 стандартного раствора А содержит 0,10 мг никеля.
4.1.3 Стандартный раствор В, соответствующий 0,020 г/дм3 никеля.
10,0 см3 основного раствора никеля (4.1.1) переносят в мерную колбу вместимостью 500 см3, доводят до метки водой и перемешивают.
Стандартный раствор В готовят непосредственно перед применением.
1 см3 стандартного раствора В содержит 0,020 мг никеля.
Если градуировочный график получается нелинейным, может быть использована дополнительная серия градуировочных растворов.
Аппаратура должна соответствовать ИСО 13898-1.
Отбор проб - по ИСО 14284.
7.1 Навеску массой 1,000 г взвешивают с точностью до 1 мг.
7.2 Контрольный опыт, соответствующий образцу с нулевым содержанием никеля, проводят по ИСО 13898-1, 7.2.
7.3 Приготовление раствора пробы проводят по ИСО 13898-1, 7.3.1.
7.3.1 Приготовление градуировочных растворов
Вносят в шесть химических стаканов вместимостью 200 см3 каждый по (1,00 ± 0,001) г чистого железа (ИСО 13898-1, 4.1), добавляют в каждый из них 10 см3 азотной кислоты (ИСО 13898-1, 4.3), закрывают часовым стеклом и медленно нагревают до прекращения бурного выделения паров. Добавляют 10 см3 соляной кислоты (ИСО 13898-1, 4.2) и продолжают нагревание до полного растворения. Охлаждают до комнатной температуры и количественно переносят раствор в шесть мерных колб вместимостью 200 см3 каждая, ополаскивая их минимальным количеством воды. Используя пипетку или бюретку, добавляют в мерные колбы стандартный раствор никеля А (4.1.2), объемы которого указаны в таблице 1.
Таблица 1 - Массовая доля никеля от 0,001 % до 0,30 %
|
Концентрация никеля в градуировочном растворе, см3 |
Массовая доля никеля в анализируемой пробе, % |
|
|
01) 5,0 10,0 15,0 20,0 30,0 |
0 2,50 5,00 7,50 10,0 15,0 |
0 0,050 0,100 0,150 0,200 0,300 |
|
1) Раствор с нулевой концентрацией определяемого элемента. |
||
Если градуировочный график окажется нелинейным, может быть использована дополнительная градуировочная серия растворов (например, из таблиц 2 и 3). Если применяют методику внутреннего стандарта, то добавляют 2 см3 раствора внутреннего стандарта со скандием (ИСО 13898-1, 4.4) или 10 см3 раствора внутреннего стандарта с иттрием (ИСО 13898-1, 4.5). Доводят до метки водой и перемешивают.
Таблица 2 - Массовая доля никеля менее 0,010 %
|
Концентрация никеля в градуировочном растворе, см3 |
Массовая доля никеля в анализируемой пробе, % |
|
|
01) 0,5 1,0 2,0 3,0 5,0 |
0 0,050 0,100 0,200 0,300 0,500 |
0 0,0010 0,0020 0,0040 0,0060 0,0100 |
|
1) Раствор с нулевой концентрацией определяемого элемента. |
||
Таблица 3 - Массовая доля никеля от 0,010 % до 0,060 %
|
Концентрация никеля в градуировочном растворе, см3 |
Массовая доля никеля в анализируемой пробе, % |
|
|
01) 5,0 10,0 20,0 30,0 50,0 |
0 0,50 1,00 2,00 3,00 5,00 |
0 0,010 0,020 0,040 0,060 0,100 |
|
1) Раствор с нулевой концентрацией определяемого элемента. |
||
7.4 Спектрометрические измерения
7.4.1 Оптимизация прибора
Выполняют операции по ИСО 13898-1, 7.4.1.
7.4.2 Измерение интенсивности излучения
Выполняют операции по ИСО 13898-1, 7.4.2.
7.4.3 Подготовка градуировочного графика
Выполняют операции по ИСО 13898-1, 7.4.3.
8.1 Обработка результатов
Выполняют операции по ИСО 13898-1, 8.1.
За результат анализа принимают среднеарифметическое значение результатов двух параллельных определений, если расхождения между ними не превышают значений допускаемых расхождений, приведенных в таблице 4 или рассчитанных по графику, приведенному в приложении В.
Таблица 4
В процентах
|
Предел повторяемости (сходимости) r |
Предел воспроизводимости R |
Предел промежуточной прецизионности Rw |
|
|
0,001 |
0,00039 |
0,00076 |
0,00055 |
|
0,002 |
0,00046 |
0,00095 |
0,00067 |
|
0,005 |
0,00056 |
0,0013 |
0,00087 |
|
0,010 |
0,00066 |
0,0016 |
0,0010 |
|
0,020 |
0,00077 |
0,0020 |
0,0013 |
|
0,050 |
0,00095 |
0,0028 |
0,0016 |
|
0,050 |
0,0013 |
0,0037 |
0,0020 |
|
0,100 |
0,0026 |
0,0074 |
0,0037 |
|
0,200 |
0,0051 |
0,015 |
0,0070 |
|
0,300 |
0,0075 |
0,023 |
0,010 |
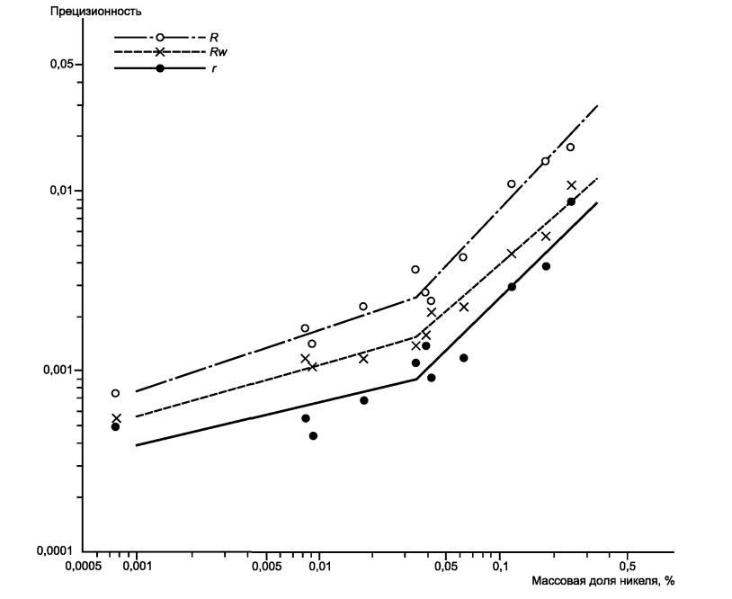
8.2 Прецизионность
Плановые испытания настоящего метода проводились в 26 лабораториях 12 стран. Анализировались 11 образцов с содержанием никеля в указанном диапазоне. В каждой лаборатории выполнялись по три определения с каждым образцом (см. примечания 1 и 2 настоящего подраздела). Использованные образцы приведены в таблице А.1 (приложение А).
Результаты обрабатывались статистически в соответствии с ИСО 5725-1, ИСО 5725-2, ИСО 5725-3 с использованием данных анализа указанных образцов, содержащих 11 уровней содержания никеля в пределах рабочего диапазона.
Полученные данные показали наличие логарифмической зависимости между массовой долей никеля и пределом погрешности сходимости результатов анализа, а также показателями предела воспроизводимости R и предела промежуточной прецизионности Rw (см. примечание 3 настоящего подраздела), что представлено в таблице 4. Дополнительная информация по международным испытаниям приведена в приложении А.
Графическое представление данных приведено в приложении В.
Примечания
1 Два из трех определений были проведены при условиях повторяемости, указанных в ИСО 5725-1, т.е. одним оператором, на одной аппаратуре, при идентичных рабочих условиях, при одной калибровке и в течение минимального периода времени.
2 Третье определение было выполнено в другое время (в другой день) тем же оператором, который выполнял определения, указанные в примечании 1, с использованием той же аппаратуры при новой калибровке.
3 По результатам, полученным в первый день, были рассчитаны по ИСО 5725-2 предел повторяемости (сходимости) r и предел воспроизводимости R. По первому результату, полученному в первый день, и результату, полученному во второй день, был рассчитан по ИСО 5725-3 внутрилабораторный предел промежуточной прецизионности Rw.
Протокол испытания - по ИСО 13898-1, раздел 9.
Данные по повторяемости (сходимости) и воспроизводимости, приведенные в таблице 4, были получены, исходя из результатов международных аналитических испытаний, выполненных на девяти образцах стали и двух образцах чугуна при участии 26 лабораторий.
Анализируемые образцы представлены в таблице А1.
Таблица А.1
В процентах
|
Массовая доля никеля |
Данные по прецизионности |
|||||
|
Сертифицировано |
Получено |
Предел повторяемости r |
Предел воспроизводимости R |
Предел промежуточной прецизионности Rw |
||
|
|
|
|||||
|
JSS 003 Нелегированная сталь |
0,0008 |
0,00076 |
0,00076 |
0,00049 |
0,00075 |
0,00053 |
|
NR 1С Нелегированная сталь |
0,0090 |
0,0090 |
0,0089 |
0,00043 |
0,0014 |
0,0010 |
|
NR 21 Нелегированная сталь |
0,035 |
0,0346 |
0,0345 |
0,0011 |
0,0036 |
0,0013 |
|
NBS 15h Нелегированная сталь |
0,017 |
0,0178 |
0,0178 |
0,00069 |
0,0023 |
0,0011 |
|
NBS 16f Нелегированная сталь |
0,008 |
0,0083 |
0,0082 |
0,00054 |
0,0017 |
0,0011 |
|
BAS 087-1 Нелегированная сталь |
0,118 |
0,119 |
0,119 |
0,0029 |
0,0108 |
0,0043 |
|
BCS 452 Нелегированная сталь |
0,19 |
0,191 |
0,191 |
0,0040 |
0,0146 |
0,0056 |
|
IRSID 081-1 Нелегированная сталь |
0,042 |
0,0422 |
0,0422 |
0,00090 |
0,0024 |
0,0021 |
|
IRSID 010-1 Нелегированная сталь |
0,259 |
0,264 |
0,264 |
0,0089 |
0,0175 |
0,0107 |
|
EURO 488-1 Чугун в чушках |
0,0651 |
0,0655 |
0,0654 |
0,0012 |
0,0043 |
0,0023 |
|
EURO 487-1 Чугун в чушках |
0,040 |
0,0405 |
0,0404 |
0,0014 |
0,0027 |
0,0015 |
|
* Среднее значение результатов, полученных в течение одного дня. ** Среднее значение результатов с учетом данных различных дней. |
||||||

|
Массовая доля никеля менее 0,03 %: lgr = 0,2246 lg lgR = 0,3313 lg lgRw = 0,2791 lg |
Массовая доля никеля от 0,03 % до 0,3 %: lgr = 0,9941 lg lgR = 0,9888 lg lgRw = 0,9208 lg |
где
- среднее значение
массовой доли никеля, полученное в течение одного дня, %;
- среднее значение массовой доли никеля с
учетом данных различных дней, %.
Рисунок В.1 -
Логарифмическая зависимость между массовой долей никеля
и пределом
повторяемости r или
пределом воспроизводимости R и пределом промежуточной прецизионности Rw.
Таблица С.1
|
Обозначение ссылочного международного стандарта |
Обозначение и наименование соответствующего национального стандарта |
|
ИСО 5725-1:1994 |
ГОСТ Р ИСО 5725-1-2002 Точность (правильность и прецизионность) методов и результатов измерений. Часть 1. Основные положения и определения |
|
ИСО 5725-2:1994 |
ГОСТ Р ИСО 5725-2-2002 Точность (правильность и прецизионность) методов и результатов измерений. Часть 2. Основной метод определения повторяемости и воспроизводимости стандартного метода измерений |
|
ИСО 5725-3:1994 |
ГОСТ Р ИСО 5725-3-2002 Точность (правильность и прецизионность) методов и результатов измерений. Часть 3. Промежуточные показатели прецизионности стандартного метода измерений |
|
ИСО 13898-1:1997 |
ГОСТ Р ИСО 13898-1-2006 Сталь и чугун. Спектрометрический атомно-эмиссионный с индуктивно связанной плазмой метод определения никеля, меди и кобальта. Общие требования |
|
ИСО 14284:1996 |
* |
|
* Соответствующий национальный стандарт отсутствует. До его утверждения рекомендуется использовать перевод на русский язык данного международного стандарта. Перевод данного международного стандарта находится в Федеральном информационном фонде технических регламентов и стандартов. |
|
Ключевые слова: сталь, чугун, метод определения никеля, индуктивно связанная плазма, спектрометрический атомно-эмиссионный метод
СОДЕРЖАНИЕ
|
7 Подготовка и проведение анализа. 2 Приложение А. Дополнительная информация по международным испытаниям.. 4 Приложение В. Графическое представление данных по прецизионности. 5 |