В Методических указаниях даны рекомендации по организации режима работы котельных установок эксплуатирующихся на разных видах твердого топлива, газе, мазуте и смеси твердого топлива с газом. Приведены примеры составления режимных карт применительно к котельной установке одной мощности, работающей на разных видах топлива.
| Обозначение: | РД 34.25.514-96 |
| Название рус.: | Методические указания по составлению режимных карт котельных установок и оптимизации управления ими |
| Статус: | действует |
| Дата актуализации текста: | 05.05.2017 |
| Дата добавления в базу: | 01.09.2013 |
| Дата введения в действие: | 01.01.1998 |
| Утвержден: | 08.03.1996 Департамент науки и техники РАО ЕЭС России (Department of Science and Technology, UES of Russia RAO ) |
| Опубликован: | СПО ОРГРЭС (1998 г. ) |
| Ссылки для скачивания: |
МЕТОДИЧЕСКИЕ УКАЗАНИЯ
ПО СОСТАВЛЕНИЮ РЕЖИМНЫХ КАРТ
КОТЕЛЬНЫХ УСТАНОВОК
И ОПТИМИЗАЦИИ УПРАВЛЕНИЯ ИМИ
РД 34.25.514-96
Разработано АО «Фирма ОРГРЭС»
Исполнитель Г.Т. ЛЕВИТ
Утверждено Департаментом науки и техники РАО «ЕЭС России» 18.03.96 г.
Начальник А.П. БЕРСЕНЕВ
Методические указания разработаны АО «Фирма ОРГРЭС» по поручению Департамента науки и техники и являются собственностью РАО «ЕЭС России».
|
МЕТОДИЧЕСКИЕ УКАЗАНИЯ ПО СОСТАВЛЕНИЮ РЕЖИМНЫХ КАРТ КОТЕЛЬНЫХ УСТАНОВОК И ОПТИМИЗАЦИИ УПРАВЛЕНИЯ ИМИ |
РД 34.25.514-96 |
Вводятся в действие с 01.01.98 г.
В настоящих Методических указаниях даны рекомендации по организации режима работы котельных установок эксплуатирующихся на разных видах твердого топлива, газе, мазуте и смеси твердого топлива с газом. Приведены примеры составления режимных карт применительно к котельной установке одной мощности, работающей на разных видах топлива.
Необходимость выполнения настоящей работы обусловлена значительным усложнением конструкции котельных установок и управления ими, а также отсутствием специальных руководств по составлению режимных карт. На ряде электростанций режимные карты не содержат необходимой информации по ведению режима работы топки и систем пылеприготовления. Преимущественно содержатся сведения, прямо к этому не относящиеся: параметры пара, количество и частота вращения работающих вентиляторов и дымососов, температура уходящих газов и т.п. Отсутствие в режимных картах сведений по ведению топочного режима - основного процесса, проходящего в котельной установке, особенно остро стало ощущаться в связи с требованиями по уменьшению образования оксидов азота, а также с широко распространенным одновременным сжиганием газообразного и твердого топлива.
В работе помимо рекомендаций по организации режима работы котельных установок даны примеры составления режимных карт. Из-за разнообразия конструкций и мощности котельных установок, многообразия топлив примеры составления режимных карт даны применительно к условной котельной установке энергоблока 210 МВт, работающей на разных видах топлива или их смеси и соответственно оснащенной различными системами подготовки топлива, различными горелочными устройствами. При таком подходе оказалось возможным более наглядно отразить специфику топлива в организации режима работы котельной установки.
В настоящих Методических указаниях приняты следующие сокращения:
ДВ - дутьевой вентилятор
ВГД - вентилятор горячего дутья (вентилятор, работающий на горячем воздухе)
ВПВ - вентилятор первичного воздуха (обычно устанавливается последовательно с ДВ перед воздухоподогревателем)
н.а. - направляющий аппарат вентилятора, дымососа
СМ - среднеходная мельница
ММ - молотковая мельница
ШБМ - шаровая барабанная мельница
СБР - система бесступенчатого регулирования частоты сращения питателей угля, пыли
ДРГ - дымосос рециркуляции газов
ПВД - подогреватель высокого давления
Vо - теоретически необходимое количество воздуха
NOх - содержание оксидов азота в дымовых газах.
Основная цель режимных карт обеспечить в регулировочном Диапазоне нагрузок надежную и экономичную работу котла с минимальными выбросами в атмосферу вредных веществ (окислов азота), на которые можно влиять режимом работы топки. Эти требования часто вступают в противоречие между собой и с величиной регулировочного диапазона нагрузок. Поэтому режимные указания предполагают наличие некоторых компромиссов. Однако приоритет должен быть отдан надежности, под которой понимается пожаро- и взрывобезопасность, выдерживание приемлемых температур пара и металла поверхностей нагрева, отсутствие интенсивного шлакования поверхностей нагрева или затруднений с выходом жидкого шлака, отсутствие интенсивной коррозии воздухоподогревателя, обеспечение желаемого диапазона нагрузок с минимальным использованием в дополнение к твердому топливу газа или мазута. Ограничения, обусловленные этими обстоятельствами, должны быть указаны в режимной карте.
Ниже приведен перечень основных положений (требований), определяющих режим работы топок и в целом котельной установки при сжигании разных видов топлива Обоснование этих требований и методика их определения даны в последующих разделах.
1.1. Топки для сжигания твердого топлива, оборудованные системами пылеприготовления с промбункером
1.1.1. Обеспечение работы всех горелок в возможно более широком диапазоне нагрузок с одинаковой подачей пыли в каждую горелку в пределах яруса или всех ярусов горелок.
1.1.2. Поддержание во всех пылепроводах (всех пылепроводах яруса горелок) одинакового расхода транспортирующего агента. При транспортировании пыли горячим воздухом расход этого воздуха должен поддерживаться на минимальном по условиям забивания пылепроводов уровне.
1.1.6. Обеспечение равномерной раздачи сушильного агента в сбросные сопла при их наличии.
1.1.8. Поддержание в контрольном сечении оптимального избытка воздуха.
1.1.10. Обеспечение охлаждения вторичным воздухом неработающих горелок.
1.2.1. Поддержание в работе в возможно более широком диапазоне нагрузок всех исправных систем пылеприготовления. Определение минимального количества работающих систем пылеприготовления для каждой нагрузки котла.
1.2.5. Выполнение требований согласно пп. 1.1.4, 1.1.5, 1.1.7, 1.1.8, 1.1.9, 1.1.10, 1.1.11.
1.3.3. Обеспечение оптимальной тонкости пыли.
1.3.4. Поддержание в пределах горелок одной системы пылеприготовления заданного распределения пыли, сушильного агента и вторичного воздуха; обеспечение равномерного распределения вторичного воздуха по всем горелкам работающих систем пылеприготовления.
1.3.5. Выполнение требований пп. 1.1.7, 1.1.8, 1.1.9, 1.1.10, 1.1.11, 1.2.4.
1.4. Топки для сжигания газа и мазута
1.4.1. Обеспечение работы всех горелок с одинаковой подачей топлива во все горелки или горелки одного яруса в возможно более широком диапазоне нагрузок котла.
1.4.2. Поддержание оптимальной присадки газов рециркуляции в воздух для сокращения образования окислов азота.
1.4.3. Выполнение требований согласно пп. 1.1.4, 1.1.5, 1.1.7, 1.1.8, 1.1.9, 1.1.10.
1.5. Топки, в которых одновременно сжигается твердое топливо и газ или твердое топливо и мазут
1.5.1. Определение доли каждого из топлив во всем регулировочном диапазоне нагрузок и способа сжигания - в разных или в одних и тех же горелках (при наличии на котле совмещенных горелок).
1.5.2. Поддержание близкого к равномерному тепловыделения в районе горелок, работающих на твердом топливе и газе (мазуте) в регулировочном диапазоне нагрузок.
1.5.3. Определение оптимального распределения воздуха между горелками, работающими на твердом топливе и газе (мазуте) в регулировочном диапазоне нагрузок.
1.5.4. Выполнение требований по работе систем пылеприготовления согласно пп. 1.1.3, 1.1.6 или 1.2.2, 1.2.3, 1.2.4 или 1.3.2, 1.3.3.
1.5.5. Выполнение требований по пп. 1.1.7 - 1.1.11.
1.6.1. Определение доли каждого вида топлива, количества и номеров систем пылеприготовления, выделяемых для измельчения каждого из них во всем регулировочном диапазоне нагрузок.
1.6.2. Поддержание близкого к равномерному тепловыделения в районе горелок, работающих на разных марках твердого топлива во всем регулировочном диапазоне нагрузок.
1.6.3. Определение оптимального распределения воздуха между горелками, работающими на разных видах топлива в регулировочном диапазоне нагрузок.
1.6.4. Выполнение требований по работе систем пылеприготовления согласно пп. 1.2.2, 1.2.3, 1.2.4.
1.6.5. Выполнение требований по пп. 1.1.7 - 1.1.11.
Важным требованием к режимным картам, общим для всех типов топок, является сведение к минимуму в зависимости от нагрузки числа переключений вспомогательных механизмов, изменение положения или степени открытия многочисленных шиберов, количества работающих горелок и т.п. Это требование обусловлено большой загрузкой эксплуатационного персонала и недостаточной автоматизацией многих процессов.
Для сведения топливного баланса необходимо определить предельную по сушке и по размолу производительность установленных на котле мельниц, возможный диапазон снижения этой производительности, а также возможный диапазон регулирования производительности газовых или мазутных горелок.
2.1. Сушильная производительность мельниц
2.1.1. Предельная производительность мельниц всех типов определяется в первую очередь достатком тепла сушильного вентилирующего агента. Это особенно актуально для систем пылеприготовления с промбункером, где помимо снижения из-за этого размольной производительности недостаточная подсушка топлива приводит к конденсации водяных паров и налипанию пыли на стенах элементов, расположенных в зоне низких температур, к плохому истечению топлива из бункера и нестабильной работе питателей пыли. Наконец, более влажная пыль неблагоприятна по условиям ее воспламенения и выгорания.
Для мельниц, эксплуатируемых в схемах прямого вдувания, низкая температура за сепаратором и соответственно недостаточная подсушка топлива проявляется в снижении размольной производительности мельниц и снижении устойчивости и экономичности процесса горения.
2.1.2. Сушильная производительность связана с. расходом сушильно-вентилирующего агента, его температурой, влажностью топлива, допустимой (желаемой) температурой за мельницей и может быть определена расчетом [1, 2] или экспериментально. Влажность готовой пыли, учитываемая в расчете, может быть определена по температуре за мельницей (рис. 1), поскольку достаточно жестко связана с этим параметром [2].
Ориентировочные минимальные значения температуры за мельницей для систем пылеприготовления с промбункером - 80 - 90 °С*, для систем пылеприготовления прямого вдувания с воздушной сушкой (молотковые и среднеходные мельницы) при размоле бурых углей - 60 °С, каменных углей - 70 °С. Для систем пылеприготовления с мельницами вентиляторами минимальная температура зависит от содержания в топливе трудноизмельчаемых глинистых включений и меняется от 130 до 80 °С.
* 70 °С для тех установок, где при размоле бурых и каменных углей с выходом летучих более 20 % сохранилась сушка горячим воздухом.
Рис. 1. Зависимость влажности пыли от температуры пылевоздушной смеси за мельницей (обобщенные результаты испытаний молотковых мельниц при размоле подмосковного, челябинского и канско-ачинских бурых углей)
Для выполнения расчета необходимо определить возможный расход сушильно-вентилирующего агента на входе в Мельницу и его температуру. Для систем пылеприготовления с промбункером, работающих под разрежением и имеющих, как правило, ограниченный напор мельничного вентилятора, указанные параметры определяются в основном величиной присосов холодного воздуха. Поэтому составлению режимной карты должно предшествовать определение значений этих присосов, на которые реально можно рассчитывать при эксплуатации котла.
2.1.3. Для систем пылеприготовления прямого вдувания с молотковыми и среднеходными мельницами, работающих под давлением при воздушной сушке топлива, расход первичного воздуха обычно связан с производительностью мельницы и надо лишь проверить достаточность напора ДВ или ВПВ (ВГД) Поэтому вначале необходимо экспериментально или расчетом определить взаимосвязь расхода первичного воздуха с производительностью мельницы и затем экспериментально при среднем износе мелющих органов определить при найденных расходах первичного воздуха взаимосвязь производительности мельницы с ее сопротивлением (включая сопротивление подводящих воздуховодов, шиберов и пылепроводов) - рис. 2, б. Параллельно следует экспериментально определить возможное (при полностью открытых направляющих аппаратах вентиляторов) давление воздуха за воздухоподогревателем (за вентилятором первичного воздуха) в зависимости от нагрузки котла и избытка воздуха (рис. 2, а) и, сопоставляя полученные данные, определить предельную производительность мельницы по условиям ее вентиляции Сушильная производительность определяется в результате указанных выше экспериментов по достигнутой температуре за мельницей. Она может быть ниже найденной по условиям вентиляции (если температура за мельницей недостаточна) или выше (если к горячему воздуха добавляется менее нагретый).
На рис. 2, в дан пример определения паровой нагрузки, приходящейся на одну мельницу, в зависимости от ее производительности и теплоты сгорания топлива.
Рис. 2. Номограмма для определения ограничений паропроизводительности котла из-за нехватки напора вентилятора:

2.2. Размольная производительность мельниц
2.2.1. Для молотковых мельниц размольная производительность определяется их аэродинамическим сопротивлением при заданном расходе воздуха или, вернее, скоростью роста этого сопротивления при увеличении производительности, т.е. данные графиков подобных изображенным на рис. 2, определяют одновременно и размольную производительность.
Для среднеходных мельниц размольная производительность определяется помимо роста аэродинамического сопротивления количеством провала топлива и породных включений. Поэтому при проведении испытаний мельниц для построения графиков, подобных графикам рис. 2, необходимо определять количество и теплоту сгорания провала в зависимости от производительности при нескольких значениях вентиляции и найти для каждой производительности вентиляцию, при которой потери тепла топлива с провалом минимальны (около 0,1 - 0,2 %). Испытания следует проводить при среднем износе мелющих органов, так как количество провала по мере их износа быстро увеличивается.
2.2.2. Размольная производительность мельниц-вентиляторов определяется возможностью сохранить на неизменном уровне (хотя и с колебаниями) потребляемую мощность. Производительность эта зависит от интенсивности подсушки топлива, а последняя от уровня присосов холодного воздуха, т.е. при испытаниях систем пылеприготовления надо определить присосы и для составления режимной карты пользоваться значениями производительности, найденными для достижения в эксплуатации уровня присосов.
2.2.3. Размольная производительность шаровых барабанных мельниц характерных постоянным уровнем потребляемой мощности для конкретной шаровой нагрузки, определяется возможностью сохранить при данном расходе сушильно-вентилирующего агента неизменное сопротивление барабана мельницы. В свою очередь необходимую шаровую загрузку следует увязать с потребностями котла и с сушильной производительностью мельницы. Последняя должна быть равна или больше размольной.
2.3.1. На котлах, оснащенных системами пылеприготовления прямого вдувания, следует стремиться к эксплуатации в рабочем диапазоне нагрузок котла всех исправных систем пылеприготовления с тем, чтобы иметь в работе максимальное количество горелок. При этом легче организовать наиболее экономичное сжигание топлива, легче избежать образования в топке зон с повышенными тепловыми потоками на экраны, с повышенным шлакованием. Более просто при этом осуществить автоматическое управление котлом. Такому подходу, однако, часто противоречит повышенный суммарный расход и доля первичного воздуха при малых нагрузках котла из-за необходимости обеспечения приемлемых скоростей воздуха и пылевоздушной смеси в мельнице (что особенно важно для среднеходных мельниц), сепараторе (для обеспечения желаемой тонкости пыли), пыле проводах и горелках. В результате этого нарушается желаемое соотношение скоростей первичного и вторичного воздуха, требуется из-за избытка сушки присадка в воздуховод перед мельницей больших количеств холодного воздуха и вследствие этого из-за недостаточного использования воздухоподогревателя повышается температура уходящих газов.
2.3.2. На котлах с мельницами-вентиляторами с сушкой топлива топочными газами эксплуатации всех систем пылеприготовления при малых нагрузках при отсутствии регулирования расхода газов препятствует необходимость присадки к горячим газам «холодных» теплоносителей. В случае присадки горячего воздуха увеличивается взрывоопасность систем пылеприготовления, ухудшается соотношение скоростей в горелках. В случае присадки газов рециркуляции из «хвоста» котла снижается устойчивость горения, растут затраты электроэнергии.
2.3.3. Вне зависимости от типа мельниц при небольшой загрузке всех систем пылеприготовления могут иметь место повышенные удельные расходы электроэнергии на привод мельниц, ВПВ, ВГД, дымососов рециркуляции. Следует также считаться с большим расходом дефицитных запасных частей (подшипников; зубчатых передач и т.п.), срок службы которых определяется общей наработкой мельниц, питателей топлива, ВПВ. В свою очередь опыт показывает, что расход мелющих органов в первом приближении не зависит от количества работающих мельниц.
2.3.4. Приведенные соображения указывают на необходимость взвешенного подхода к определению наиболее желательного и минимального количества работающих мельниц при разных нагрузках котла. Оба эти значения целесообразно указать в режимной карте с соответствующими изменениями других ее показателей.
Оптимальным следует считать такое передаточное отношение редукторов, при котором при неизменной высоте слоя топлива удовлетворяются следующие условия:
- номинальная паропроизводительность котла обеспечивается при работе неполного количества систем пылеприготовления или питателей топлива (около 3/4 количества уставовленных) на топливе худшего качества и с частотой вращения электродвигателей питателей 0,8 - 0,9 верхнего предела;
- паропроизводительность котла, равная 60 % номинальной, обеспечивается при работе всех систем пылеприготовления или питателей, работающих на топливе лучшего качества и с частотой вращения электродвигателей около 1,1 - 1,2 нижнего предела.
Для обеспечения этих условий и в случае колебаний теплоты сгорания топлива в 1,5 раза необходимо, чтобы имелась возможность изменения частоты вращения электродвигателей примерно в 4 раза. Между тем эти условия далеко не всегда обеспечиваются. Как правило, диапазон возможного изменения подачи питателей топлива смещен в область больших производительностей. В этих случаях следует увеличить передаточное отношение редукторов.
2.3.6. Для оценки возможного количества исправно работающих систем пылеприготовления следует организовать статистику и анализ причин выхода их из строя и продолжительности простоев в ремонте или в ожидании ремонта [2, 3]. На электростанциях с высокой культурой эксплуатации и ремонта удается поддерживать коэффициент готовности систем пылеприготовления к работе на уровне 0,95, т.е. на котле энергоблока 500 МВт постоянно могут находиться в работе 7, 6 систем пылеприготовления из 8 установленных.
2.3.7. На котлах, оснащенных двумя системами пылеприготовления с промбункером и шаровыми барабанными мельницами, следует отдать предпочтение режиму с постоянной, в течение одной-двух смен, работой обеих мельниц, даже если возможно благодаря резерву в их производительности периодически останавливать одну из мельниц, постоянно расходуя запас пыли в промежуточном бункере. Для того, чтобы при рекомендуемом режиме (работе обеих мельниц) минимизировать расход энергии на пылеприготовление, необходимо установить такое заполнение барабанов мельниц шарами, которое позволило бы, поддерживая уровень пыли в промежуточном бункере в допустимых пределах, эксплуатировать мельницы в режиме, близком к предельному. Аналогично изложенному следует поступать и при установке на котле дубль-блока трех систем приготовления.
Преимуществом описанного подхода является отсутствие необходимости в перестройке топочного режима и режима работы вентиляторов (дымососов рециркуляции) при пуске и останове мельниц. Помимо этого, повышается надежность механической части мельниц, прямо связанной с числом пусков.
Недостатком сокращения шаровой загрузки мельниц и соответственно их предельной размольной производительности (если она заметно превышает сушильную) является уменьшение или отсутствие резерва на случай выхода из строя одной из систем приготовления. Поэтому при определении оптимальной шаровой загрузки мельниц следует учитывать частоту и продолжительность выхода системы пылеприготовления из строя, продолжительность восполнения дефицита топлива запасом пыли в промбункере и возможность и необходимость использования резервных топлив - газа или мазута. Следует учитывать также возможность передачи пыли с помощью шнеков от соседних котлов.
2.3.8. На котлах, оснащенных системами пылеприготовления с промбункером и молотковыми мельницами, количество постоянно работающих систем пылеприготовления следует выбирать таким образом, чтобы они, как правило, работали в оптимальном режиме. На случай же выхода из строя одной из систем пылеприготовления должна иметься возможность повышения производительности оставшихся в работе.
2.3.9. На пылеугольных котлах с промбункером следует ориентироваться на работу всех горелок в рабочем диапазоне нагрузок. Для обеспечения этого производительность питателей пыли должна быть приведена в соответствие с потребностями котла по такой же схеме, как и производительность питателей топлива в системах пылеприготовления прямого вдувания (см. п. 2.3.5).
2.3.10. Для газомазутных котлов также необходимо стремиться к работе всех горелок в рабочем диапазоне нагрузок. При работе на газе этому может препятствовать чрезмерно глубокое снижение давления газа, выходящее за пределы допустимых по характеристике горелок значений. Очевидно, что в таких случаях следует рассмотреть возможность увеличения сопротивления газовых горелок при номинальной нагрузке котла, ориентируясь на то, чтобы при этой нагрузке и работе всех горелок регулирующий клапан был открыт не более чем на 70 - 80 %. Задача может быть также решена путем осуществления двухконтурного подвода газа к горелкам.
2.4. Вопросы равномерности загрузки горелок
2.4.1. Идеальным следует считать работу всех горелок с одинаковой загрузкой топливом. Однако могут быть обстоятельства, заставляющие по-разному загружать горелки разных ярусов. Возможны причины этого:
- высокие температуры на выходе из топки, вызывающие шлакование расположенных там поверхностей нагрева или чрезмерное тепловосприятие пароперегревателей;
- высокие температуры в нижней части топки, наброс факела на скаты холодной воронки, приводящие к ее шлакованию;
- низкие температуры в нижней части топки, затрудняющие образование и выход жидкого шлака;
- возможность снизить выброс NOх.
В этих и подобных им случаях при составлении режимных карт следует указать принцип распределения топлива между горелками разных ярусов при изменении нагрузки котла. Для котлов с системами пылеприготовления прямого вдувания с подачей пыли одновременно на несколько ярусов (например, системы пылеприготовления с мельницами-вентиляторами) должно быть предусмотрено нерегулируемое перераспределение пыли.
2.4.2. Фактическое распределение пыли между горелками, подключенными к одной мельнице прямого вдувания, может существенно отличаться от желаемого равномерного. Неравномерность распределения определяется уровнем совершенства делителя пыли, различием в аэродинамическом сопротивлении (длине, конфигурации) параллельно включенных пылепроводов, расчетной скоростью пылегазовой смеси в пылепроводах. Не меньшее значение имеет и то, на сколько параллельных пылепроводов делится поток. При разделении на два пылепровода начало забивания одного из них при условии сохранения общего расхода пылевоздушной смеси будет сопровождаться таким ростом давления в месте разветвления и скорости смеси, что рост отложений пыли приостановится (при полном забивании давление должно вырасти в 4 раза). При разделении на четыре пылепровода полному забиванию одного пылепровода будет соответствовать рост давления в 1,8 раза. В установках с малыми скоростями в пылепроводах и относительно небольшой долей сопротивления пылепроводов и горелок по отношению к сопротивлению всей системы пылеприготовления такой рост сопротивления может остаться незамеченным, т. е. забивание одного из пылепроводов возможно. Последнее и наблюдается на котлах П-59 Рязанской ГРЭС.
Наиболее вероятно забивание тех пылепроводов, которые имеют по отношению к другим параллельным наибольший суммарный (вместе с горелками) коэффициент сопротивления. Поэтому проведению экспериментальных и наладочных работ по составлению режимной карты должно предшествовать выравнивание расчетным путем коэффициентов сопротивления пылепроводов путем дросселирования (установки, например, сегментных диафрагм) на наименее протяженных или с более простой конфигурацией.
2.4.3. При сжигании на одном котле двух видов твердого топлива, размалываемых в разных системах пылеприготовления прямого вдувания, следует стремиться к выравниванию тепловой нагрузки горелок, т.е. при разной теплоте сгорания топлива требуется соответственно разная производительность систем пылеприготовления. Такой подход, обеспечивая относительно выравненное тепловыделение в топке, упрощает распределение вторичного воздуха, так как не требуется разного его давления для горелок разных систем пылеприготовления. Однако при больших различиях в количестве первичного воздуха приходится прибегать к поддержанию разных расходов и соответственно разных давлений вторичного воздуха.
2.5. Контроль за распределением и стабильной подачей в топку топлива.
1 Случаи, когда в комбинированных двухступенчатых питателях первая ступень (дозатор) эксплуатируется с частью скребков или даже с частью скребковых цепей рассматривать, очевидно, не следует.
Информация о частоте вращения электродвигателей питателей достоверна лишь при прямом измерении этого значения с помощью тахогенераторов с установкой вторичных приборов на щите. Хотя оснащаются ими электродвигатели лишь в последние годы, однако сравнительно несложно и недорого дооснастить двигатели этими приборами. Целесообразность их установки диктуется существенными различиями в частоте вращения параллельно работающих электродвигателей как при управлении плоским контроллером, так и при управлении с помощью системы бесступенчатого регулирования (СБР). В последнем случае расхождение в частоте вращения наблюдается даже при одинаковых значениях управляющего тока (информация о котором на щите имеется) и вызвано разной степенью скольжения частоты вращения в зависимости от механического сопротивления движению скребковой цепи.
2.5.2. Данные о производительности питателей топлива позволяют получить исходную информацию для контроля показателей системы пылеприготовления - соответствия между производительностью мельницы и количеством сушильного агента, температурой за мельницей; оценить относительное значение присосов холодного воздуха. Для схем с прямым вдуванием эта информация необходима для выравнивания загрузки мельниц и горелок.
2.5.3. Для систем пылеприготовления с промбункером контроль производительности питателей пыли с помощью тахогенераторов не оправдан, так как их производительность в большей степени зависит от зазоров в питателе, условий истечения топлива из бункера, чем от различий в частоте вращения питателей, управляемых от одного плоского контроллера или СБР. В этих условиях возрастает роль регулярных технических осмотров питателей пыли, сведение к минимуму зазоров в них, выравнивание частоты вращения электродвигателей, имеющих групповое управление и т.п.
Для установок, в которых транспортирование пыли в топку осуществляется горячим воздухом, о равномерности подачи пыли можно судить по температуре пылевоздушной смеси перед горелками.
3.1. При составлении воздушного баланса в зависимости от нагрузки котла требуется определить:
- общий расход воздуха, организованно подаваемого в топку. В свою очередь для этого необходимо определить значение избытка воздуха на выходе из топки при разных нагрузках и значения присосов в топку холодного воздуха;
- для пылеугольных котлов долю первичного воздуха в зависимости от количества работающих систем пылеприготовления и нагрузки котла;
- долю воздуха, организованно подаваемого в топку через сбросные горелки, задние шлицы, сопла в холодную воронку, сопла второй ступени сжигания, расположенные над основными горелками, в зависимости от нагрузки, количества работающих горелок;
- долю воздуха, подаваемого на охлаждение неработающих горелок, сопл и т.п.;
- оставшуюся долю воздуха, поступающего в основные горелки (вторичного воздуха), с распределением между ярусами или каналами горелок (при наличии различий), а также между горелками, работающими на разных топливах;
- значение избытка воздуха, организованно подаваемого в основные горелки (включая воздух газов рециркуляции или сушильных газов при их наличии);
- скоростной режим горелок, скорость пылевоздушной смеси в пылепроводах.
3.2. На рис. 3 приведен график, относящийся к наиболее простому случаю определения воздушного режима - режима газоплотного котла с молотковыми мельницами энергоблока 500 МВт, работающего на экибастузском угле. Для этого котла благодаря бесприсосной топке при условии высокой готовности систем пылеприготовления (практически 0,97 - 0,98) можно обеспечить в диапазоне нагрузок 100 - 60 % Дном приемлемый режим работы горелок на 8 системах пылеприготовления без отключения какого-либо их количества. В свою очередь использование практически невзрывоопасного топлива позволяет обеспечить сушку топлива горячим воздухом без разбавления его менее нагретым. В результате лучше используется воздухоподогреватель для охлаждения дымовых газов.
Рис. 3. Оптимальное изменение режима работы котла, работающего на экибастузском угле в диапазоне нагрузок 100 - 60 % (применительно к котлу энергоблока 560 Мвт):
- расход общего, вторичного и первичного
воздуха в процентах от общего при Дном.
В
рассматриваемом примере - сухой уголь WP» 6 %), отсутствие
ограничений по снижению вентиляции молотковых мельниц - сравнительно невелика
доля первичного воздуха - 30 - 38 % (при снижении нагрузки расход первичного
воздуха изменяется пропорционально (ВМ2/ВМ1)1/2).
Благодаря этому и отсутствию присосов холодного воздуха в топку удается при
неизменном избытке воздуха
сохранить приемлемые значения скоростей
вторичного воздуха и их соотношения к первичному - при Дном
, при 0,6
. Оптимальна
и скорость в пылепроводах - при она (26 м/с) не вызывает интенсивного
абразивного износа, а при 0,6 Дном
м/с что исключает отложение пыли.
3.3. Применение в указанном примере вместо 8 молотковых мельниц 6 среднеходных (котел П-57Р) с жестко регламентированным в связи с возможными провалом топлива минимальным расходом первичного воздуха существенно меняет воздушный баланс. Здесь доля первичного воздуха при работе всех мельниц составляет в том же диапазоне нагрузок 39 - 56 %. Это противоречит условиям устойчивого воспламенения и экономичного сжигания каменных углей, не позволяет сохранить в горелках приемлемые скорости и соотношения скоростей, требует присадки к горячему воздуху больших количеств холодного для снижения температуры за мельницами. В этих условиях следует рекомендовать работу с неполным количеством мельниц - 5 в диапазоне нагрузок 100 - 85 % и 4 при нагрузках 85 - 70 % номинальной Доля первичного воздуха при таких условиях сократится на 35 - 39 %. Очевидно, что работа котла с неполным количеством горелок приведет к увеличению потерь тепла с механической неполнотой сгорания, а необходимость изменения количества работающих систем пылеприготовления отрицательно повлияет на маневренные характеристики котла и блока.
3.4. Выше рассмотрен воздушный баланс газоплотного котла. При наличии присосов холодного воздуха в топку соответственно их значениям сокращается доля вторичного воздуха, что препятствует при снижении нагрузки сохранению приемлемых соотношений скоростей первичного и вторичного воздуха в горелках. Последнее требует сокращения количества работающих систем пылеприготовления или горелок, что так же, как и в описанном выше случае, снижает экономичность котла и отрицательно влияет на его маневренные характеристики. В свою очередь при работе всех горелок с заведомо малыми скоростями вторичного воздуха могут иметь место еще большие потери тепла топлива с механической неполнотой сгорания.
Для этого для каждого котла или типа котла требуется экспериментально определить оптимальный избыток воздуха в зависимости от нагрузки. С некоторым приближением можно исходить из имеющегося опыта, согласно которому примерно половина присосов в топку в полной мере участвует в процессе сжигания топлива, т.е. можно принять:
аД = аорг + 0,5DаТ, (1)
где
аД - действующий (условный) избыток воздуха на выходе из топки;
аорг - избыток воздуха, организованно подаваемого в топку;
DаТ - присосы в топке.
Значение аД для пылеугольных котлов согласно опыту можно принять равным 1,15; для котлов, работающих на газе, - 1,05 и на мазуте - 1,03.
Соответственно изложенному
![]()
В контрольном
сечении (за промежуточным пароперегревателем или за водяным экономайзером)
избыток воздуха должен быть выше на значение присосов (
) в
конвективных поверхностях нагрева, расположенных в газоходах от выходного окна
топки до этого сечения, т.е.
![]()
3.6. Структура воздушного баланса для различных топочных устройств и схем пылеприготовления рассмотрена в разд. 9. Исходным при сведении воздушного баланса является общий расход воздуха при разных нагрузках котла. Основой для определения этого расхода является величина аД. Очевидно, что при сохранении принятых нами допущений значение аД остается неизменным при всех нагрузках, а
![]()
Полученное, значение избытка воздуха следует корректировать, когда при снижении нагрузки наблюдается увеличение содержания горючих в уносе. В этом случае возможно потребуется некоторое увеличение аД по мере снижения нагрузки.
3.7. Воздушный баланс газомазутного котла при одноступенчатой схеме сжигания предельно прост - весь воздух подается на горелки. При организации двухступенчатого сжигания для уменьшения образования оксидов азота (обычно в диапазоне нагрузок 100 - 80 %), часть воздуха (третичного) подается на сопла. Причем при неизменном количестве доля последнего при снижении нагрузки увеличивается. Требуется это для обеспечения приемлемых выходных скоростей и соответственно приемлемой дальнобойкости струй воздуха (выравнивание концентрации кислорода по сечению топки).
При одноступенчатой схеме сжигания и равномерной подаче воздуха во все горелки (или подаче с постоянной относительной неравномерностью) управление сосредоточено на н.а ДВ и авторегуляторе общего воздуха. Нужна лишь предварительная настройка с помощью концевых выключателей «полного открытия» равномерного или желаемого распределения воздуха между горелками или горелками разных ярусов. При организации ступенчатого сжигания в силу сказанного выше требуется увеличение степени открытия шиберов на сопла (когда сопротивление этой ветви тракта меньше сопротивления тракта к горелкам). Соответственно на этой ветви тракта требуется установка общих шиберов с дистанционным управлением, индикатора расхода воздуха на сопла и авторегулятора, поддерживающего расход этого воздуха в зависимости от нагрузки котла.
3.8. На пылеугольный котел, оснащенный системами пылеприготовления прямого вдувания с MB и сушкой топлива дымовыми газами, распространяются положения п. 1.3.1. Отключение при необходимости отдельных мельниц при снижении нагрузки из-за избытка тепла сушильного агента не вносит каких-либо изменений - требуется лишь при необходимости прикрыть шиберы вторичного воздуха на горелки остановленной системы пылеприготовления. Не вносит изменений в управление и присадка части горячего воздуха к дымовым газам ради расширения диапазона возможных нагрузок котла при неизменном количестве работающих MB. Отдельного управления требует подача части воздуха в холодную воронку для дожигания сепарирующихся крупных фракций пыли.
3.9. Положения п. 3.8 распространяются и на системы пылеприготовления с газовой сушкой и промбункером при транспортировании пыли в топку по схеме с высокой концентрацией, поскольку транспортирование пыли осуществляется не от напора ДВ. Аналогично при транспортировании пыли в топку горячим воздухом от напора ВГД также неизменным остается управление оставшимся воздухом с помощью ДВ.
3.10. В пылеугольных котлах, оснащенных системами пылеприготовления с промбункером и ШБМ, при сушке топлива горячим воздухом могут возникнуть трудности с управлением. Так при малых нагрузках, т.е. пониженных давлениях воздуха за воздухоподогревателем, перед мельницами при большом сопротивлении воздуховодов к ним возникает значительное разрежение. А это в свою очередь ведет к увеличению присосов холодного воздуха через течку топлива, снижению сушильной производительности систем пылеприготовления. В этой ситуации (если нельзя снизить сопротивление воздуховодов к мельницам) оптимальным было бы прикрытие общих шиберов вторичного воздуха в зависимости от разрежения перед мельницами.
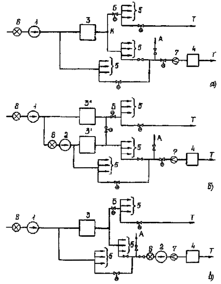
3.11. Для пылеугольных котлов, оснащенных системами пылеприготовления прямого вдувания с ММ или СМ и сушкой топлива горячим воздухом, применяются различные схемы воздушного тракта - рис. 4*.
* Для СМ используются лишь схемы 4, б и 4, в.
Рис. 4. Принципиальная схема воздушного тракта котлов, оснащенных системами пылеприготовления прямого вдувания с ММ и СМ:
а - с общим дутьевым вентилятором; б - с дополнительным вентилятором первичного воздуха и разделенными воздухоподогревателями; в - с вентиляторами первичного воздуха, установленными перед мельницами; 1 - дутьевой вентилятор; 2 - вентилятор первичного воздуха; 3 - воздухоподогреватель; 3' и 3" - воздухоподогреватели первичного и вторичного воздуха; 4 - мельница; 5 - воздух к другим мельницам и горелкам; 6 -направляющий аппарат, 7 - дроссельное устройство для измерения расхода воздуха, Т - в топку, А - в атмосферу, Б - подпорный шибер.
В схеме рис. 4, в подача первичного воздуха при достаточном напоре ВГД не требует вмешательства в положение н.а. ДВ. Однако при низких нагрузках котла, когда часть систем пылеприготовления может быть отключена, а сопротивление оставшихся в работе будет близко их сопротивлению при полных нагрузках, подпора ДВ на стороне всасывания ВГД может быть недостаточно. В этих условиях при полностью открытом направляющем аппарате одного или нескольких ВГД может возникнуть ограничение в подаче воздуха в. мельнице и в некоторых случаях их перегрузка. Для того, чтобы ввести в диапазон регулирования н.а. ВГД требуется прижать шиберы вторичного воздуха. Оптимальным решением является установка общих подпорных шиберов на тракте вторичного воздуха (шибер Б) и использование их в описанной ситуации. В этом случае в отличие от использования шиберов перед горелками не нарушается равномерность распределения вторичного воздуха 1, уменьшается количество шиберов, используемых в управлении.
Аналогично изложенному шибер Б может оказаться необходимым и для схемы рис. 4, б в тех случаях, когда напор ВПВ при малых нагрузках котла может быть недостаточен. В свою очередь в схеме рис. 4, а шибер Б, очевидно, необходим во всех случаях.
3.12. Управление подачей воздуха в сложных схемах с параллельными ветвями может быть упрощено при использовании авторегулятора, поддерживающего в желаемом диапазоне н.а. параллельно работающих ВГД или шиберы первичного воздуха мельниц. Согласно рис. 5 дополнительный регулятор, получая сигнал о том, что один или несколько шиберов вышли из заданного диапазона (например 40 - 70 % полного открытия), подает команду на изменение степени открытия шибера Б. В свою очередь регулятор общего воздуха, изменяя положение н.а. ДВ, восстанавливает заданный для данной нагрузки котла расход воздуха.
Рис. 5. Схема управления подачей воздуха в котлы с молотковыми мельницами:
1 - регулятор общего воздуха; 2 - индивидуальный регулятор первичного воздуха; 3 - дополнительный регулятор; 4 - воздухоподогреватель; 5 - дутьевой вентилятор; I - к горелкам системы пылеприготовления № 1; II - к горелкам системы пылеприготовления № 8.
1 Индивидуальные шиберы вторичного воздуха используются для выравнивания распределения при предварительной наладке. Положение, соответствующее равномерному распределению, фиксируется концевыми выключателями «полного открытия». Положение «полного закрытия» шиберов устанавливается по значению пропуска воздуха, достаточного для охлаждения горелок.
Применительно к схеме рис. 4, б дополнительный регулятор вначале действует аналогично описанному, изменяя степень открытия н.а. ВПВ. Если же степень открытия этого н.а. превысит, например, 80 %, подается команда на прикрытие подпорного шибера Б. Регулятор общего воздуха должен при этом увеличить степень открытия н.а. ДВ и восстановить заданный расход общего воздуха.
Для схемы рис. 4, в дополнительный регулятор вступает в действие при степени открытия н.а. одного из ВГД, например, более 80 %, прижимая подпорный шибер Б.
4.1. При организации сжигания газа и твердого топлива нужна информация о возможном изменении доли каждого из топлив. Часто эта доля может изменяться в пределах от 100 % твердого топлива до 100 % газа. Поэтому для сокращения числа вариантов режимов, указываемых в режимной карте, следует решить вопрос о способе регулирования нагрузки - или за счет изменения расхода твердого топлива, или газа, или одновременно обоих видов топлива. Во многом это определяется принятым способом сжигания обоих видов топлива - в одних и тех же или в разных горелках.
4.2. Для котлов с промбункером по условиям управления, надежности горелок, экологии более целесообразно сжигание обоих видов топлива в одних и тех же горелках, так как это позволяет во всех горелках при выравненной подаче первичного воздуха и при одинаковом расходе вторичного поддерживать одинаковый и минимально необходимый избыток воздуха, т.е. минимальное образование оксидов азота и минимальный разогрев горелок благодаря экранированию излучения из топки запыленным воздухом. Опыт одновременного сжигания газа и углей с умеренным и большим выходом летучих показывает, что при этом не ухудшается и выгорание твердого топлива. Противопоказанием к этой схеме организации работы топки могут быть ограничения возможного диапазона изменения производительности питателей пыли и давления газа перед горелками. Пример организации совместного сжигания угля и газа в котле, оснащенном системой пылеприготовления с промбункером, рассмотрен в п. 9.13.
4.3. Для котлов, оснащенных системами пылеприготовления прямого вдувания, при воздушной сушке топлива в пользу одновременного сжигания в одних и тех же горелках твердого топлива и газа дополнительно указывает то обстоятельство, что при использовании влажных топлив (большой доле первичного воздуха) через каналы вторичного воздуха горелок, работающих на газе, невозможно пропустить весь необходимый для горения воздух, т.е. в рассматриваемом примере в лучшем случае имеют место еще большие неравномерности в аГОР, а в худшем - ограничивается нагрузка котла. Недостатком одновременной работы горелок на пыли и газе в этом случае является необходимость эксплуатации большего количества мельниц, что часто ведет к росту затрат электроэнергии и затрат на ремонт пылеприготовительного оборудования.
Изложенное показывает, что решение о совместном или раздельном сжигании топлив определяется относительной долей сжигаемого газа - чем она больше, тем скорее приходится прибегать к раздельному сжиганию топлив. Однако для этого необходима модернизация горелок, обеспечивающая возможность сохранения примерно равных избытков воздуха и в угольных, и в газовых горелках. В то же время горелки должны обеспечивать при работе на угле разрежение, если оно необходимо и может быть достаточным для преодоления пыления систем пылеприготовления.
5.1. Специфика котлов с MB заключается в том, что по мере уменьшения производительности мельниц объем перемещаемого ею газа увеличивается (рис. 6). Последнее обуславливает повышение температуры и требует для регулирования температуры за мельницей, вернее для удержания этой температуры в пределах допустимых по условиям взрывоопасности значений, присадки горячего (первичного) воздуха или газов рециркуляции. Однако из-за ограниченных возможностей этих методов обычно по мере уменьшения нагрузки сокращается количество работающих MB, что усложняет эксплуатацию котла. Особенно в условиях значительных колебаний влажности топлива, присосов в системы пылеприготовления, а также влияния степени износа MB. В частности, осложнения связаны с невозможностью управлять в этих условиях положением ядра факела, что крайне неблагоприятно сказывается на сжигании шлакующих топлив. Легче решается задача управления MB и топки при применении устройств, позволяющих изменять вентиляционную производительность MB. Наиболее простым и эффективным является дроссельный метод регулирования с помощью специального устройства [2], устанавливаемого на стороне всасывания MB. Его использование позволяет организовать работу котла без отключения мельниц в более широком диапазоне нагрузок и, кроме того, поддерживать при их эксплуатации одинаковые вентиляционные производительности, т.е. одинаковые скорости первичной смеси на выходе из горелок.
Рис. 6. Зависимость вентиляционной производительности мельницы и скорости пылевоздушной смеси на выходе из горелок от загрузки мельницы-вентилятора.
5.2. В связи со значительными изменениями в зависимости от нагрузки и числа работающих MB количества вторичного воздуха в условиях, когда пылегазовая смесь от каждой мельницы подводится к нескольким горелкам, может оказаться целесообразным при некоторых значениях скоростей вторичного воздуха на выходе из горелок (давлений воздуха перед ними) перекрывать часть каналов вторичного воздуха, повышая выходные скорости в остальных. Для этого целесообразно самостоятельный групповой подвод воздуха к этим каналам с общими шиберами на группу.
5.3. В котлах, где для регулирования температуры за MB используются «холодные» дымовые газы, требуется постоянная эксплуатация дымососов рециркуляции со степенью открытия направляющих аппаратов, отвечающей максимально возможной суммарной потребности работающих мельниц. Для экономии электроэнергии на привод этих дымососов может быть использована схема, предусматривающая изменение степени открытия направляющего аппарата ДРГ в зависимости от степени открытия индивидуальных шиберов присадки к MB (аналогично схеме, приведенной на рис. 5).
6.1. В отечественной практике для организации сжигания топлива с минимальными выбросами NOх применяется двухступенчатая схема, при которой работа горелок осуществляется с избытком воздуха ниже 1,0 (около 0,8), а остальной воздух, необходимый для полного выгорания топлива, подводится в топку выше горелок через специальные сопла. Подвод этого воздуха осуществляется с учетом необходимости его хорошего перемешивания с горящим факелом от нижерасположенных горелок.
В стадии опробования находится разработанная за рубежом трехступенчатая схема, в которой над горящим с избытком воздуха около 0,9 факелом основных горелок организуется восстановительная зона за счет сжигания дополнительного (15 - 25 %) топлива с очень малым (около 0,3) избытком воздуха. Дожигание твердых и газообразных продуктов неполного сгорания топлива осуществляется за счет подвода недостающего воздуха через сопла, расположенные на третьем уровне.
6.2. При организации режима работы топки требуется в обеих схемах организовать измерение расхода воздуха во второй или третий ярус и поддерживать этот расход в зависимости от нагрузки котла. Учитывая необходимость хорошего перемешивания с горящим факелом этого воздуха, завершающего процесс выгорания твердого топлива, его количество должно изменяться в меньшей степени, чем нагрузка. Для простоты управления при составлении режимных карт принимаем расход этого воздуха постоянным в пределах нагрузок 0,7 - 1,0 ДНОМ, когда имеет место наибольшее образование NOх, а при меньших нагрузках этот воздух не подаем. Очевидно, что при большом числе сопл ввода рассматриваемого воздуха необходимо, чтобы все они были объединены общим воздуховодом, а управление сосредоточено на одном или двух шиберах.
Подвод топлива в восстановительную зону также должен соразмеряться с общим количеством топлива. Для твердотопливного котла это при наличии промбункера требует отдельных питателей пыли, а для схем прямого вдувания - делителей пыли, распределяющих пылегазовую смесь от каждой мельницы на два потока. В зарубежной практике разделение смеси на два потока осуществляется до сепараторов, настроенных на получение пыли разной тонкости помола. Последнее позволяет направлять в восстановительную зону более тонкую пыль, что помогает обеспечить достаточно полное выгорание топлива, несмотря на затягивание процесса горения.
Трехступенчатую схему сжигания топлива на котлах, работающих одновременно на твердом топливе и газе, целесообразно организовывать так, чтобы в восстановительной зоне сжигался газ. Очевидно, последнее значительно облегчает организацию топочного режима.
6.3. К двухступенчатой схеме сжигания относят и режимы с отключением но топливу части горелок и подачей воздуха на все горелки Режимные карты для этого случая не рассматриваются. Не рассматриваются также двухступенчатые схемы сжигания, когда вторичный воздух в топке с тангенциальным расположением горелок подводится к первичной смеси в той же плоскости, но на некотором расстоянии от горелок (сопла вторичного воздуха расположены на некотором расстоянии от окон выхода первичной смеси и встреча этих двух потоков происходит под небольшим углом).
6.4. Широко применяется в отечественной практике для снижения образования оксидов азота рециркуляция в топку дымовых газов из «хвоста» котла. Обычно эти газы (по объему около 15 % количества воздуха) подмешиваются с помощью дымососов рециркуляции к вторичному воздуху перед горелками. Применению этого метода часто препятствует нехватка напора (производительности) основных дымососов. Кроме того, на твердотопливных котлах при отборе газов из газоходов до золоуловителей значительные неприятности доставляет износ дымососов рециркуляции.
Оптимизации режима по условиям экономичности и экологии может препятствовать ряд обстоятельств. Однако с требованиями, обусловленными этими обстоятельствами, чаще всего приходится считаться как приоритетными.
7.1. Для организации на шлакующих топливах режима с минимальным загрязнением топочных экранов требуется обеспечить размещение ядра факела в центре сечения топки. Наиболее просто это решается при тангенциальной схеме размещения горелок в квадратной топке, несколько хуже при встречном их размещении. Очевидно, что в обоих случаях к снижению шлакования приводит работа максимального количества, горелок с максимально выравненными тепловыми нагрузками и одинаковыми скоростями первичной смеси и вторичного воздуха. Это же способствует повышению экономичности и снижению выбросов NОх.
При одно-фронтовой схеме размещения горелок факел при прямоточных горелках обычно прижат к заднему экрану, а при вихревых - к фронтовому. Поэтому режимная карта должна отражать условия, обеспечивающие приближение ядра факела к центру топки. Необходимость при этом вносить определенные требования в скоростной режим горелок, необходимость подачи воздуха через шлицы на задней стене и др. могут противоречить условиям обеспечения максимальной экономичности и, тем не менее, должны быть учтены в режимной карте.
7.2. Задача минимального шлакования поверхностей нагрева, расположенных на выходе из топки, т.е. максимального снижения температуры в выходном сечении, не вступая в противоречие с задачей повышения экономичности, для которой важно обеспечить наиболее ранее выгорание пыли, может препятствовать снижению содержания NOх, для которого предпочтительно затягивание процесса горения. В данном случае при превышении норм выбросов NОх следует либо смириться с этим, либо при отсутствии возможности стабилизировать очисткой процесс загрязнения поверхностей нагрева пойти на ограничение нагрузки.
7.3. На котлах с жидким шлакоудалением для обеспечения устойчивого выхода шлака необходимо более глубокое измельчение топлива; при двухъярусной схеме размещения горелок следует больше загружать топливом нижний ярус горелок, снижая в них избыток воздуха, а при одноярусной схеме необходимо дополнительное сжигание мазута в надподовых горелках. В режимной карте должны найти отражение как эти приемы, так и рекомендации по ограничению минимальной нагрузки котла.
7.4. При необходимости повышения температуры пара, например, в результате сжигания непроектных топлив часто используется увеличение избытка воздуха, что противоречит для котла требованиям экономичности и экологии. Если КПД блока от этого и не снижается, то рост выбросов NОх безусловен. С этим либо приходится мириться, либо искать другие пути повышения температуры пара. В частности, на газомазутных котлах для этого используется рециркуляция дымовых газов в горелки и в верх топки. Ввод газов рециркуляции в горелки одновременно способствует снижению выбросов NOх.
7.5. Режимная карта составляется, исходя из проектной температуры питательной воды. В тех случаях, когда температура ниже проектной из-за отключения ПВД, следует вносить коррективы в значение паровой нагрузки в соответствии с прилагаемым к карте графиком. Образец такого графика для котла блока 210 МВт приведен на рис. 7.
Рис. 7. Нагрузка котла Дt, приведенная к нагрузке при номинальной температуре питательной воды 230 °С.
Например: Дt при tп.в 170 °С равна 600 т/ч, Дном = 656 т/ч. Принято: tПЕ = 545/545 °С; Рпп = 140 кгс/см2; Р¢пром = 28 кгс/см2; Р²пром = 26 кгс/см2; t¢пром = 320 °С; Дпром/Дпп = 0,8.
7.6. Необходимая температура подогрева холодного воздуха указывается в режимной карте в соответствии с [4]. При сжигании смеси топлив температура подогрева воздуха определяется по значению температуры точки росы дымовых газов на основе приведенного содержания серы в смеси [1]. При этом температура металлической стенки труб воздухоподогревателя (в первом приближении среднее значение между температурой подогрева воздуха и температурой уходящих газов) должна быть на 10 °С выше температуры топки росы.
Для обеспечения требуемого подогрева воздуха (при отсутствии или недостаточной эффективности калориферов) может появиться необходимость использования всего напора ДВ для пропуска потребной рециркуляции горячего воздуха, т.е. полного открытия направляющих аппаратов, что по условиям работы топки не требуется. Тем не менее для предотвращения сернокислотной коррозии на это следует пойти. Регулирование подачи воздуха в топку в этом случае переносится с направляющих аппаратов ДВ на общие шиберы вторичного воздуха.
7.7. В режимных картах и в руководствах по испытанию котлов часто не указываются различия в способе управления подачей воздуха в топку в котлах, оснащенных разными схемами пылеприготовления - с промбункером и прямого вдувания. В первых режим работы ДВ зависит лишь от нагрузки котла. Это позволяет при некоторой нагрузке переводить ДВ на другую скорость, останавливать один из ДВ. Для котлов, оснащенных системами пылеприготовления прямого вдувания с ММ или СМ такой подход возможен, если схема воздушного тракта котла соответствует схемам рис. 4, б и в. Лишь в этих случаях можно отстроиться от изменений в сопротивлении систем пылеприготовления, вызванных сравнительно частым изменением количества работающих систем. Так, при нагрузке 70 % номинальной при работе 5 систем пылеприготовления сопротивление их будет большим, чем 8 систем пылеприготовления при полной нагрузке.
Следует обратить внимание на то, что режим работы ВПВ (см. рис. 4, б) также зависит от количества работающих мельниц прямого вдувания.
В котлах, оснащенных системами пылеприготовления с промбункером, управление ДВ лишь в функции нагрузки (см. рис. 4, а) приводит к тому, что при низких нагрузках растут разрежение перед мельницей и присосы. Не исключены случаи, когда управление подачей воздуха в эти котлы должно быть подчинено не только нагрузке, но и давлению перед мельницей.
7.8. Для котлов, оснащенных системами пылеприготовления с промбункером, возможны режимы работы на одних и тех же нагрузках с разным количеством систем пылеприготовления. Соответственно из-за изменения значений присосов в системы пылеприготовления и изменяется общее количество воздуха, организованно подаваемого в топку и количество вторичного воздуха. Количество последнего может меняться в разной степени в зависимости от способа сушки и способа подачи пыли в топку:
- при транспортировании пыли с высокой ее концентрацией в транспортирующем агенте количество вторичного воздуха меняется тем более существенно, чем выше доля воздуха, используемая в качестве сушильного агента (первичного воздуха);
- при сушке топлива дымовыми газами количество вторичного воздуха меняется на то же значение, что и общее количество организованно подаваемого в топку воздуха;
- при сушке воздухом, траспортировании сушильным агентом и сбросе запыленного агента в основные горелки, т.е. в каналы, не требующие охлаждения воздухом, при останове систем пылеприготовления количество вторичного воздуха меняется так же, как при транспортировании пыли с высокой концентрацией, а при сбросе в специальные сбросные сопла количество вторичного воздуха меняется так же, как общее количество организованного воздуха.
Необходимо отметить, что значения корректировки воздушного режима котла при изменении количества работающих систем пылеприготовления могут составлять по общему расходу организованного воздуха около 10 % и по вторичному воздуху около 20 %, т.е. достаточно заметные значения.
Корректировка режимной карты в части воздушного режима в зависимости от количества работающих систем пылеприготовления требуется и для котлов, оснащенных системами пылеприготовления прямого вдувания с MB, присосы в которые весьма значительны - часто около 60 %.
Примеры внесения корректировок в режимные карты в зависимости от количества работающих систем пылеприготовления рассмотрены в разд. 9.
8.1. Основными параметрами по организации режима работы котла на твердом топливе или его смеси с газом (мазутом) являются:
- нагрузка котла, температура пара высокого давления и пара промперегрева;
- количество работающих систем пылеприготовления для прямого вдувания - оптимальное и минимально необходимое;
- распределение организованно подаваемого в топку воздуха (первичного, вторичного, на сопла и т.п.);
- избыток воздуха;
- тонкость пыли;
- относительная загрузка горелок, в том числе в разных ярусах;
- доля каждого из одновременно сжигаемых твердых топлив или доля твердого топлива и газа (мазута).
При работе котла на газе или мазуте отпадают параметры, связанные с количеством систем пылеприготовления, тонкостью пыли, долей первичного воздуха.
Значение каждого параметра необходимо определить в зависимости от нагрузки, приняв, например, четыре ее значения - 100, 85, 70 и 60 % от номинальной.
8.2. Определяя программу испытаний, необходимо выявить возможность максимального сокращения экспериментальных работ. Для этого следует использовать имеющиеся материалы по аналогичным котлам или топливам.
Количество работающих систем пылеприготовления определяется, исходя из рекомендаций разд. 2 и 4, а распределение организованно подаваемого воздуха - разд. 3. Для уточнения этих рекомендаций следует на одной из нагрузок экспериментально выявить влияние перераспределения первичного, вторичного, третичного воздуха на экономические и экологические показатели, на температуру перегретого пара, интенсивность шлакования и др. Соответственно при работе на смеси топлив следует экспериментально выявить различия при сжигании твердого и газообразного топлива (мазута и газа) в одних и тех же или в разных горелках.
Оптимальный избыток воздуха при работе на твердом топливе можно экспериментально определить на одной из нагрузок (например, 0,8 ДНОМ) и на основании уравнений (2) и (1) пересчитать его на другие нагрузки, исходя из того, что действующий избыток воздуха аД постоянен, а
(3)
и
(4)
В этих уравнениях индекс «I» относится к искомой нагрузке, а индекс «э» - к нагрузке, при которой экспериментально определялись оптимальный избыток воздуха, а также присосы воздуха в топку (DаТ)э и в газоходы конвективных поверхностей до контрольного сечения (DаК.П.)э
Использованию указанных соотношений препятствует отсутствие простых и достаточно надежных экспериментальных способов определения величин DаТ и DаК.П.. В этих условиях может оказаться более простым нахождение оптимального избытка воздуха экспериментально при нескольких нагрузках.
При работе на чистом газе или мазуте оптимальный избыток воздуха достаточно точно определяется по моменту появления в дымовых газах оксидов углерода (СО). В эксплуатации рекомендуется пользоваться значением а, превышающим найденное на 0,02 - 0,03.
8.3. Определение оптимальной тонкости пыли имеет смысл лишь для систем пылеприготовления с промбункером, где режим работы мельниц и сепараторов можно организовать вне зависимости от режима работы топки.
Для котлов с системами пылеприготовления прямого вдувания с ММ и СМ, оснащенных центробежными (инерционными) сепараторами, для которых характерно изменение расхода первичного воздуха в функции производительности, приходится ограничиться экспериментальным определением тонкости пыли (положения створок сепаратора и расхода первичного воздуха) на одном режиме котла. Для этого предварительно должны быть проведены испытания одной из мельниц и найдены наиболее приемлемая при среднеэксплуатационной производительности вентиляция (определяется по совокупности условий сушки, скорости в пылепроводах и горелках, доли первичного воздуха, аэродинамического сопротивления, значения провала СМ); зависимость тонкости пыли, удельного расхода энергии на размол и сопротивления установки от положения створок сепаратора при среднеэксплуатационной производительности и найденной вентиляции.
Для котлов, оборудованных системами пылеприготовления прямого вдувания с ММ и шахтным сепаратором испытания мельницы ограничиваются выявлением взаимосвязи ее показателей с вентиляцией (скоростью в шахте). Испытания эти могут быть совмещены с испытанием топки по определению оптимальной тонкости пыли. Однако раздельное испытание мельницы и топки (с многими мельницами) упрощает работу.
Методика проведения испытаний мельниц изложена в [7].
8.4. При проведении испытаний котлов, оснащенных мельницами прямого вдувания, необходимо обеспечить одинаковый режим параллельно работающих систем пылеприготовления - одинаковую производительность (по высоте слоя топлива и частоте вращения питателей топлива), одинаковый расход первичного воздуха (горячего и слабонагретого), одинаковое положение створок сепаратора. Однако часто экспериментаторы в силу разного состояния мельниц, разного сопротивления тракта перед или за мельницей, истечения топлива из бункера неполным сечением и т.п. вместо поиска причин различий и их устранения нарушают единство режима мельниц. Например, при испытании котла с ММ с шахтным сепаратором вентиляция соседних (скорость в шахте) мельниц отличается в 1,5 - 2 раза. Очевидно, что получить в этих условиях представление об оптимальном режиме и о достижении КПД котла вряд ли возможно.
8.5. На котлах, оснащенных горелками с регулируемой круткой потока, регулируемым перераспределением воздуха между каналами и т.п., требуется на основе специальных опытов найти такое положение регулирующих органов, которое более всего подходило бы для всех нагрузок (режимов) работы котла. Очевидно, что поиск наилучшего положения требует учета многих факторов - нагрузки, экономичности, экологии, шлакования, температуры перегрева и др. При проведении опытов следует стремиться к тому, чтобы сохранились неизменными все другие параметры, характеризующие режим. Причем, если влияние, например, крутки потока заметно меняет показатели работы котла, опыты имеет смысл провести на нескольких нагрузках с тем, чтобы более точно найти искомое положение регулирующих органов.
8.6. Прямое измерение подачи твердого топлива в топку при существующем состоянии техники невозможно. Поэтому в режимных картах следует дать косвенные показатели, по которым можно судить о рассматриваемом параметре.
Для систем пылеприготовления прямого вдувания оптимальным является прямое измерение частоты вращения электродвигателей питателей топлива при известной высоте слоя топлива (см. п. 2.5.1) Некоторую информацию о величине подачи топлива может дать положение траверзы плоского контроллера или значение управляющего тока СБР.
Для систем пылеприготовления с промбункером, несмотря на меньшее постоянство подачи питателей пыли, следует также отразить в режимной карте прямые или косвенные данные о частоте вращения питателей, приняв за основу удовлетворительное состояние зазоров в них и средний уровень пыли в бункере.
Для котлов, работающих на газе и мазуте или на их смеси с твердым топливом, необходимо и возможно прямое измерение количества газомазутного топлива, особенно при сжигании этих топлив вместе с твердым, так как иначе трудно составить режимную карту.
8.7. На меньшие трудности при составлении режимных карт и при эксплуатации котлов доставляют измерения, связанные с распределением воздуха. Речь идет о вторичном, третичном воздухе, поскольку требования о необходимости измерения расхода первичного воздуха в случае использования систем пылеприготовления прямого вдувания с ММ и СМ [5] настолько очевидны, что не фиктивная режимная карта без этих измерений составлена быть не может.
Равномерное распределение вторичного, третичного (на сопла) воздуха без измерений возможно, если:
- на основании предварительных опытов найдены положения индивидуальных шиберов, соответствующие максимальному и одинаковому пропуску воздуха, а также минимальному пропуску, достаточному для охлаждения горелок (сопл). Эти положения – «полного» открытия и закрытия - следует зафиксировать с помощью механических и при наличии дистанционного управления электрических ограничителей;
- при эксплуатации котла индивидуальные шиберы используются только в двух указанных положениях;
- для изменения подачи воздуха на группу горелок или сопл установлены общие шиберы (обычно два - по одному с каждой стороны котла).
Приведенные условия относятся лишь к обеспечению без измерений равномерного распределения воздуха между горелками (соплами) одной группы. В свою очередь распределение воздуха между группами (например, между вторичным и третичным) без измерений расходов можно осуществить лишь в тех случаях, когда подача воздуха на эти параллельные потоки одинаковым образом должна изменяться в зависимости от нагрузки, количества работающих горелок и др. Если же это условие нарушается, необходимо измерение расхода или по крайней мере давления в общих коробах перед индивидуальными шиберами. Измерение давления менее представительно, так как оно, кроме расхода воздуха, зависит еще и от того, насколько четко работают индивидуальные шиберы, не изменилось ли сопротивление горелок вследствие шлакования или обгорания и т.п. В какой-то мере компенсировать этот недостаток могут дополнительные измерения давления воздуха после каждого из индивидуальных шиберов. Однако это значительно усложняет обслуживание приборов.
8.8. Общий расход воздуха на котел в современных проектах измеряется на стороне всасывания вентиляторов (до места врезки трубопроводов рециркуляции) и корректируется в зависимости от утечек воздуха в воздухоподогревателе и присосов в топке и газоходах (до места отбора газов на анализ) с помощью кислородомеров. На котлах с трубчатыми воздухоподогревателями, менее подверженными разуплотнению, сопротивление последних может в какой-то мере быть использовано (с периодической коррекцией из-за влияния утечек и рециркуляции воздуха) как замещающее измерение расхода во всасывающем коробе вентиляторов.
8.9. Давление воздуха за воздухоподогревателем в сочетании с положением (VII полного открытия) регулирующих шиберов на трактах вторичного, третичного воздуха позволяет косвенно судить о распределении воздуха по этим потокам.
8.10. Часто используемый в режимных картах показатель «амперная загрузка ДВ» большого значения не имеет, так как с его помощью трудно судить о количестве воздуха, поступающего в топку, - амперная загрузка зависит помимо этого от величины рециркуляции горячего воздуха на стороне всасывания ДВ, от степени прикрытия регулирующих шиберов первичного и вторичного воздуха.
8.11. Амперная загрузка дымососов определяет количество газов более определенно, чем вентиляторов. Зная содержание кислорода в контрольном сечении, по амперной загрузке можно судить о значениях присосов холодного воздуха после контрольного сечения, а в сочетании с указателем положения направляющего аппарата - о появлении дополнительных сопротивлений вследствие зашлаковки поверхностей нагрева или отложения золы в золоуловителях. Соответственно можно определить, когда может наступить ограничение паропроизводительности котла из-за нехватки тяги.
8.12. Температура дымовых газов в поворотной камере (в газоходе ближе всего расположенном в топке) дает информацию о размещении (по высоте топки) ядра факела, о большей или меньшей вероятности шлакования поверхностей нагрева на выходе из топки, о перекосах в температуре газов по ширине топки (для Т-образных котлов по ширине и глубине) и др. Для получения объективной информации, особенно при работе на шлакующих топливах, необходима установка нескольких достаточно заглубленных термопар (чем больше котел, тем требуется большее количество термопар). Установка термопар желательно с потолка поворотного газохода с тем, чтобы исключить их провисание при горизонтальном размещении; в качестве вторичного прибора желателен многоточечный регистратор.
8.13. Температура уходящих газов, обычно используемая в режимных картах, позволяет судить о степени загрязнения хвостовых поверхностей нагрева, значениях присосов холодного воздуха в топку и системы пылеприготовления, достаточности подогрева холодного воздуха для предупреждения коррозии воздухоподогревателя.
8.14. Контроль за работой поверхностей нагрева ведется на основе указаний режимной карты о температурах среды в контрольных точках пароперегревателей высокого давления и промежуточных пароперегревателей, включая температуру пара после впрысков. Весьма важны также указания по расходу конденсата на впрыски, положению клапанов регулирования температуры пара промперегрева.
В качестве объекта для составления примеров режимных карт принят котел энергоблока 210 МВт паропроизводительностью 670 т/ч с промежуточным пароперегревателем, предназначенный для работы:
1. На
кузнецком газовом угле марки ГРОК1 (
= 5000 ккал/кг, WP = 12,5 %) при твердом шлакоудалении. Схема пылеприготовления
с прямым вдуванием с шестью СМ или ММ с сушкой топлива горячим воздухом (300
°С). Для преодоления сопротивления систем пылеприготовления, пылепроводов и
горелок используются индивидуальные для каждой мельницы ВГД (см. рис. 4, в).
Установка вихревых горелок предполагается на боковых стенах в три яруса
(горелки каждого яруса одной стены подключены к одной мельнице). Выше третьего
яруса расположены сопла третичного дутья для уменьшения образования NОх.
1А. На кузнецком угле той же марки с тем же оборудованием, что и в примере 1, но с тем отличием, что для преодоления сопротивления тракта первичного воздуха применяются другие схемы управления воздушным трактом, когда напора ВГД недостаточно и в дополнение к нему используется напор ДВ, либо это сопротивление полностью преодолевается напором ДВ (см. рис. 4, а), либо для этой цели установлены ВПВ (см. рис. 4, б), а воздухоподогреватель выполнен разделенным на две части - для подогрева первичного и вторичного воздуха.
2. На
кузнецком угле марки 2ССРОК II
(
= 4000 ккал/кг, WP = 19 %). Схема пылеприготовления с промбункером
с двумя ШБМ с сушкой топлива дымовыми газами, отбираемыми с помощью ДРГ из
газохода за экономайзером (температура газов 350 °С). Траспортирование пыли в
топку горячим воздухом. Вихревые горелки (16 шт.) размещены встречно в два
яруса. Сушильный агент для уменьшения образования NОх введен в
горелки. Дополнительно для этой же цели выше горелок установлены сопла
третичного воздуха.
3. На
березовском буром угле (
= 3740 ккал/кг, WP = 33 %). Схема пылеприготовления с прямым
вдуванием с шестью MB. Сушка топлива топочными газами в смеси с газами,
забираемыми с помощью ДРГ из газохода за водяным экономайзером, и с горячим
воздухом. Горелки прямоточные, расположенные в три яруса по высоте от каждой
мельницы при тангенциальной схеме их размещения в квадратной топке.
4. На природном газе. Количество горелок и их размещение, как в примере 2. Для сокращения выбросов окислов азота в общий короб перед горелками вводятся с помощью ДРГ дымовые газы из газохода за экономайзером. Дополнительно для этой же цели выше горелок вводится воздух второй ступени для дожигания топлива.
4А. На мазуте при тех же условиях, что и на природном газе.
5. На смеси кузнецкого газового угля и природного газа на оборудовании примера 1.
6. На кузнецком угле марки 2 ССРОК II и природном газе на оборудовании примера 2.
9.2. Примеры составления режимных карт даются в предположении, что регулирование температуры пара высокого давления и пара промперегрева обеспечивается пароохладителями или другими устройствами. Соответственно для этой цели не требуется вмешательства в топочный режим, т.е. оптимизация последнего рассматривается только с позиций максимальной экономичности котла и максимального сокращения выбросов оксидов азота.
В соответствии с изложенным, параметры, включаемые в режимные карты, делятся на три группы:
1. Параметры назначения - нагрузка, давление и температура пара.
2. Параметры, определяющие режим подготовки, подачи и сжигания топлива.
3. Все остальные параметры, с помощью которых ведется контроль за состоянием котла.
В примерах режимных карт рассматривается подход к определению параметров второй группы. Параметры третьей группы должны указываться либо на основе проектных данных (температура пара в характерных точках пароперегревателей), либо на основе данных экспериментов при найденных в соответствии с рекомендациями раздела режимах работы котла.
Для того чтобы можно было учесть влияние температуры питательной воды, к режимной карте следует приложить графики:
- пересчета нагрузки котла при текущей tП.В.на нагрузку, соответствующую номинальному значению этой температуры (см. рис. 7);
- снижения температуры пара в пароохладителе (расхода воды на впрыск) в зависимости от нагрузки при разной температуре питательной воды (рис. 8).
Рис. 8. Необходимое дополнительное снижение температуры перегретого пара в пароохладителях при снижении температуры питательной воды и сохранении неизменного расхода пара.
При составлении примеров режимных карт принималась квадратичная связь сопротивления горелок воздуховодов к воздухоподогревателя в зависимости от расхода воздуха без учета изменения его температуры.
9.3. При составлении режимной карты к примеру t принимается следующее:
- расход топлива на номинальной нагрузке составляет 94,4 т/ч. На котле установлены шесть СМ номинальной производительностью по 20 т/ч с тем, чтобы пять мельниц могли обеспечить полную нагрузку;
- при номинальной производительности BНОМ удельный расход первичного воздуха должен составлять согласно существующей практике 1,4 нм3/кг (1,8 кг/кг) и при снижении производительности до 0,5 BНОМ - сокращаться не более чем до 0,75 QНОМ (рис. 9);
- передаточное отношение редукторов питателей топлива обеспечивает с запасом изменение производительности питателей в диапазоне 20 - 10 т/ч (см. рис. 9);
Рис. 9. Принятые зависимости расхода первичного воздуха СМ от их производительности; частоты вращения питателей угля и пыли от их производительности.
Суммарная производительность всех питателей пыли равна BK.
, где ![]()
- действующий избыток воздуха ад согласно п. 3.5 составляет 1,15. Присосы в топку при номинальной нагрузке - 0,2 и присосы в газоходы конвективных поверхностей до контрольного сечения - 0,05;
- скорость первичного воздуха на выходе из горелок согласно [1] находится на уровне 25 ± 3 м/с, тот же уровень скоростей в пылепроводах;
- скорость вторичного воздуха согласно [6] при номинальной нагрузке и работе оптимального числа (6) мельниц превышает скорость первичного воздуха в 1,4 раза и составляет 35 м/с;
- для уменьшения образования оксидов азота в сопла третичного воздуха в диапазоне нагрузок (1,0 - 0,8) Дном подается воздух в количестве 15 % от Qобщ при Дном. При меньшей нагрузке уровень NОх не требует подачи третичного воздуха;
- через горелки неработающих мельниц подается вторичный воздух в количестве 0,2 от работающих;
- температура горячего воздуха принята равной 300 °С, а холодного первичного – 30 °С;
- сопротивление тракта вторичного воздуха (от общего короба за общими регулировочными шиберами до топки) при номинальной нагрузке и работе систем пылеприготовления составляет 100 кгс/м2, а разрежение в топке на уровне горелок 25 кгс/м2;
- сопротивление тракта третичного воздуха (от короба за общими регулировочными шиберами до топки) составляет 70 кгс/м2, а разрежение в топке на уровне сопл - 15 кгс/м2;
- сопротивление воздухоподогревателя при номинальной нагрузке составляет 100 кгс/м2;
- сопротивление воздуховодов от воздухоподогревателя до общих коробов вторичного и третичного воздуха (включая сопротивление полностью открытых общих шиберов) составляет при номинальной нагрузке 25 кгс/м2.
На рис. 10 и 11 приведены в зависимости от нагрузки котла воздушный и топливный баланс, скоростной режим горелок, сопротивление тракта вторичного воздуха и избытки воздуха (организованно подаваемого в топку, «действующего» на выходе из топки и в контрольном сечении).
Рис. 10. Воздушный баланс и производительность мельниц (к режимной карте № 1):
--- минимальное количество систем пылеприготовления;
- оптимальное количество систем пылеприготовления.
Рис. 11. Избыток воздуха, скорости на выходе из горелок и сопротивление горело (к режимной карте № 1):
--- минимальное количество систем пылеприготовления;
- оптимальное количество систем пылеприготовления.
Из графиков видно, что при принятых условиях с уменьшением количества работающих мельниц значительно увеличивается сверх рекомендуемых значений соотношение скоростей вторичного и первичного воздуха. Кроме того, скорость вторичного воздуха и указанное соотношение быстро падают с уменьшением нагрузки. Эти обстоятельства заставляют при нагрузке около 0,8 ДНОМ (530 т/ч) прекратить подачу третичного воздуха и при этой же нагрузке уменьшить с 6 до 5 (с 5 до 4) количества работающих мельниц. Целесообразно перестройку режима (количество мельниц, подачу третичного воздуха) производить в регулировочном диапазоне нагрузок один раз одновременно.
Исходя из принятого условия, что оптимальной при номинальной нагрузке является работа 6 систем пылеприготовления, сокращение их количества более чем на единицу неприемлемо из-за чрезмерного роста скоростей и сопротивления тракта вторичного воздуха.
Режимная карта, отражающая изложенное, приведена в приложении 1. Согласно п. 9.1 относится она к установке, где напора ВГД достаточно для преодоления сопротивления систем пылеприготовления вне зависимости от режима работы ДВ.
9.4. Пример 1А относится к наиболее распространенным установкам, в которых напор ВГД либо недостаточен и приходится в некоторых режимах форсировать ДВ, либо ВГД вообще отсутствуют (см. рис. 4, а), либо, наконец, применена схема рис. 4, б, с ВПВ и раздельными воздухоподогревателями для первичного и вторичного воздуха.
В первых двух случаях приходится увеличивать давление за воздухоподогревателем, ориентируясь на положение н.а. ВГД или шиберов первичного воздуха, увеличивая степень открытия н.а. ДВ и прикрывая общие шиберы вторичного и третичного воздуха. При этом необходима некоторая зона нечувствительности н.а. ВГД или шиберов первичного воздуха (например 70 - 40 % полного открытия) с тем, чтобы ограничить частоту воздействия на н.а. ДВ и общие шиберы вторичного и третичного воздуха. При этом, учитывая возможное различие в сопротивлении параллельно работающих систем пылеприготовления (на одних системах пылеприготовления шиберы открыты более 70 %, на других - менее 40 %), предпочтение следует отдать тем, у которых сопротивление выше, либо несколько снизить их производительность.
В примечаниях к режимной карте в отличие от указанных данных в приложении 1 должно быть записано следующее:
«Давление воздуха за воздухоподогревателем определяется положением индивидуальных шиберов первичного воздуха (н.а. ВГД) и регулируется путем одновременного увеличения (уменьшения) степени открытия я.а. ДВ и уменьшения (увеличения) степени открытия общих шиберов вторичного и третичного воздуха. Индивидуальные шиберы (н.а. ВГД) должны преимущественно находиться в положении 70 - 40 % полного открытия».
Очевидно, что показатель «давление за воздухоподогревателем» должен быть из режимной карты исключен.
Осложнение в описанной ситуации возникает в связи с тем, что приходится управлять общими шиберами и вторичного, и третичного воздуха. Причем в некоторых режимах (см. рис. 11) сопротивление тракта вторичного воздуха меньше третичного, в других - наоборот. Соответственно требуется прикрывать шиберы того тракта, где меньше сопротивление и делать это в зависимости от нагрузки котла по разным законам. Очевидно, что реализовать такое управление, тем более без автоматических регуляторов, крайне сложно. В данном примере упростить управление можно, если отвод к общим воздуховодам третичного воздуха выполнить за общими шиберами вторичного воздуха. При этом расход третичного воздуха будет при номинальной нагрузке выше желаемого при 6 и 5 системах пылеприготовления на 17 и 50 % и при нагрузке 0,8 ДНОМ ниже желаемого на 52 и 15 %.
Для схемы с ВПВ и раздельными воздухоподогревателями положение н.а. ВПВ должно согласовываться с положением индивидуальных шиберов первичного воздуха. Положение последних так же, как и в предыдущих случаях, необходимо поддерживать в определенном диапазоне (например, 70 - 40 % от полного открытия). Кроме того, должен быть задан принцип перепуска части воздуха из первичного тракта во вторичный, когда имеется запас в напоре ВПВ. Необходимость перепуска части воздуха возникает из-за непостоянства доли первичного воздуха в зависимости от нагрузки и количества работающих систем пылеприготовления. Последнее, в свою очередь, сопровождается неполным использованием воздухоподогревателя на одном из потоков и ростом средневзвешенной температуры уходящих газов. По последнему показателю и следует определять количество перепускаемого воздуха.
9.5. При составлении режимной карты к примеру 2 принимается следующее:
расход топлива на котел при номинальной нагрузке составляет 118 т/ч. На котле установлены два ШБМ номинальной производительностью (с запасом 10 % согласно существующим Нормам) по 65 т/ч;
расход сушильного агента с температурой перед мельницей 350 °С и за мельницей 100 °С составляет по балансу сушки 2,2 кг/кг, или 93000 нм3/ч. Присосы в систему пылеприготовления составляют 30 %, или 28000 нм3/ч. На две системы пылеприготовления количество присосанного воздуха составляет 56000 нм3/ч (около 10 % при номинальной нагрузке от теоретически необходимого расхода воздуха);
котел оснащен 16 питателями пыли. В диапазоне нагрузки котла 670 - 400 т/ч возможно сохранение в работе всех питателей с достаточным запасом в обе стороны для регулирования;
действующий избыток воздуха аД составляет 1,15, присосы в топке при номинальной нагрузке 0,2, а в газоходы конвективных поверхностей нагрева до контрольного сечения - 0,05;
количество первичного (горячего) воздуха для траспортирования пыли в топку согласно [6] в долях от теоретически необходимого для горения при номинальной нагрузке - 20 %;
скорость первичного воздуха на выходе из горелок согласно [6] составляет 25 м/с. На этом же уровне находится скорость в пылепроводах;
скорость вторичного воздуха на выходе из горелок при номинальной нагрузке превышает скорость первичного воздуха в 1,4 раза и составляет 35м/с;
сушильный агент сбрасывается в топку через горелки;
для уменьшения образования оксидов азота в диапазоне нагрузок 1,0 - 0,8 Дном подается третичный воздух в количестве 10 % от Qобщ при номинальной нагрузке;
сопротивление тракта вторичного воздуха составляет при номинальной нагрузке 100 кгс/м2 и тракта третичного воздуха 70 кгс/м2. Разрежение в топке на уровне горелок 25 кгс/м2 и на уровне сопл третичного дутья - 15 кгс/м2. Сопротивление воздуховодов от воздухоподогревателя до точки разделения коробов вторичного и третичного воздуха при номинальной нагрузке - 25 кгс/м2. Сопротивление воздухоподогревателя - 100 кгс/м2;
давление в общем коробе первичного воздуха при номинальной нагрузке - 300 кгс/м2.
При снижении нагрузки расход воздуха и скорости в пылепроводах остаются постоянными, а сопротивление пылепроводов и горелок изменяется согласно уравнению [1]:
,
где m - концентрация пыли в транспортирующем воздухе.
При номинальной нагрузке и работе всех горелок m = 0,72 кг/кг, т.е.
кгс/м2;
где
;
.
Воздушный и топливный баланс к примеру 2 приведен на рис. 12, избыток воздуха, скорости на выходе из горелок и их сопротивление - на рис. 13, а режимная карта - в приложении 2. Из приведенных материалов видно, что одна система пылеприготовления должна находиться в работе при всех нагрузках, а другая подключаться периодически в зависимости от запаса пыли в промбункере. Очевидно, что для сокращения частоты пусков и остановов второй системы пылеприготовления следует максимально заполнять бункер пыли перед остановом и максимально возможно по условиям стабильного истечения пыли опорожнять его.
Рис. 12. Воздушный и топливный баланс (к режимной карте № 2):
_____ в работе 2 мельницы;
------ в работе 1 мельница
Рис. 13. Избыток воздуха, скорости на выходе из горелок и сопротивление горело (к режимной карте № 2):
____ в работе 2 ШБМ;
------ в работе 1 ШБМ
Несколько меняется при изменении количества работающих систем пылеприготовления воздушный баланс, так как сокращаются присосы воздуха в систему пылеприготовления. Эти присосы, хотя и участвуют в процессе горения, однако влияют на скорость воздуха на выходе из горелок, их сопротивление и использование воздухоподогревателя для охлаждения дымовых газов.
Более существенно, чем изменяется нагрузка, меняется доля вторичного воздуха, в результате чего скорости этого воздуха на выходе из горелок быстро падают при сокращении нагрузки, значительно отличаясь от рекомендуемых значений [6]. Очевидно, экспериментально следует выявить, насколько при этом ухудшаются экономические и экологические показатели. Выявить это, однако, можно лишь отключив часть горелок, что также не оптимально.
В данном примере рассматриваются однопоточные по вторичному воздуху горелки. Применение двухпоточных и отключение при малых расходах воздуха одного из каналов позволило бы приблизить соотношение скоростей первичного и вторичного воздуха к рекомендуемому значению на большем диапазоне нагрузок.
Следует отметить, что при применении схемы с транспортом пыли с высокой концентрацией доля вторичного воздуха существенно (при малых нагрузках примерно на 30 %) увеличивается. Соответственно не так резко уменьшаются при снижении нагрузки скорости этого воздуха на выходе из горелок.
При принятых условиях давление вторичного воздуха при снижении нагрузки быстро падает и становится меньше давления третичного воздуха. При наличии общих шиберов вторичного воздуха различие в сопротивлении параллельных ветвей компенсируется прикрытием этих шиберов. Последнее указано (ориентировочно) в режимной карте.
Избыток организованного воздуха, показанный на рис. 13, включает присосы в систему пылеприготовления. В свою очередь приведенный в режимной карте расход воздуха перед вентиляторами дан за вычетом присосов.
9.6. При составлении режимной карты к примеру 3 принимаем следующее:
при работе 6 MB на номинальной нагрузке для организации бесшлаковочного режима обеспечивается рециркуляция в зону основного горения дымовых газов в количестве 30 % (топочные газы с температурой 900 °С из верхней части топки плюс «холодные» газы с температурой 350 °С из газохода за экономайзером, подаваемые ДРГ). Кроме того, обеспечивается возможность присадки горячего воздуха, исходя из обеспечения доли воздуха в первичной смеси вместе с присосами при номинальной нагрузке на уровне 30 % от Vо. При соблюдении указанных условий размольная производительность мельницы составляет 30 т/ч (расход топлива на котел при номинальной нагрузке 129 т/ч). Содержание кислорода в пылегазовой смеси за мельницей не должно превышать 16 % (в расчете на сухие газы);
температура за мельницей поддерживается в диапазоне 120 ¸ 220 °С за счет изменения присадки горячего воздуха, количества «холодных» газов (при пониженных нагрузках) и за счет изменения количества работающих MB;
максимальное количество газов от подаваемых ДРГ составляет 20 % количества газов, выделяющихся от сгорания топлива при номинальной нагрузке;
присосы холодного воздуха составляют 30 % количества газов перед мельницей;
горелки от каждой мельницы установлены в три яруса. Вторичный воздух подводится через самостоятельные окна под некоторым углом в плане к первичной смеси с тем, чтобы задержать процесс горения и уменьшить выход оксидов азота. Поэтому выше горелок подвод третичного воздуха не предусматривается;
скорость вторичного воздуха на выходе из горелок составляет при номинальной нагрузке и работе 6 систем пылеприготовления 50 м/с, скорость первичной смеси 15 м/с;
при номинальной нагрузке сопротивление горелок по вторичному воздуху составляет, 100 кгс/м2, сопротивление подводящих воздуховодов от воздухоподогревателя - 25 кгс/м2, сопротивление воздухоподогревателя - 100 кгс/м2, разрежение в топке на уровне горелок - 25 кгс/м2;
в холодную воронку через специальные сопла подводится горячий воздух (нижнее дутье) для дожигания сепарирующихся крупных фракций пыли. Количество воздуха на нижнее дутье - 10 % номинального значения - сохраняется неизменным при всех нагрузках. Скорость на выходе из сопл - 50 м/с, сопротивление сопл - 100 кгс/м2, сопротивление подводящих воздуховодов - 50 кгс/м2. Разрежение в холодной воронке - 40 кгс/м2;
действующий избыток воздуха аД = 1,15. Присосы в топке - 0,2. Избыток организованно подаваемого в топку воздуха при номинальной нагрузке, включая присосы в системы пылеприготовления и половину присосов в топку, - 1,05;
при отключении мельниц шиберы вторичного воздуха на отключенные горелки остаются в полностью открытом положении;
передаточное отношение редукторов питателей топлива обеспечивает с запасом изменение производительности питателей в диапазоне 20 ¸ 30 т/ч.
В приложении 3 и на рис. 14 и 15 приведены режимная карта к рассматриваемому примеру и основные режимные показатели в зависимости от нагрузки котла.
Рис. 14. .Воздушный баланс и производительность мельниц (к режимной карте № 3):
----- минимальное количество систем пылеприготовления;
____ оптимальное количество систем пылеприготовления
Рис. 15. Избыток воздуха, скорости на выходе из горелок и сопротивление горелок (к режимной карте № 3):
----- минимальное количество систем пылеприготовления;
___ оптимальное количество систем пылеприготовления
Воздушный баланс и количество работающих мельниц определены в соответствии с принятыми условиями - доля рециркуляции газов в ядро горения при номинальной нагрузке 30 %, количество «холодных» газов от ДРГ не более 20 % (обе цифры в долях от полного количества газов, выделяющихся от сгорания топлива), доля воздуха в первичной смеси (вместе с присосами в системы пылеприготовления и газовый тракт котла) - 30 %.
Оптимальным при номинальной нагрузке является режим при работе всех 6 систем пылеприготовления с последующим сокращением их количества при нагрузках 600, 530 и 460 т/ч до 5, 4 и 3. При нагрузках 670 - 600 и 600 - 530 т/ч возможна эксплуатация котла на 5 и 4 системах пылеприготовления.
Недостатком режимов с уменьшенным количеством находящихся в эксплуатации систем пылеприготовления является сокращение избытка воздуха в работающих горелках, так как подача вторичного воздуха на отключенные горелки не уменьшается. Последнее вызвано необходимостью сохранения центрального в плане положения ядра факела при тангенциальном размещении горелок. Соответственно с уменьшением нагрузки падают скорости вторичного воздуха на выходе из горелок при примерно постоянных скоростях первичной смеси. Последнее определяется относительно небольшим изменением вентиляционной производительности MB (см. рис. 6).
Сокращение скоростей вторичного воздуха по мере снижения нагрузки уменьшает тангенциальную составляющую струй, выходящих из горелок, и может привести к набросу факела на экраны. В этой связи следует экспериментально сравнить режимы с полностью открытыми шиберами вторичного воздуха на неработающие горелки и режимы с сокращением пропуска воздуха через эти горелки, например, до 20 % полного.
При принятых сопротивлениях горелок по вторичному воздуху и сопл нижнего дутья, а также сопротивлениях подводящих воздуховодов практически во всех режимах (кроме режима с полной нагрузкой и работой 5 MB) давление за воздухоподогревателем определяется трактом подачи воздуха на сопла нижнего дутья. В этих условиях необходимо поддерживать постоянное давление воздуха за воздухоподогревателем, что можно выполнить лишь общими дроссельными шиберами вторичного воздуха. При отсутствии таких шиберов эффективность сопл нижнего дутья существенно снизится, так как скорость на выходе из них при снижении нагрузки будет падать с 50 до 30 м/с, а сепарация крупных фракций пыли из-за снижения температуры в топке лишь увеличится.
Избыток воздуха в контрольном сечении дан с учетом присосов холодного воздуха в системы пылеприготовления, а расход воздуха перед дутьевыми вентиляторами за вычетом этих присосов.
9.7. Пример 4 относится к работе котла на природном газе
При составлении режимной карты к этому примеру принимаются следующие условия:
возможный диапазон нагрузок котла 1,0 ¸ 0,4 Дном. Для обеспечения приемлемой температуры пара при снижении нагрузки котла применяемая для сокращения выбросов оксидов азота подача газов рециркуляции в горелки не сокращается, составляя при всех нагрузках 20 % количества дымовых газов при Дном. Для этой же цели при нагрузках меньше 0,6 Дном действующий избыток воздуха увеличивается с 1,05 до 1,45;
для уменьшения образования оксидов азота в дополнение к рециркуляции газов во вторую ступень горения в диапазоне нагрузок 1,0 ¸ 0,7 Дном подается воздух в количестве 15 % от организованного при Дном;
при номинальной нагрузке присосы воздуха в топку - 0,2, а в газоходы до контрольного сечения - 0,05;
по условиям давления газа и воздуха (смеси воздуха с газами от ДРГ) перед горелками имеется возможность сохранять в работе во всем диапазоне нагрузок все горелки;
скорость воздуха в смеси с газами от ДРГ на выходе из горелок при Дном составляет 60 м/с; скорость на выходе из сопл второй ступени - 50 м/с; сопротивление горелок и сопл при указанных скоростях соответственно 200 и 100 кгс/м2; разрежение в топке на уровне горелок - 25 кгс/м2, на уровне сопл - 15 кгс/м2; сопротивление подводящих воздуховодов к горелкам - 50 кгс/м2; сопротивление воздухоподогревателя при номинальной нагрузке - 100 кгс/м2.
Режимная карта и графики, характеризующие изменение основных режимных параметров, приведены в приложении 4 и на рис. 16 и 17.
При принятых условиях, если давление газа за регулирующим клапаном при Дном составляет 0,4 кгс/м2, то при нагрузке 270 т/ч оно снижается до 0,065 кгс/см2, что достаточно надежно может быть измерено.
Рис. 16. Воздушный баланс, давление природного газа за регулирующим клапаном при работе всех горелок (к режимной карте № 4)
Рис. 17. Избыток воздуха, скорости на выходе из горелок и сопл и их сопротивление (к режимной карте № 4)
Давление воздуха (смеси воздуха и газов рециркуляции) сравнительно мало изменяется и также не может препятствовать сохранению в работе всех горелок во всем диапазоне нагрузок.
В связи с тем, что сопротивление тракта подачи воздуха на сопла второй ступени меньше сопротивления тракта подачи воздуха на горелки, шиберы на последние полностью открыты. При уменьшении нагрузки и прикрытии направляющих аппаратов ДВ требуется лишь постепенно открывать общие шиберы подачи воздуха на сопла.
Производительность дымососов рециркуляции при всех нагрузках сохраняется постоянной. Однако из-за снижения давления перед горелками по мере уменьшения нагрузки направляющие аппараты ДРГ должны постепенно прикрываться. Целесообразность ввода в топку постоянного количества газов рециркуляции должна быть подтверждена экспериментально. Вполне вероятно, что при больших нагрузках количество газов рециркуляции может быть уменьшено как по условиям поддержания температуры пара, так и по условиям сокращения образования оксидов азота.
9.8. Режимная карта котла, работающего на мазуте (пример 4А), принципиально ничем не отличается от описанной в предыдущем примере. Изменяются лишь данные, характеризующие подачу природного газа, на соответствующие данные по подаче мазута. Здесь в случае применения паромеханических форсунок также можно обеспечить работу котла на всех горелках во всем диапазоне нагрузок.
9.9. При составлении режимной карты для работы котла на смеси твердого топлива и газа (мазута) может быть несколько вариантов в зависимости от следующих факторов:
какое из двух топлив является базовым (топливо, расход которого постоянен), а какое переменным;
каково абсолютное количество базового топлива в т/ч (м3/ч) или в соответствующей этому количеству выработке пара в т/ч;
постоянно или переменно количество базового топлива в течение суток, месяца, года.
При совместном сжигании газа с твердым топливом, как правило, базовым является газ из-за определенного лимита на его расходование. Меняется лишь абсолютное значение этого определенного лимита на его расходование. Меняется лишь абсолютное значение этого лимита. Оно может быть больше в летние месяцы, в ночные часы. Изложенное требует составления режимной карты на несколько значений расхода газа. Например, для рассматриваемого котла базовый расход газа соответствует паропроизводительности 300, 200 и 100 т/ч (расход газа 24, 16 и 8 тыс. м3/ч). Оставшаяся нагрузка котла покрывается сжиганием твердого топлива. Кроме того, должны быть рассмотрены режимы работы котла только на твердом топливе и, если это предусматривается, только на газе, т.е. требуется определить режимы работы на всех нагрузках котла для каждого из пяти (включая нулевой) расходов газа. При совместном сжигании мазута с твердым топливом базовым в силу высокой стоимости мазута является твердое топливо. Количество его определяется возможностями систем пылеприготовления - числом исправных систем, максимальной их производительностью, а также качеством твердого топлива. Соответственно режимная карта составляется для разного количества работающих систем пылеприготовления в расчете на твердое топливо среднего качества. Кроме того, даются указания по корректировке режима при изменении качества топлива.
9.10. Совместное сжигание твердого топлива с газом или мазутом при использовании пылегазомазутных горелок затруднено необходимостью обеспечения, во-первых, работы всех или максимально возможного количества горелок с выравненным по возможности топливовыделением и, во-вторых, необходимостью обеспечения во всех горелках примерно одинакового избытка воздуха. В свою очередь последнее связано с необходимостью поддержания меньшего давления вторичного воздуха перед горелками, сжигающими твердое топливо, куда подается первичный воздух, по сравнению с горелками, где сжигаются газ или мазут, т.е. на последние индивидуальные шиберы должны быть полностью открыты, а на горелки, куда подается твердое топливо, эти шиберы по мере снижения нагрузки должны все более и более прикрываться. Однако при отсутствии измерения расхода воздуха на каждую горелку или на группу горелок одной мельницы выравнять можно не расходы, а степень открытия шиберов, что далеко не одно и то же. Тем не менее с этим приходиться мириться.
Следует также учитывать значительное увеличение сопротивления воздушного тракта от воздухоподогревателя до топки при повышенных пропусках вторичного воздуха через горелки, работающие на газе, причем тем большее, чем больше относительная загрузка этих горелок.
Альтернативными решениями являются:
работа котла без выравнивания избытков воздуха по горелкам. При этом индивидуальные шиберы вторичного воздуха полностью открыты на все горелки, а избытки воздуха на горелках, куда подается твердое топливо, будет много больше избытков на горелках, где сжигается газ. Недостатком такого решения являются большие выбросы оксидов азота, так как повышенный избыток воздуха сопровождает в первую очередь процесс горения твердого топлива, содержащего более высокое количество азота;
одновременно сжигание газа и твердого топлива на всех горелках с одинаковым количеством вторичного воздуха, поступающего в каждую горелку. Недостатком такого решения в случае оснащения котла системами пылеприготовления прямого вдувания является необходимость поддержания в эксплуатации всех систем пылеприготовления, в том числе на низких производительностях по твердому топливу, т.е. с повышенным расходом электроэнергии на размол и пневмотранспорт. Кроме того, вероятны ограничения, связанные с недопустимым снижением давления газа перед горелками, особенно при относительно небольших долях газа в общем тепловыделении.
Резюмируя изложенное, приходим к выводу, что при установке на котле систем пылеприготовления прямого вдувания за основу в организации режима работы топки должен быть принят вариант с раздельным сжиганием твердого и газообразного топлива и с выравненными избытками воздуха по горелкам. Отказаться от выравнивания избытка воздуха можно лишь в тех случаях, когда экспериментально подтверждена малая польза от этого в части выбросов NОх и экономичности. Кроме того, помешать использованию этого варианта может нехватка напора ДВ.
9.11. В соответствии с изложенным рассмотрим пример составления режимной карты (приложение 5) при совместном сжигании кузнецкого угля ГРОК1 и газа в котле, оснащенном системами пылеприготовления прямого вдувания. Учитывая многообразие вариантов по доле сжигаемого газа, рассмотрим режимы, при которых на котле постоянно сжигается газ в количестве, соответствующем паропроизводительности котла 200 т/ч (30 % при номинальной нагрузке). Сохраняем условия, принятые для работы этого котла только на твердом топливе (см. п. 9.3); избытки воздуха в диапазоне нагрузок 670 - 400 т/ч; взаимосвязь расхода первичного воздуха с производительностью мельниц (см. рис. 9); сечение горелок по первичному и вторичному воздуху и сечение сопл третичного дутья и др.
Помимо изложенного, принимаем ту же взаимосвязь давления газа за регулирующим клапаном с расходом газа (при работе всех горелок), что и для котла, работающего только на газе (см. п. 9.7, рис. 16).
Учитывая стабильность процесса горения при сжигании газа, возможный диапазон нагрузок котла расширяем с 400 до 270 т/ч. Соответственно при нагрузках, меньших 400 т/ч, для обеспечения температуры перегретого пара доводим избыток воздуха до значений, принятых для газа. Кроме того, как и при сжигании газа, подаем газы рециркуляции: при нагрузках 270 - 400 т/ч в том же количестве (140 тыс. нм3/ч), а диапазоне нагрузок 400 - 530 в половинном объеме (рис. 18). Газы рециркуляции подмешиваем ко всему вторичному воздуху, т.е. они поступают пропорционально количеству этого воздуха и в горелки, работающие на природном газе и на пыли.
Рис. 18. Избыток воздуха, воздушный баланс (к режимной карте № 5)
Третичный воздух для снижения образования оксидов азота подаем как и при сжигании угля, только в диапазоне нагрузок 670 - 530 т/ч в количестве 15 % потребного при Дном.
Сжигание газа в принятом количестве позволяет организовать работу котла в диапазоне нагрузок 670 - 530 т/ч на четырех мельницах и соответственно на двух группах газовых горелок1, при нагрузке 530 - 400 т/ч на трех мельницах и трех группах газовых горелок, при нагрузках 400 - 270 т/ч на двух мельницах и четырех группах газовых горелок (рис. 19).
1 Группой горелок называем горелки, подключенные к одной мельнице.
Другие варианты работы мельниц и газовых горелок возможны, но не оптимально по загрузке мельниц, давлению газа перед горелками, скоростям на выходе из горелок.
При составлении воздушного баланса исходим из того, что в газовых горелках можно иметь избыток воздуха меньше, чем в горелках, работающих на пыли. Принимаем аорг = 0,95, как и в примере 4, т.е. при всех нагрузках вне зависимости от количества включенных газовых горелок требуется подавать на них 150 тыс. нм3/ч воздуха.
Рис. 19. Производительность мельниц, давление газа за регулирующим клапаном, скорости на выходе из горелок и давление вторичного и третичного воздуха перед горелками (к режимной карте № 5)
Долю первичного воздуха определяем в соответствии с количеством работающих мельниц и графиками рис. 19 и 9. Вычитая из оставшегося количества третичный воздух, получаем количество вторичного воздуха, приходящееся на горелки, работающие на пыли (см. рис. 18). При работе четырех мельниц особенно при нагрузках 600 - 530 т/ч этого количества воздуха становится недостаточно для поддержания рекомендуемых соотношений скоростей вторичного и первичного воздуха. Однако до экспериментальной проверки принятые условия приходится сохранять с тем, чтобы не иметь частых изменений количества работающих систем пылеприготовления и газовых горелок.
Скорости вторичного воздуха на выходе из газовых горелок много больше, чем из пылевых, Этим в большинстве случаев определяется потребное давление вторичного воздуха, т.е. индивидуальные шиберы вторичного воздуха перед газовыми горелками должны быть всегда открыты полностью, а перед пылевыми - в большинстве режимов прикрыты. Исключением из этого являются некоторые нагрузки (заштрихованные участки при нагрузках 350 - 400 и 480 - 530 т/ч), при которых скорости на выходе из пылевых горелок несколько выше, чем из газовых. При этих нагрузках следовало бы несколько увеличить долю воздуха, подаваемого на газовые горелки, с тем, чтобы выравнять сопротивления газовых и пылевых горелок.
В режимной карте (см. приложение 5) это и показано. Из нее видно, что для управления подачей в топку воздуха приходится управлять индивидуальными шиберами вторичного воздуха и общими шиберами третичного воздуха. В условиях отсутствия измерения расхода воздуха на каждый из параллельных потоков управление по положению шибера во многом исключает, желаемое распределение. Несколько облегчает задачу измерение давления воздуха за регулирующими шиберами. Соответствующие значения этих давлений приведены в режимной карте.
9.12. Очевидно, что режимная карта должна быть составлена на несколько значений расходов газа. Выше на это указывалось. В данном примере при расходе газа, соответствующем паропроизводительности котла не 200, а 100 т/ч, претерпят изменения следующие параметры:
количество работающих систем пылеприготовления (целесообразно увеличить на одну систему и частота вращения питателей топлива;
количество групп газовых горелок (целесообразно уменьшить на одну группу) и давление газа;
количество первичного воздуха, количество воздуха, поступающего в газовые горелки, количество вторичного воздуха, поступающего в пылеугольные горелки,
скорости вторичного воздуха на выходе из горелок и давление этого воздуха. Давление воздуха за воздухоподогревателем. Степень открытия шиберов вторичного и третичного воздуха;
температуры по пароводяному тракту, расходы воды на впрыски и т.п.;
температуры по газовому тракту;
экономические и экологические показатели.
9.13. Режим работы котла, оснащенного системой пылеприготовления с промбункером, при одновременном сжигании каменного угля и газа отличается от режима, описанного в предыдущем примере, возможностью организовать совместное сжигание обоих видов топлива в одних и тех же горелках. Это облегчает управление подачей в топку топлива и воздуха. Однако из-за ограничений по снижению частоты вращения питателей пыли осуществить описанный режим можно лишь в диапазоне нагрузок 670 - 460 т/ч (рис. 20, приложение 6). Определяя верхнее значение скорости питателей пыли, было принято, что при работе котла с полной нагрузкой при 16 питателях только на угле эта скорость не должна превышать примерно 1500:1,2 об/мин.
При нагрузках 460 - 330 т/ч количество горелок, работающих на угле, сокращается до 8. А в остальных горелках сжигается газ. При нагрузках 330 - 270 т/ч угольная пыль подается только на 4 горелки, а газ - на те же 8 горелок. Четыре горелки в этом диапазоне нагрузок отключены.
Для того, чтобы давление газа за регулирующим клапаном при его подаче на 16 горелок не было чрезвычайно низким, исходим из того, что при полном открытии клапана это давление составляет 0,8 кгс /см2, а не 0,4, как в примере 4, т.е. соответственно должно быть изменено выходное сечение газовых горелок.
Производительность мельницы, как и в примере 2, сохраняем на уровне 65 т/ч. Учитывая изменение нагрузки в течение суток и наличие запаса пыли в промбункере, принимаем, что в работе будет находиться максимум одна система пылеприготовления, так как ее производительности будет недостаточно лишь в диапазоне нагрузок 580 ¸ 670 т/ч (см. рис. 20). Подключение другой системы пылеприготовления в этом диапазоне нагрузок потребует лишь некоторого сокращения подачи вторичного воздуха из-за удвоения присосов в системы пылеприготовления.
Подачу третичного воздуха сохраняем, как и в примере 2, а газов рециркуляции и избытки воздуха, как в примере 5.
Практически во всем диапазоне нагрузок сохраняется приемлемое соотношение скоростей вторичного воздуха (смеси с газами рециркуляции, когда они подаются) и смеси первичного воздуха с пылью. Давление вторичного воздуха и за воздухоподогревателем при снижении нагрузки несколько увеличивается.
Рис. 20. Изменение режимных показателей в зависимости от нагрузки при совместном сжигании каменного угля и газа в котле, освещенном системами пылеприготовления с промбункером (к режимной карте № 6)
|
Наименование параметра |
Обозначение |
Размерность |
Нагрузка котла (м/ч) и количество работающих систем пылеприготовления |
||||||||||||
|
400 |
460 |
530 |
600 |
670 |
|||||||||||
|
4 |
5 |
4 |
5 |
4 |
5 |
5 |
6 |
5 |
6 |
5 |
6 |
||||
|
1. Пароводяной тракт |
|
||||||||||||||
|
1.1. Давление перегретого пара за котлом |
Рпе |
кгс/см2 |
|
|
|
|
|
|
|
|
|
|
|
|
|
|
1.2. Температура перегретого пара высокого давления |
tпе |
°С |
|
|
|
|
|
|
|
|
|
|
|
|
|
|
1.3. Температура пара промперегрева |
tппе |
°С |
|
|
|
|
|
|
|
|
|
|
|
|
|
|
1.4. Температура по пароводяному тракту котла и по промежуточному пароперегревателю в местах, определяющих надежность работы поверхностей нагрева |
t |
°С |
|
|
|
|
|
|
|
|
|
|
|
|
|
|
1.5. Снижение температуры пара (расход воды на впрыск) в пароохладителях каждой ступени |
|
|
|
|
|
|
|
|
|
|
|
|
|
|
|
|
1.6. Степень открытия устройств, регулирующих температуру пара промперегрева |
|
|
|
|
|
|
|
|
|
|
|
|
|
|
|
|
2. Топливный тракт и тракт первичного воздуха |
|
||||||||||||||
|
2.1. Частота вращения электродвигателей (УП плоского контроллера, управляющий ток СБР) питателей топлива |
n |
об/мин |
780 |
620 |
890 |
715 |
1020 |
825 |
690 |
920 |
780 |
1030 |
870 |
||
|
2.2. Расход первичного воздуха на одну мельницу (перепад на дроссельном устройстве) |
Qпер |
тыс. нм3/ч |
24 |
22 |
25,5 |
23 |
27 |
24,5 |
23 |
26 |
24 |
27,5 |
25 |
||
|
3. Воздушный тракт, избыток воздуха в дымовых газах |
|
||||||||||||||
|
3.1. Расход воздуха на котел (перепад на дроссельном устройстве на стороне всасывания вентиляторов) |
Qобщ |
тыс. нм3/ч |
300 |
360 |
420 |
480 |
550 |
||||||||
|
3.2. Перепад давлений на воздухоподогревателе |
DРвп |
кгс/м2 |
30 |
43 |
58 |
76 |
100 |
||||||||
|
3.3. Содержание О2 и избыток воздуха в контрольном сечении (за первой поверхностью нагрева в опускном газоходе) |
|
%/- |
6/1,4 |
5,8/1,38 |
5,6/1,35 |
5,2/1,33 |
4,8/1,3 |
||||||||
|
3.4. Давление воздуха за воздухоподогревателем (при достатке напора ВГД) |
Р²ВП |
кгс/м2 |
80 |
40 |
125 |
65 |
185 |
110 |
70 |
70 |
90 |
75 |
150 |
100 |
|
|
3.5. Давление в общем коробе третичного воздуха за общими (регулирующими) шиберами |
Ртрет |
кгс/м2 |
-15 |
-15 |
-15 |
55 |
55 |
55 |
|||||||
|
3.6. Степень открытия общих шиберов третичного воздуха |
УПтрет |
% |
0 |
0 |
0 |
100 |
100 |
100 |
|||||||
|
3.7. Давление в общем коробе вторичного воздуха за общими дроссельными шиберами |
Ркг |
кгс/м2 |
70 |
30 |
110 |
50 |
160 |
90 |
40 |
15 |
70 |
40 |
125 |
75 |
|
|
3.8. Количество работающих дутьевых вентиляторов |
n |
шт. |
1 |
1 |
1 |
2 |
2 |
2 |
|||||||
|
4. Газовый тракт |
|
||||||||||||||
|
4.1. Температура газов в поворотной камере |
Тпк |
°С |
|
|
|
|
|
|
|
|
|
|
|
|
|
|
4.2. Температура уходящих газов |
Тух |
°С |
|
|
|
|
|
|
|
|
|
|
|
|
|
|
4.3. Разрежение за первой поверхностью нагрева в опускном газоходе |
S |
кгс/м2 |
|
|
|
|
|
|
|
|
|
|
|
|
|
|
4.4. Разрежение за воздухоподогревателем |
S²вп |
кгс/м2 |
|
|
|
|
|
|
|
|
|
|
|
|
|
|
4.5. Разрежение на стороне всасывания дымососов |
S¢дым |
кгс/м2 |
|
|
|
|
|
|
|
|
|
|
|
|
|
|
4.6. Количество работающих дымососов |
n |
шт. |
|
|
|
|
|
|
|
|
|
|
|
|
|
|
4.7. Ток, потребляемый электродвигателями дымососов |
Iдым |
А |
|
|
|
|
|
|
|
|
|
|
|
|
|
|
5. Экономические и экологические показатели котла |
|
||||||||||||||
|
5.1. Содержание горючих в уносе |
|
% |
|
|
|
|
|
|
|
|
|
|
|
|
|
|
5.2. Потери тепла с механической неполнотой сгорания |
q4 |
% |
|
|
|
|
|
|
|
|
|
|
|
|
|
|
5.3. Потери тепла с уходящими газами |
q2 |
% |
|
|
|
|
|
|
|
|
|
|
|
|
|
|
5.4. КПД брутто котла |
|
% |
|
|
|
|
|
|
|
|
|
|
|
|
|
|
5.5. Содержание NOх в дымовых газах (приведенное к а = 1,4) |
NOх |
мг/нм3 |
|
|
|
|
|
|
|
|
|
|
|
|
|
Примечания:
1. Режимная карта составлена применительно к номинальной температуре
питательной воды. При пониженной температуре значения Дк, принятые в
режимной карте, корректируются согласно графику
при разных значениях
. Аналогично
согласно графику
корректируется величина снижения температуры
пара в пароохладителе.
2. Температура за мельницей поддерживается на уровне 100 - 130 °С, а температура на входе в воздухоподогреватель - 30 °С.
3. Разрежение в верху топки поддерживается на 1 - 2 кгс/м2 больше значения, при котором происходят выбросы дымовых газов через неплотности потолка топки.
4. Режимная карта составлена для среднеэксплуатационных
характеристик топлива (
); присосов
холодного воздуха в топку, конвективные поверхности нагрева и газоходы;
загрязнений топочных и конвективных поверхностей нагрева.
5. Для шлакующих топлив в режимной карте должны быть даны указания по периодичности и продолжительности включения аппаратов очистки поверхностей нагрева.
|
Наименование параметра |
Обозначение |
Размерность |
Нагрузка котла (м/ч) и количество работающих систем пылеприготовления |
|||||||||||||||
|
400 |
460 |
530 |
600 |
670 |
||||||||||||||
|
2 |
1 |
2 |
1 |
2 |
1 |
2 |
1 |
2 |
1 |
2 |
1 |
|||||||
|
1. Пароводяной тракт |
|
|||||||||||||||||
|
1.1. Давление перегретого пара за котлом |
Рпе |
кгс/см2 |
|
|
|
|
|
|
|
|
|
|
|
|
||||
|
1.2. Температура перегретого пара высокого давления |
tпе |
°С |
|
|
|
|
|
|
|
|
|
|
|
|
||||
|
1.3. Температура пара промперегрева |
tппе |
°С |
|
|
|
|
|
|
|
|
|
|
|
|
||||
|
1.4. Температура по пароводяному тракту котла и по промежуточному пароперегревателю в местах, определяющих надежность работы поверхностей нагрева |
t |
°С |
|
|
|
|
|
|
|
|
|
|
|
|
||||
|
1.5. Снижение температуры пара (расход воды на впрыск) в пароохладителях каждой ступени. |
|
|
|
|
|
|
|
|
|
|
|
|
|
|
||||
|
1.6. Степень открытия устройств, регулирующих температуру пара промперегрева |
|
|
|
|
|
|
|
|
|
|
|
|
|
|
||||
|
2. Топливный тракт и тракт первичного воздуха |
|
|||||||||||||||||
|
2.1. Управляющий ток СБР(УП плоского контроллера) питателей топлива |
|
|||||||||||||||||
|
2.2. Давление в общем коробе первичного воздуха |
Рперв |
кгс/см2 |
220 |
240 |
260 |
280 |
300 |
|||||||||||
|
2.3. Температура пылевоздушной смеси перед горелками |
t¢гор |
°С |
|
|
|
|
|
|||||||||||
|
3. Воздушный тракт, избыток воздуха в дымовых газах |
|
|||||||||||||||||
|
3.1. Расход воздуха на котел (перепад на дроссельном устройстве на стороне всасывания вентиляторов) |
Qобщ |
тыс. нм3/ч |
250 |
275 |
305 |
330 |
370 |
400 |
370 |
400 |
430 |
460 |
495 |
520 |
||||
|
3.2. Перепад давлений на воздухоподогревателе |
DРвп |
кгс/м2 |
25 |
30 |
40 |
45 |
55 |
65 |
55 |
65 |
75 |
85 |
100 |
110 |
||||
|
3.3. Содержание О2 и избыток воздуха в контрольном сечении (за первой поверхностью нагрева в опускном газоходе) |
|
%/- |
6/1,4 |
5,8/1,38 |
5,6/1,35 |
5,2/1,33 |
4,8/1,3 |
|||||||||||
|
3.4. Давление воздуха за воздухоподогревателем |
Р²ВП |
кгс/м2 |
0 |
5 |
20 |
30 |
50 |
65 |
70 |
70 |
75 |
75 |
100 |
115 |
||||
|
3.5. Давление в общем коробе третичного воздуха за общими шиберами |
Ртрет |
кгс/м2 |
-15 |
-15 |
-15 |
55 |
55 |
55 |
||||||||||
|
3.6. Степень открытия общих шиберов третичного воздуха |
УПтрет |
% |
0 |
0 |
0 |
100 |
100 |
100 |
||||||||||
|
3.7. Степень открытия общих шиберов вторичного воздуха |
УПвтор |
% |
100 |
100 |
100 |
60 |
65 |
75 |
85 |
|
100 |
|||||||
|
3.8. Давление в общем коробе вторичного воздуха за общими дроссельными шиберами |
Рвт |
кгс/м2 |
-5 |
0 |
10 |
20 |
40 |
50 |
10 |
20 |
40 |
50 |
75 |
90 |
||||
|
3.9. Количество работающих дутьевых вентиляторов |
n |
шт. |
1 |
1 |
1 |
2 |
2 |
2 |
||||||||||
|
4. Газовый тракт |
|
|||||||||||||||||
|
4.1. Температура газов в поворотной камере |
Тпк |
°С |
|
|
|
|
|
|
|
|
|
|
|
|
||||
|
4.2. Температура уходящих газов |
Тух |
°С |
|
|
|
|
|
|
|
|
|
|
|
|
||||
|
4.3. Разрежение за первой поверхностью нагрева в опускном газоходе |
S |
кгс/м2 |
|
|
|
|
|
|
|
|
|
|
|
|
||||
|
4.4. Разрежение за воздухоподогревателем |
S²вп |
кгс/м2 |
|
|
|
|
|
|
|
|
|
|
|
|
||||
|
4.5. Разрежение на стороне всасывания дымососов |
S¢дым |
кгс/м2 |
|
|
|
|
|
|
|
|
|
|
|
|
||||
|
4.6. Количество работающих дымососов |
n |
шт. |
|
|
|
|
|
|
|
|
|
|
|
|
||||
|
4.7. Ток, потребляемый электродвигателями дымососов |
Iдым |
А |
|
|
|
|
|
|
|
|
|
|
|
|
||||
|
5. Экономические и экологические показатели котла |
|
|||||||||||||||||
|
5.1. Содержание горючих в уносе |
|
% |
|
|
|
|
|
|
|
|
|
|
|
|
||||
|
5.2. Потери тепла с механической неполнотой сгорания |
q4 |
% |
|
|
|
|
|
|
|
|
|
|
|
|
||||
|
5.3. Потери тепла с уходящими газами |
q2 |
% |
|
|
|
|
|
|
|
|
|
|
|
|
||||
|
5.4. КПД брутто котла |
|
% |
|
|
|
|
|
|
|
|
|
|
|
|
||||
|
5.5. Содержание NOх в дымовых газах (приведенное к а = 1,4) |
NOх |
мг/нм3 |
|
|
|
|
|
|
|
|
|
|
|
|
||||
Примечания:
1. Режимная карта составлена применительно к номинальной температуре
питательной воды. При пониженной температуре значения Дк, принятые в
режимной карте, корректируются согласно графику (ДК)t = f
(ДК)НОМ при
разных значениях tП.В.. Аналогично
согласно графику
корректируется величина снижения температуры
пара в пароохладителе.
2. Температура за мельницей поддерживается на уровне 100 - 130 °С, а температура на входе в воздухоподогреватель - 30 °С.
3. Разрежение в верху топки поддерживается на 1 - 2 кгс/м2 больше значения, при котором происходят выбросы дымовых газов через неплотности потолка топки.
4. Режимная карта составлена для
среднеэксплуатационных характеристик топлива (
); присосов
холодного воздуха в топку, конвективные поверхности нагрева и газоходы;
загрязнений топочных и конвективных поверхностей нагрева.
5. Для шлакующих топлив в режимной карте должны быть даны указания по периодичности и продолжительности включения аппаратов очистки поверхностей нагрева