Указания распространяются на цифровые импульсные вольтметры с пределами допускаемой погрешности 0,5-25 %, выпускаемые в соответствии с требованиями ГОСТ 22261-76 и другой технической документации.
| Обозначение: | РД 50-347-82 |
| Название рус.: | Методические указания. Вольтметры цифровые импульсные. Методы и средства поверки |
| Статус: | действует |
| Дата актуализации текста: | 05.05.2017 |
| Дата добавления в базу: | 01.09.2013 |
| Дата введения в действие: | 01.01.1984 |
| Утвержден: | 05.09.1982 Государственный комитет СССР по стандартам (USSR National Committee on Standards 3090) |
| Опубликован: | Издательство стандартов (1983 г. ) |
| Ссылки для скачивания: |
ГОСУДАРСТВЕННЫЙ КОМИТЕТ СССР ПО СТАНДАРТАМ
МЕТОДИЧЕСКИЕ УКАЗАНИЯ
ВОЛЬТМЕТРЫ
ЦИФРОВЫЕ ИМПУЛЬСНЫЕ.
МЕТОДЫ И СРЕДСТВА ПОВЕРКИ
РД 50-347-82
Москва
ИЗДАТЕЛЬСТВО СТАНДАРТОВ
1983
РАЗРАБОТАН Государственным комитетом СССР по стандартам
ИСПОЛНИТЕЛИ
А.М. Федоров, канд. техн. наук (руководитель темы), А.Т. Лопарева
ВНЕСЕН Государственным комитетом СССР по стандартам
Член Госстандарта Л.К. Исаев
УТВЕРЖДЕН И ВВЕДЕН В ДЕЙСТВИЕ Постановлением Государственного комитета СССР по стандартам от 5 августа 1982 г. № 3090
РУКОВОДЯЩИЙ НОРМАТИВНЫЙ ДОКУМЕНТ
|
Вольтметры цифровые импульсные. Методы и средства поверки |
РД Введены впервые |
Утверждены Постановлением Госстандарта от 5 августа 1982 г. № 3090; срок действия установлен с 01.01.1984 г. до 01.01.1988 г.
Настоящие методические указания распространяются на цифровые импульсные вольтметры (далее - вольтметры) с пределами допускаемой погрешности 0,5 - 25 %, выпускаемые в соответствии с требованиями ГОСТ 22261-76 и другой технической документации, и устанавливают методы и средства их первичной и периодической поверок.
1.1. При проведении поверки выполняют следующие операций:
внешний осмотр (п. 4.1);
опробование (п. 4.2);
определение метрологических характеристик (п. 4.3).
2.1. При проведении поверки применяют следующие средства поверки.
2.1.1. Поверочные установки или образцовые приборы для поверки вольтметров (многозначные меры напряжения), приведенные в табл. 1.
2.1.2. Образцовые вольтметры и образцовые делители напряжения, приведенные в табл. 2.
2.1.3. Регулируемый источник постоянного напряжения с нестабильностью и пульсацией выходного напряжения источника за время измерения не более 0,1 от предела допускаемой основной погрешности поверяемого прибора (например, типов В1-8, В1-13, В1-7).
|
Вид напряжения |
Разряд образцовых средств измерения |
Диапазон напряжения, V |
Диапазон частот, Hz |
Диапазон длительностей импульсов, μs |
Пределы допускаемых погрешностей, % |
|
|
B1-8 |
Постоянное |
|
|
|
|
|
|
|
Переменное |
II разряд по ГОСТ 8.072-82 |
1 · 10-5 - 300 |
45, 400, 1000 |
- |
|
|
B1-12 |
Постоянное |
III - IV разряды по ГОСТ 8.027-81 |
1 · 10-4 - 1000 |
- |
- |
± (0,005 - 0,02) |
|
B1-7 |
То же |
III разряд по ГОСТ 8.027-81 |
1 · 10-4 - 1000 |
- |
- |
± (0,003 - 0,005) |
|
B1-13 |
» |
III - IV разряды по ГОСТ 8.027-81 |
1 · 10-4 - 1000 |
- |
- |
± (0,005 - 0,01) |
|
B1-9 |
Переменное |
II разряд по ГОСТ 8.184-76 |
1 · 10-4 - 100 с Я1В-22 до 1000 |
20 - 1 · 105 |
- |
± (0,02 - 0,2) |
|
B1-15 |
То же |
II разряд по ГОСТ 8.072-82 |
3 · 10-3 - 3 |
3 · 107 - 109 |
- |
± (0,5 - 6) |
|
B1-16 |
» |
II разряд по ГОСТ 8.072-82 |
1 · 10-4 - 3 |
10 - 5 · 107 |
- |
± (0,2 - 3) |
|
B1-5 |
Импульсное |
II разряд по ГОСТ 8.072-82 |
0,1 - 100 |
0,1 - 1000 |
1 - 1000 |
± (0,5 - 1,25) |
|
И1-7 (формирователь импульсов) |
То же |
II разряд по ГОСТ 8.072-82 |
0,01 - 10 |
20 - 100 |
3 · 10-3 - 0,3 |
±1 |
|
Г5-75 (Г5-53) (генератор импульсов) |
» |
II разряд по ГОСТ 8.072-82 |
0,01 - 10 |
1 - 1 · 106 |
0,3 - 1 · 106 |
± (1 - 3) |
|
Вид напряжения |
Разряд образцовых средств измерения |
Диапазон напряжений, V; коэффициент деления; ослабление, dВ |
Диапазон частот, Hz |
Диапазон длительностей импульсов, μs |
Пределы допускаемых погрешностей, %; класс точности |
|
|
В7-28 |
Постоянное |
III - IV разряды по ГОСТ 8.027-81 |
1 · 10-6 - 1000 |
- |
- |
кл. 0,03 / 0,005 |
|
В3-49 (В3-24) |
Переменное |
II разряд по ГОСТ 8.072-82 |
0,02 - 100 |
20 - 1 · 109 |
- |
± (0,2 - 2,5) |
|
В4-11 |
Импульсное, импульсно-модулированное |
II разряд по ГОСТ 8.072-82 |
1 - 150 |
20 - 1 · 109 |
0,01 - 25 · 103 |
± (0,2 - 4) |
|
Делитель напряжения Р-35 |
Постоянное |
- |
Коэффициент деления 10; 100; 1000 |
- |
- |
кл. 0,005 |
|
Д1-13 |
То же. |
- |
Ослабление |
0 - 6,5 · 106 |
- |
± (0,1 - 0,6) |
|
(АСО-ЗМ) |
Переменное |
|
0 - 90 |
6,5 · 106 - 35 · 106 |
|
± (0,6 - 2,5)* |
|
ДНВ-5 |
То же |
- |
20 |
0 - 1 · 109 |
- |
± (0,4 - 1)** |
|
ДНВ-6 |
» |
- |
40 |
0 - 1 · 109 |
- |
± (0,4 - 1)** |
* При индивидуальной аттестации по МИ 209-80.
** При индивидуальной аттестации по МИ 210-80.
2.1.4. Регулируемый источник переменного напряжения (генератор сигналов), обеспечивающий поверку вольтметра во всем диапазоне напряжений и частот, с нестабильностью выходного напряжения за время измерения не более 0,1 от предела допускаемой погрешности поверяемого вольтметра и с коэффициентом гармоник не более 0,2 от предела допускаемой погрешности поверяемого вольтметра. В случае превышения установленного предела коэффициента гармоник необходимо использовать фильтры, например, типов ФРФ-1, ФР-3, ФНЧ-25-1.
В качестве регулируемого источника переменного напряжения применяют, например, приборы типов Г3-102, Г4-117, Г4-143, В1-8, В1-9, B1-15, B1-16.
2.1.5. Регулируемый источник импульсного напряжения (генератор импульсов), обеспечивающий поверку вольтметра во всем диапазоне напряжений и временных параметров импульсов (частот повторения, длительностей импульсов, скважностей). Параметры искажений импульса (выброс на вершине, неравномерность вершины, длительность фронта) должны соответствовать требованиям технической документации поверяемого и образцового средств измерений.
В качестве источника импульсного напряжения применяют, например, приборы типов Г5-63, Г5-66, Г5-72.
2.2. Поверяемые установки и многозначные меры напряжения должны удовлетворять требованиям, приведенным в пп. 2.1.3, 2.1.4, 2.1.5 настоящих методических указаний.
2.3. Соотношение погрешностей образцового средства измерения и поверяемого вольтметра должно быть не более 1:3. В случае использования образцового вольтметра и образцового делителя арифметическая сумма их погрешностей не должна превышать 1/3 погрешности поверяемого вольтметра.
Если в технической документации на поверяемый вольтметр указано или потребителем оговорено конкретное значение критерия качества поверки, то выбор соотношения погрешностей образцового средства измерения и поверяемого вольтметра производится в соответствии с п. 1.5 МИ 118-77.
2.4. При поверке применяют и другие средства поверки, преимущественно автоматизированные, с аналогичными метрологическими характеристиками и удовлетворяющие требованиям п. 2.3 настоящих методических указаний.
2.5. Используемые образцовые средства измерений должны иметь действующие документы о поверке (или метрологической аттестации).
3.1. При проведении поверки должны соблюдаться нормальные условия, указанные в ГОСТ 22261-76 и в технической документации поверяемого вольтметра.
3.2. Подготовку к работе средств поверки и доверяемого вольтметра и работу с ними проводят в соответствии с методикой, изложенной в технической документации на них.
3.3. Основные технические характеристики ряда вольтметров, подлежащих поверке по настоящим методическим указаниям, приведены в справочном приложении 1.
4.1. Внешний осмотр
4.1.1. При проведении внешнего осмотра устанавливают соответствие поверяемого вольтметра следующим требованиям.
4.1.1.1. Поверяемый вольтметр должен быть укомплектован всем необходимым для проведения поверки из комплекта вольтметра, включая техническое описание и инструкцию по эксплуатации.
4.1.1.2. Вольтметр не должен иметь повреждений цифрового отсчетного устройства, а также повреждений регулировочных и соединительных элементов, корпуса и т.п., влияющих на нормальную работу прибора.
4.2. Опробование
4.2.1. При опробовании вольтметра выполняют следующие операции.
Включают поверяемый вольтметр в сеть питания и выдерживают его в течение времени установления рабочего режима. Далее проверяют возможность всех предварительных подстроек и регулировок вольтметра, указанных в его технической документации. Затем на вход вольтметра подают напряжение от одного из источников, указанных в пп. 2.1.3, 2.1.4 и 2.1.5. Регулируя напряжение источника, проверяют возможность работы вольтметра на всех диапазонах измерения напряжения и при каждом из предусмотренных в его технической документации режимов работы. Кроме того, на одном из диапазонов измерения напряжения проверяют исправность отсчетного устройства. Для этого, плавно регулируя напряжение источника, проверяют возможность включения в каждом из разрядов всех оцифрованных значений, а также включения других символов (например, полярность, единица измерения, запятая и т.д.), если они в вольтметре предусмотрены.
4.3. Определение метрологических характеристик
4.3.1. Определение основной погрешности вольтметра при измерении постоянного напряжения.
4.3.1.1. Основную погрешность при измерении постоянного напряжения определяют только для тех вольтметров, которые предназначены для измерения этого вида напряжения.
4.3.1.2. Основную погрешность вольтметра определяют, используя установки для поверки вольтметров (например, типов В1-7, В1-12, В1-13) или образцовые цифровые вольтметры постоянного тока (например, типа В7-28), образцовые делители постоянного напряжения (например, типа Р35) и регулируемые источника постоянного напряжения, указанные в п. 2.1.3 настоящих методических указаний.
4.3.1.3. При использовании установок типов В1-7, В1-12, В1-13 поверяемый вольтметр подключают непосредственно к поверочной установке, а при использовании образцового вольтметра, образцового делителя и источника постоянного напряжения приборы соединяют по одной из структурных схем, приведенных на рис. 1 - 3.
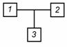
Рис. 1. Схема поверки вольтметра при использовании образцового вольтметра:
1 - источник напряжения; 2 - образцовый вольтметр; 3 - поверяемый вольтметр
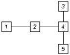
Рис. 2. Схема поверки при использовании образцового делителя и образцового вольтметра при Uп > Uо:
1 - источник напряжения; 2 - образцовый делитель напряжения; 3 - образцовый вольтметр; 4 - поверяемый вольтметр
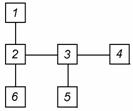
Рис. 3. Схема поверки при использовании образцового делителя и образцового вольтметра при Uп < Uо:
1 - источник напряжения; 2 - образцовый делитель напряжения; 3 - поверяемый вольтметр; 4 - образцовый вольтметр
Структурные схемы, приведенные на рис. 2 и 3, применяют в зависимости от соотношения диапазонов измерения напряжения поверяемого (Uп) и образцового (Uо) вольтметров. В случае применения образцового делителя напряжения его выходное сопротивление Rвых, Ω, не должно превышать значения, определяемого по формуле
где Rвх - входное сопротивление вольтметра, подключаемого к выходу образцового делителя, Ω; δ - предел допускаемой относительной погрешности поверяемого вольтметра, %.
Если выходное сопротивление делителя превышает указанное выше значение, то допускается введение поправки.
4.3.1.4. Основную погрешность вольтметра при измерении постоянного напряжения определяют по МИ 118-77.
4.3.1.5. На основном диапазоне измерения напряжения основную погрешность вольтметра определяют при следующих значениях напряжения: (1 - 0,9) Uк; (0,8 - 0,7) Uк; (0,6 - 0,4) Uк; (0,3 - 0,2) Uк; (0,1 - 0,05) Uк (Uк - конечное значение диапазона измерения).
На дополнительных диапазонах измерения напряжения основную погрешность определяют при значении напряжения (1 - 0,9) Uк.
За основной принимают диапазон измерения напряжения, на котором производят калибровку вольтметра. В случае отсутствия калибровки вольтметра за основной принимают диапазон с наименьшим пределом основной допускаемой погрешности, или любой диапазон измерения, если пределы основных допускаемых погрешностей вольтметра одинаковы на всех диапазонах измерения.
4.3.1.6. Основную погрешность вольтметра определяют как при положительной, так и при отрицательной полярности.
4.3.1.7. При использовании поверочных установок погрешность поверяемого вольтметра определяют непосредственно по одной из шкал отсчета погрешности в процентах или по результатам сличения показаний поверяемого вольтметра и поверочной установки.
При использовании средств поверки в соответствии со структурными схемами, приведенными на рис. 1 - 3, погрешность поверяемого вольтметра определяют по результатам сличения показаний поверяемого и образцового средств измерений.
Относительную основную погрешность при поверке вольтметра, %, рассчитывают по формулам:
для структурной схемы, приведенной на рис. 1,
для структурной схемы, приведенной на рис. 2,
![]()
для структурной схемы, приведенной на рис. 3,
![]()
где Uп - показания поверяемого вольтметра, V; Uо - показания образцового вольтметра, V; Кд - коэффициент деления образцового делителя; Кп = 1 / Кд - коэффициент передачи образцового делителя.
4.3.1.8. Полученные значения погрешности не должны превышать значений допуска контроля, определяемого по п. 1.5 МИ 118-77 с учетом требований п. 2.3 настоящих методических указаний.
4.3.2. Определение погрешностей вольтметра при измерении переменного напряжения
4.3.2.1. Погрешности вольтметра (основная в нормальной и погрешность в рабочей областях частот) при измерении переменного напряжения определяют только у тех вольтметров, которые предназначены для измерения этого вида напряжения.
4.3.2.2. Погрешности вольтметра определяют, используя установки для поверки электронных вольтметров (например, типов В1-9, B1-15, B1-16) или образцовые вольтметры переменного тока (например, типов В3-49 или В3-24), образцовые делители напряжения (например, типов Д1-13, ДНВ-5, ДНВ-6) и регулируемые источники переменного напряжения, указанные в п. 2.1.4 настоящих методических указаний. При использовании образцового вольтметра, образцового делителя напряжения и источника переменного напряжения приборы соединяют по одной из структурных схем, приведенных на рис. 1 - 3. Структурные схемы, приведенные на рис. 2 и 3, выбирают в зависимости от соотношения диапазонов измерения поверяемого и образцового вольтметров.
Для обеспечения переменного напряжения с допускаемым коэффициентом гармоник используют фильтры (например, типов ФРФ-1, ФР-3, ФНЧ-25-1).
Активное выходное сопротивление Rвых, Ω, делителя напряжения не должно превышать значения, определяемого по формуле
где Rвх - активное входное сопротивление вольтметра, подключаемого к выходу образцового делителя, Ω; δ - предел допускаемой относительной погрешности поверяемого вольтметра, %.
Если входное сопротивление вольтметра, подключаемого к образцовому делителю, имеет реактивную составляющую за счет входной электрической емкости, то выходное сопротивление образцового делителя Rвх, Ω, не должно превышать значения, определяемого по формуле
![]()
где f - частота, на которой производят поверку вольтметра, MHz; С - входная электрическая емкость поверяемого вольтметра, pF. Если выходное сопротивление делителя превышает указанное выше значение, то допускается введение поправки.
4.3.2.3. Погрешность определяют при частоте градуировки (если она указана в технической документации) и при значениях частот, соответствующих началу и концу нормальной и рабочей областей частот поверяемого вольтметра при значениях напряжения (1 - 0,9) Uк каждого диапазона измерения напряжения.
Примечание. Если вольтметр не был поверен по п. 4.3.1 настоящих МУ, то его погрешность определяют дополнительно по методике пп. 4.3.1.4, 4.3.1.5 на частоте градуировки (если она указана в технической документации) или на одной из частот нормальной области (минимальной или максимальной).
4.3.2.4. Относительную погрешность вольтметра в процентах рассчитывают по формулам, приведенным в п. 4.3.1.7 настоящих методических указаний.
4.3.2.5. Полученные значения погрешностей не должны превышать значения допуска контроля, определяемого по п. 1.5 МИ 118-77 с учетом требований п. 2.3 настоящих методических указаний.
4.3.3. Определение погрешностей вольтметра при измерении импульсного (видеоимпульсного) напряжения.
4.3.3.1. Погрешности вольтметра (основную в нормальной и погрешность в рабочей областях временных параметров импульсов) определяют методом сравнения его показаний с показаниями поверочной установки или многозначной меры импульсного напряжения (например, типов В1-5, Г5-75, И1-7), или с показаниями образцового вольтметра (например, типа В4-11) и образцового делителя напряжения (например, типов Д1-13, ДНВ-5; ДНВ-6).
4.3.3.2. В обоснованных случаях применяют другие методы поверки вольтметров при условии согласования и утверждения их в установленном порядке с органами государственной метрологической службы.
4.3.3.3. Структурные схемы соединения приборов для поверки вольтметров приведены на рис. 4 - 8.
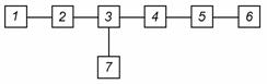
Рис. 4. Схема соединения приборов при использовании формирователя импульсов типа И1-7:
1 - источник постоянного напряжения; 2 - формирователь импульсов типа И1-7; 3 - коаксиальный измерительный электрический соединитель (из комплекта поверяемого вольтметра); 4 - коаксиальная согласованная нагрузка; 5 - поверяемый вольтметр; 6 - цифровой вольтметр постоянного тока
Рис. 5. Схема соединения приборов при использовании генератора импульсов типа Г5-75 (Г5-53):
1 - генератор импульсов типа Г5-75 (Г5-53); 2 - коаксиальная согласованная нагрузка (из комплекта генератора Г5-75 или Г5-53); 3 - коаксиальный измерительный электрический соединитель (из комплекта поверяемого вольтметра); 4 - поверяемый вольтметр
Рис. 6. Схема соединения приборов при использовании установки типа В1-5:
1 - установка типа В1-5; 2 - коаксиальный измерительный электрический соединитель; 3 - поверяемый вольтметр
Рис. 7. Схема соединения приборов при использовании образцового импульсного вольтметра:
1 - генератор импульсов; 2 - нагрузка генератора импульсов; 3 - образцовый вольтметр; 4 - коаксиальный измерительный электрический соединитель (из комплекта образцового вольтметра); 5 - поверяемый вольтметр
Рис. 8. Схема соединения приборов при использовании образцового импульсного вольтметра и образцового делителя:
1 - генератор импульсов; 2 - согласующее устройство; 3 - коаксиальный измерительный электрический соединитель (из комплекта образцового вольтметра); 4 - образцовый делитель напряжения; 5 - коаксиальный измерительный электрический соединитель (из комплекта поверяемого вольтметра); 6 - поверяемый вольтметр; 7 - образцовый вольтметр
4.3.3.4. Погрешность вольтметра определяют в нормальной и рабочей областях временных параметров импульсов (если они указаны) при наименьшем и наибольшем значениях временных, параметров импульсов этих областей при значениях напряжения. (0,9 - 1) Uк всех диапазонов измерения. При этом при каждом значении напряжения измерения проводят при всех следующих сочетаниях временных параметров:
![]()
![]()
![]()
где τ - длительность импульса; F - частота повторения; Q - скважность.
Рассчитанные значения F, τ и Q не должны выходить за пределы данной нормальной (рабочей) области этих параметров.
Если какое-либо из рассчитанных значений параметров F, τ и Q выйдет за пределы данной нормальной (рабочей) области (или в других обоснованных случаях), то данное сочетание заменяют на два следующим образом:



где F, τ и Q - любые значения параметров, не выходящие за пределы данной нормальной (рабочей) области.
Если одно из предельных значений временных параметров не указано в технической документации, то его определяют из соотношений
![]()
![]()
Примечание. Если вольтметр не был предварительно поверен по пп. 4.3.1, 4.3.2 настоящих методических указаний, то погрешность его должна быть определена дополнительно при значениях напряжения, указанных в. п. 4.3.1.5 при одном из сочетаний временных параметров нормальной области.
4.3.3.5. Погрешность вольтметра определяют как при положительной, так и при отрицательной полярностях импульсов.
4.3.3.6. Относительную погрешность поверяемого вольтметра, %, рассчитывают по формулам:
для структурной схемы рис. 4

для структурных схем рис. 5 - 7
для структурной схемы рис. 8
![]()
где Uп - показания поверяемого вольтметра, V; Uо - показания образцового средства измерения, V; Кп - коэффициент передачи образцового делителя напряжения, равный 1/Кд.
4.3.3.7. Полученные значения погрешности не должны превышать значения допуска контроля, определяемого по п. 1.5 МИ 118-77 в соответствии с требованием п. 2.3 настоящих методических указаний.
4.3.4. Определение погрешностей вольтметра при измерении импульсно-модулированного (радиоимпульсного) напряжения.
4.3.4.1. Погрешность вольтметра в режиме измерения радиоимпульсного напряжения обеспечивается определением погрешностей вольтметра при измерении переменного и импульсного напряжений по методике пп. 4.3.2 и 4.3.3 настоящих методических указаний.
4.3.5. Перед проведением каждого измерения проверяют электрическую установку нуля вольтметра и калибровку, если они предусмотрены для данного вольтметра.
4.3.6. Форма протокола поверки приведена в обязательном приложении 2.
5.1. Вольтметры, прошедшие поверку с положительными результатами, признают годными к выпуску в обращение и применению.
5.2. Положительные результаты поверки оформляют следующим образом.
5.2.1. Результаты государственной поверки вольтметра оформляют выдачей свидетельства по установленной форме или их клеймением. При необходимости на оборотной стороне свидетельства или в аттестате (паспорте) приводят результаты поверки вольтметра, подписанные поверителем.
5.2.2. Результаты ведомственной поверки вольтметров оформляют в порядке, установленном ведомственной метрологической службой.
5.3. Вольтметры, прошедшие поверку с отрицательными результатами, к выпуску в обращение и применению не допускаются. При этом выдают извещение о непригодности с указанием причин.
Справочное
|
Вид измеряемого напряжения |
Диапазон напряжения, V |
Пределы измерения, V |
Частота, Hz |
Длительность импульса, μs |
Скважность |
Пределы допускаемой погрешности, % |
||
|
В4-7 |
Постоянное |
1 - 150 |
1 - 15 |
- |
- |
- |
|
|
|
10 - 150 |
||||||||
|
Переменное |
1 - 130 |
1 - 15 |
20 - 1 · 105 |
- |
- |
|
||
|
10 - 130 |
||||||||
|
Видеоимпульсное |
1 - 150 |
1 - 15 |
10 - 4 · 104 |
более 0,5 |
- |
|
||
|
10 - 150 |
|
0,1 - 0,5 |
|
|
||||
|
В4-13 |
Постоянное |
0,1 - 150 |
0,1 - 15 |
- |
- |
- |
|
|
|
10 - 150 |
||||||||
|
Переменное |
0,1 - 130 |
0,1 - 15 |
10 - 1 · 105 |
- |
- |
|
||
|
10 - 130 |
||||||||
|
Видеоимпульсное |
0,1 - 150 |
0,1 - 15 |
10 - 1 · 106 |
более 0,5 |
- |
|
||
|
10 - 150 |
0,1 - 0,5 |
|
||||||
|
В4-17 |
Постоянное |
- |
- |
- |
- |
- |
- |
|
|
Переменное |
- |
- |
- |
- |
- |
- |
||
|
Видеоимпульсное |
0,1 - 100 |
0,1 - 1 |
0 - 100 |
0,2 - 1000 |
> 100 |
± (1,5 - 5) |
||
|
с делителем 100 - 1000 |
1 - 10 |
|||||||
|
10 - 100 |
||||||||
|
100 - 1000 |
||||||||
|
В4-20 |
Постоянное |
0 - 30 с делителем 0 - 300 |
0,3; 1; 3; 10; 30; 100; 300 |
- |
- |
- |
± (0,4 - 3) |
|
|
Переменное |
0 - 13 с делителем 0 - 130 |
0,3; 1; 3; 10; 30; 100; 300 |
10 - 5 · 107 |
- |
- |
± (0,4 - 20) |
||
|
Видеоимпульсное |
0 - 25 с делителем 0 - 250 |
0,3; 1; 3; 10; 30; 100; 300 |
10 - 5 · 107 |
0,02 - 0,5 |
- |
± (1 - 20) |
||
|
|
0,5 - 5 · 104 |
|
± (0,4 - 2) |
|||||
Обязательное
ПРОТОКОЛ №поверки импульсного цифрового вольтметра типа ________________ № ____________________ , представленного ___________________________________ (наименование организации) Результаты поверки Применяемые средства поверки __________________________________________________________________________ ___________________________________________________________________________ Определение погрешностей импульсного цифрового вольтметра
Выводы________________________________________________________________ _________________________________________________________________________ Поверку проводил: И. О. Фамилия (подпись) «______» ______________ 19______ г. |
СОДЕРЖАНИЕ