Стандарт распространяется на однокомпонентные электродинамические испытательные вибрационные установки , предназначенные для создания вибрации в вертикальном и (или) горизонтальном направлениях, и на функционально законченные их составные части, изготовляемые как самостоятельно, так и в составе установки.
| Обозначение: | ГОСТ 25051.4-83* |
| Название рус.: | Установки испытательные вибрационные электродинамические. Общие технические условия |
| Статус: | действующий |
| Дата актуализации текста: | 01.10.2008 |
| Дата добавления в базу: | 01.02.2009 |
| Дата введения в действие: | 01.07.1984 |
| Разработан: | Госстандарт СССР |
| Утвержден: | Госстандарт СССР (12.07.1983) |
| Опубликован: | Издательство стандартов № 1983<br>ИПК Издательство стандартов № 2003 |
ГОСТ 25051.4-83
МЕЖГОСУДАРСТВЕННЫЙСТАНДАРТ
УСТАНОВКИИСПЫТАТЕЛЬНЫЕ
ВИБРАЦИОННЫЕ ЭЛЕКТРОДИНАМИЧЕСКИЕ
ОБЩИЕ ТЕХНИЧЕСКИЕ УСЛОВИЯ
ИПК ИЗДАТЕЛЬСТВО СТАНДАРТОВ
Москва
МЕЖГОСУДАРСТВЕННЫЙСТАНДАРТ
| УСТАНОВКИ ИСПЫТАТЕЛЬНЫЕ ВИБРАЦИОННЫЕ ЭЛЕКТРОДИНАМИЧЕСКИЕ Общие технические условия Electrodynamic vibration testing equipment. General specifications | ГОСТ |
Дата введения 01.07.84
Настоящий стандартраспространяется на однокомпонентные электродинамические испытательныевибрационные установки (далее - установки), предназначенные для созданиявибрации в вертикальном и (или) горизонтальном направлениях, и на функциональнозаконченные их составные части, изготовляемые как самостоятельно, так и всоставе установки.
Термины, применяемые внастоящем стандарте, - по ГОСТ 16504,ГОСТ 24346 и ГОСТ 25051.3.
1.1. Основные параметры и характеристики установки являютсятакже основными параметрами и характеристиками вибростенда. Характеристики по пп. 1.2.15 - 1.2.21 относятся только к вибростенду.
Основные параметры и характеристики,отражающие специфические свойства установок (например воспроизводящих случайнуювибрацию), должны быть указаны в стандартах или технических условиях наустановки конкретных типов.
1.2. Основные параметры и характеристики установок
1.2.1. Значениеноминальной вынуждающей силы вибростенда в ньютонах выбирают из ряда m ×10n, где m - одно из чисел ряда R 10 по ГОСТ 8032; n - целое положительное число.
(Измененная редакция, Изм. № 1).
1.2.2. Значениемассы номинальной испытательной нагрузки (далее - номинальной нагрузки)вибростенда должно быть не менее массы нагрузки, при которой обеспечиваетсявоспроизведение виброускорения (далее - ускорения) 100, 200 или 400 м/с2(по согласованию с потребителем).
В технических условиях навибростенд конкретного типа допускается указывать дополнительные нагрузки, прикоторых обеспечивается ускорение свыше 400 м/с2.
Массуноминальной нагрузки mном в килограммах определяют по формуле
, (1)
где Fном - номинальнаявынуждающая сила, Н;
а - ускорение,равное 100, 200 или 400 м/с2;
mпр - приведенная масса подвижной системы вибростенда, кг.
1.2.3.Установки должны обеспечивать получение ускорений и виброперемещений (далее -перемещений) в номинальных диапазонах их амплитуд и частот.
Номинальные диапазоныускорений (перемещений) и соответствующие им номинальные диапазоны частотдолжны быть указаны в технических условиях на установки и (или) вибростендыконкретных типов для двух значений массы нагрузки вибростенда: m = 0, m = mном.
Нижние пределыноминальных диапазонов воспроизводимых перемещения и ускорения следует выбиратьиз ряда:
0,075; 0,15; 0,35; 0,5 мм- перемещения;
1; 5; 10; 20 м/с2- ускорения.
Верхние пределыноминальных диапазонов воспроизводимых параметров вибрации при значении массы нагрузкивибростенда m = 0 должны быть не менее:
- для перемещения начастоте перехода от перемещения к скорости:
7,5 мм - при 500 H £ Fном£ 2000 H,
12,5 мм - при Fном>2000 Н;
- для ускорения на частоте перехода от скорости кускорению:
750 м/с2 - при500 H £ Fном£2000 H,
1000 м/с2 -при Fном>2000 H.
Значения нижних и верхнихпределов номинальных диапазонов частот конкретных установок должны бытьустановлены в соответствии с требованиями на испытание изделий, при этом нижнийпредел номинального диапазона частот установки в герцах выбирают из рядапредпочтительных чисел R10 по ГОСТ 8032, верхний предел номинального диапазона частот ограничиваютзначением первой резонансной частоты подвижной системы при соответствующейнагрузке вибростенда.
Примечание. Требования к верхним пределам номинальныхдиапазонов воспроизводимых параметров вибрации не распространяются наспециализированные установки (например установки, предназначенные для созданияамплитуд перемещения более 15 мм и ускорения более 1200 м/с2, атакже установки, предназначенные для испытания изделий конкретного типа).
(Измененная редакция, Изм. №1).
1.2.4. Пределыдопускаемой погрешности воспроизведения ускорения и перемещений в контрольнойточке в номинальном диапазоне частот и амплитуд не должны превышать ± 15 %.Исключение составляют частотные области, в которых значения коэффициентовгармоник и поперечных составляющих превышают номинальные.
1.2.5. Значенияпотребляемой мощности, габаритные размеры и масса установки (составных частей)должны быть указаны в технических условиях на установки конкретных типов или ихсоставные части.
1.2.6. Значениякоэффициента силы по мощности (удельная энергоемкость) установки и коэффициентасилы по мощности вибростенда должны быть указаны в стандартах и (или) техническихусловиях на установки или вибростенды конкретных типов (см. приложение 1).
1.2.7. Время установлениярежима установок и их составных частей (время прогрева) должно быть указано вэксплуатационной документации и не должно быть более 30 мин.
1.2.8. Установкидолжны обеспечивать время непрерывной работы не менее 8 ч. При этом отклонениевоспроизводимого ускорения (нестабильность) не должно быть более 15 % (безавтоматического регулирования управления). Время установления режима не должновходить в продолжительность непрерывной работы.
1.2.9. В эксплуатационнойдокументации на установки и (или) вибростенды конкретных типов должны бытьуказаны максимальные значения воспроизводимого ускорения и время непрерывнойработы при этих ускорениях для значений массы нагрузки вибростенда, указанных вп. 1.2.3.
1.2.8, 1.2.9. (Измененнаяредакция, Изм. № 1).
1.2.10.Показатели надежности установок следует выбирать из ряда:
- не менее 500, 650, 800,1000, 1250, 1500, 2000 ч - наработка на отказ;
- не менее 0,8; 0,85;0,9; 0,95; 0,98 - вероятность безотказной работы за заданное время, выбираемоеиз ряда 8, 16, 24, 100, 200, 500 ч;
- не более 1; 2; 2,5;3,15; 4; 5; 6,5; 8 ч - среднее время восстановления;
- не менее восьми лет -средний срок службы до списания.
Показатели надежностисоставных частей установок следует выбирать из условий обеспечения требований кпоказателям надежности установки в целом.
1.2.11.Напряжение радиопомех, создаваемых установками, не должно превышать значений,указанных в «Общесоюзных нормах допускаемых индустриальных радиопомех» 8-72,утвержденных Государственной комиссией по радиочастотам СССР.
1.2.12.Уровень вибрационного шума на столе вибростенда не должен быть более 0,25нижнего предела номинального диапазона ускорения при значении массы нагрузкивибростенда, равном нулю.
1.2.13.Пределы допускаемой погрешности автоматического поддержания заданных уровней ускоренияи (или) перемещения в номинальном диапазоне частот при ручном и автоматическомизменениях частоты не должны превышать ± 10 %.
1.2.14.Изменение воспроизводимого ускорения при изменении напряжения питания на ± 10 %не должно превышать 0,25 предела допускаемой погрешности воспроизведенияускорения.
Примечание. Требование распространяется на установки,предназначенные для работы без аппаратуры автоматического управления.
1.2.15.Коэффициент гармоник, коэффициент неравномерности распределения при значениимассы нагрузки вибростенда, равном нулю, и коэффициент поперечных составляющихпри значениях массы нагрузки вибростенда, равных нулю и номинальному вдиапазоне частот от нижнего предела до не менее 0,7 верхнего пределаноминального диапазона частот при соответствующей нагрузке, не должны бытьболее:
10 % - коэффициентгармоник ускорения;
25 % - коэффициент неравномерности распределения ускорения;
25 % - коэффициентпоперечных составляющих ускорения.
Для каждой характеристикидопускается наличие областей частот общей протяженностью не более 10 % верхнего предела номинальногодиапазона частот, где ее значения превышают номинальное.
Указанные характеристикидолжны быть приведены в техническом описании в виде графика функции от частоты.
Примечания
1. Допускается на частотах ниже 50 Гцкоэффициенты гармоник, поперечных составляющих и неравномерности распределениянормировать по перемещению. При этом значения коэффициентов должнысоответствовать требованиям, указанным выше.
2. По согласованию междуизготовителем и потребителем в эксплуатационной документации на установку иливибростенд конкретного типа представляют зависимости коэффициентов гармоник ипоперечных составляющих ускорения от частоты при значениях масс нагрузкивибростенда m = 0,25 mном и m= mном.
1.2.16. В эксплуатационнойдокументации на установку или вибростенд конкретного типа должны быть приведеныамплитудно-частотные характеристики (АЧХ) ускорения в контрольной точке вноминальном диапазоне частот при постоянном значении силы тока в подвижной катушкедля значений массы нагрузки вибростенда, указанных в п. 1.2.3.
В стандартах и (или)технических условиях на установки или вибростенд конкретных типов должны бытьуказаны значения резонансной частоты подвески и первой резонансной частотыподвижной системы.
Значения первойрезонансной частоты подвижной системы при массе нагрузки вибростенда, равнойнулю, приведены в приложении 2.
1.2.15, 1.2.16. (Измененная редакция,Изм. № 1).
1.2.17.В стандартах и (или) технических условиях на установки или вибростендконкретных типов должны быть указаны максимальные уровни индукции магнитногополя рассеяния над столом вибростенда. При наличии требований к компенсациимагнитного поля рассеяния значение магнитной индукции над столом вибростенда недолжно быть более 10-3 Тл.
1.2.18. Допускаемыемоменты сил от предельной нагрузки, приложенной по линии, перпендикулярной крабочей оси вибростенда, и от эксцентриситета нагрузки, приложенной вдольрабочей оси вибростенда, должны быть указаны в стандартах и (или) техническихусловиях на установки и (или) вибростенд конкретных типов.
(Измененная редакция, Изм. №1).
1.2.19.Значение приведенной массы подвижной системы должно быть указано в стандартах и(или) технических условиях на установки и (или) вибростенд конкретных типов.
1.2.20.Температура стола вибростенда не должна быть более 50 °С.
1.2.21.В стандартах и (или) технических условиях на вибростенд конкретного типа должныбыть приведены активное электрическое сопротивление подвижной катушки иэлектрическое сопротивление постоянному току катушки подмагничивания иподвижной катушки.
(Измененная редакция, Изм. №1).
1.3. Основные параметры и характеристики аппаратурызадания, управления и измерения параметров вибрации
1.3.1. Пределыдопускаемых значений основной и дополнительной погрешностей установки частоты взависимости от изменения температуры и напряжения питания, а также пределыдопускаемой нестабильности частоты аппаратуры задания по нормативно-техническойдокументации не должны превышать значений, указанных в таблице.
| Пределы погрешности установки частоты, Гц | Пределы допускаемой нестабильности, Гц | ||
| основной | дополнительной | ||
| от изменения температуры окружающего воздуха на каждые 10 °С в пределах рабочих температур | от изменения напряжения питания в пределах | ||
| ± (0,5 + 5 × 10–3fном) | ± 10–3fном | ± 3 × 10– 4fном | ± 5 × 10– 4fном |
Примечания
1. fном номинальное значениеустанавливаемой частоты, Гц.
2.При наличии в генераторе электронно-цифрового отсчета частоты указываютдополнительную составляющую погрешности, обусловленную дискретностью счета.
(Измененная редакция, Изм. № 1).
1.3.2.Номинальное выходное напряжение на частоте 400 Гц должно быть не менее 3 В(среднее квадратическое значение) и соответствовать требованиям п. 1.4.1.
1.3.3. Нестабильность номинального выходногонапряжения аппаратуры задания должна соответствовать нормативно-техническойдокументации.
1.3.4. Предельно допускаемыйкоэффициент гармоник аппаратуры задания при номинальном выходном напряженииследует выбирать из ряда: не более (0,1; 0,25; 0,5; 1,0* %).
1.3.3, 1.3.4. (Измененная редакция, Изм. № 1).
1.3.5. Выходноесопротивление аппаратуры задания должно быть не более 1 кОм.
1.3.6. Динамическийдиапазон регулирования аппаратуры управления следует выбирать из ряда: не менее(60; 70; 80 дБ).
1.3.7. Погрешностьавтоматического регулирования следует выбирать из ряда: не более (0,1; 0,2;0,5*; 1,0* дБ).
1.3.8. Относительную погрешностьавтоматической развертки (качания) частоты на любом участке номинальногодиапазона частот следует выбирать из ряда: не более (1,0; 2,5; 5,0; 10* %) длядиапазонов скорости 0,1 - 99 или 0,1 - 60* Гц/с и 0,1 - 99 или 0,1 - 60*окт./мин).
_________
* Распространяется только на аппаратуру,техническое задание на которую было утверждено до 01.01.91.
1.3.9. Пределыдопускаемой основной относительной погрешности виброметра на фиксированной(базовой) частоте не должны быть более ± 6 %, неравномерность АЧХ виброметра недолжна быть более ± 10 % по нормативно-технической документации.
1.3.6-1.3.9. (Измененнаяредакция, Изм. № 1).
1.3.10. Пределыдопускаемого значения дополнительной погрешности виброметра от изменениянапряжения источника питания на ± 10% не должны быть более 0,25 от пределаосновной погрешности.
1.3.11. Значениекоэффициента поперечного преобразования виброизмерительного преобразователя(ВИП) не должно быть более 5 %.
1.3.12. Номенклатура итребования к основным параметрам и характеристикам аппаратуры задания,управления и измерения параметров случайной вибрации приведены в приложении 3.
1.4. Основные параметры ихарактеристики усилителя мощности
1.4.1. Номинальноенапряжение на входе усилителя мощности должно быть не более 3 В (среднееквадратическое значение).
1.4.2. В стандартах и (или)технических условиях на установки или усилители мощности конкретных типовдолжны быть указаны значения следующих характеристик:
- активная номинальнаянагрузка;
- номинальное выходноенапряжение и (или) сила тока;
- допускаемое изменение выходного напряжения и (или)сила тока при изменении напряжения питания на ± 10 %.
1.4.3. Значениеноминальной выходной мощности усилителя при работе на активную номинальнуюнагрузку следует выбирать из ряда m × 10n, где m- одно из чисел ряда R10по ГОСТ 8032, и - целое положительное число.
1.4.4. Коэффициентгармоник выходного напряжения при выходной мощности усилителя, обеспечивающейвоспроизведение номинальных параметров вибрации, должен быть:
- не более 0,5 % - вдиапазоне частот до 0,25 fпред;
- не более 1,0 % -- вдиапазоне частот от 0,25 fпред до 0,50 fпред;
- не более 2,0 % - вдиапазоне частот от 0,50 fпред до fпред,
где fпред - верхнее значениеноминального диапазона частот усилителя мощности.
Для усилителей мощностикласса Д в технической документации на усилитель (установку) должно бытьуказано допускаемое значение коэффициента гармоник сигнала усилителя привыходной мощности, равной 0,1 номинальной мощности.
1.4.3, 1.4.4. (Измененная редакция, Изм. № 1)
1.4.5. НеравномерностьАЧХ усилителя мощности в номинальном диапазоне частот не должна быть более 3дБ.
1.4.6. Значениеотношения номинального выходного сигнала к уровню собственных шумов и фонадолжно быть не менее 70 дБ.
(Измененная редакция, Изм. № 1).
1.4.7. Усилительдолжен устойчиво работать при отключении нагрузки, при этом выходной уровеньнапряжения не должен повышаться более чем на 3 дБ.
1.4.8. Модульвходного сопротивления усилителя мощности в номинальном диапазоне частот долженбыть не менее 10 кОм.
(Измененная редакция, Изм. № 1).
1.5. Основные параметры и характеристики источникапитания катушки подмагничивания и (или) размагничивания
1.5.1. Встандартах и (или) технических условиях на источник питания катушекподмагничивания и размагничивания конкретного типа должны быть указаны выходноенапряжение и (или) сила тока.
2.1. Установкидолжны соответствовать требованиям настоящего стандарта, стандартов и (или)технических условий на установки конкретных типов по рабочим чертежам,утвержденным в установленном порядке.
2.2. Установкии их составные части должны быть изготовлены в климатическом исполнении УХЛ,категории размещения 4.2 по ГОСТ 15150,в части воздействия механических факторов - по ГОСТ 23216 для условийтранспортирования С. По способу защиты человека от поражения электрическимтоком установки относят к классу защиты I по ГОСТ 12.2.007.0.
2.3. Электропитаниеустановки должно осуществляться от одно- или трехфазной сети переменного токанапряжением 220 или 220/380 В соответственно частотой 50 Гц. Предельныеотклонения напряжения не должны превышать ± 10 % номинального значения, частоты- по ГОСТ 13109.
2.4. Электрическиепрочность и сопротивление изоляции цепей - по ГОСТ 12997.
2.5.Установки должны быть снабжены следующими устройствами:
- защиты от поврежденияих составных частей;
- сигнализации онарушении работоспособности;
- измерения перемещения,скорости и ускорения с пределами измерения:
перемещения -0,1-0,3-1-3-10-30 мм; 0,1-1-10-100 мм,
скорости -1-3-10-30-100-300 см/с; 1-10-100-1000 см/с,
ускорения -3-10-30-100-300-1000-3000 м/с2; 10-100-1000-10000 м/с2;
- ограниченныминоминальными значениями диапазонов этих характеристик;
- цифровой индикации частотыс четырех-, пятизначными индикаторами при времени счета 0,1 с дискретностью ± 1Гц; 1,0 с - дискретностью ± 0,1 Гц;
- контроля выходного токаи напряжения усилителя мощности, а также работоспособности его отдельныхкаскадов;
- контроля времени испытанийи (или) циклов качания частоты в виде трехзначного числа с выключением придостижении установленного времени и (или) циклов качания частоты;
- перехода от режимаподдержания постоянства одного параметра в режим поддержания постоянствадругого параметра и обратно на любой частоте, лежащей внутри диапазонов: 20 -160 Гц - для перехода поддержания перемещения на скорость, 20 - 100 Гц - дляперехода поддержания перемещения на ускорение, 40 - 1500 Гц - для переходаподдержания скорости на ускорение;
- снятия возбуждающегосигнала после наработки заданного числа циклов качания или времени испытаний ипри неправильных воздействиях оператора на органы управления, находящиеся вцепи обратной связи;
- программногомноготочечного перехода от режима поддержания постоянства одного параметра врежим поддержания другого параметра и программного перехода с одного уровнявоспроизводимого параметра на другой, или должна быть обеспечена возможностьприменения внешних программных устройств многоточечного перехода от одногорежима к другому;
- развертки частоты соскоростью 0,1 - 100 или 0,1 - 60* Гц/с и 0,1 - 100 или 0,1 - 60* окт./мин полинейному и логарифмическому законам изменения скорости развертки в номинальномдиапазоне частот с реверсированием.
(Измененная редакция, Изм. №1).
__________
* Распространяетсятолько на аппаратуру, техническое задание на которую было утверждено до01.01.91.
2.6. В установках должнабыть предусмотрена возможность управления и контроля параметров воспроизводимойвибрации с помощью средств вычислительной техники, регистрации воспроизводимыхпараметров вибрации, кратковременного прекращения развертки и перемены еенаправления на любой частоте, а также проведения периодической поверки средствизмерений и проверки других составных частей установки.
2.7. Наружныеметаллические поверхности деталей установок и их составных частей должны иметьзащитные покрытия в соответствии с требованиями технических условий на них.
2.8. На столе вибростендадолжна быть обозначена контрольная точка.
2.9. В стандартахи (или) в технических условиях на установки и (или) вибростенд конкретных типовдолжны быть указаны требования к конструкции и посадочным поверхностям стола иэквивалента нагрузки вибростенда (см. приложение 4).
2.10. Расположениеотверстий на столе вибростенда для крепления испытуемых изделий и их диаметрыдолжны быть указаны в эксплуатационной документации на вибростенд конкретноготипа (см. приложение 5).
Размер резьбы штока (длявибростенда без стола) должен соответствовать одному из значений ряда: М14 ´1-7д; М16 ´1-7д; М24 ´1,5-7д; М36 ´1,65-7д.
3.1. Установкии их составные части должны соответствовать требованиям ГОСТ 12.2.007.0 и «Правилам устройстваэлектроустановок».
3.2. Встандартах и (или) технических условиях на установки и (или) вибростендконкретных типов следует указывать их вибрационные характеристики согласно ГОСТ 12.1.012 и шумовыехарактеристики в соответствии с ГОСТ 12.1.023 в виде октавных уровней звуковоймощности для режимов:
- установка готова кработе (включены все составные части и вспомогательные устройства), сигналвозбуждения не подан;
- при верхнем пределеноминального диапазона ускорения и значении массы нагрузки вибростенда, равномнулю.
4.1. Вкомплект установки должны входить аппаратура задания и (или) управления;усилитель мощности; вибростенд; вспомогательные устройства, обеспечивающие еефункционирование; виброметры ускорения и перемещения; эквиваленты нагрузокусилителя мощности и вибростенда (по требованию потребителя); комплект запасныхдеталей, инструмента и принадлежностей (ЗИП), в том числе не менее экземпляраподвижной системы вибростенда в сборе и силоизмерительный ключ.
4.2. Комплектностьсоставных частей установки, изготовляемых как самостоятельные изделия, следуетустанавливать в стандартах и (или) технических условиях на конкретную составнуючасть.
4.3. Кустановке и (или) составной ее части должна быть приложена эксплуатационнаядокументация по ГОСТ 2.601.
5.1. Для проверкисоответствия установок или их составных частей требованиям настоящегостандарта, стандартов и (или) технических условий на установки (составныечасти) конкретных типов предприятие-изготовитель должно проводитьквалификационные, приемосдаточные, периодические испытания и испытания нанадежность.
5.2. Последовательностьиспытаний должна быть указана в технических условиях на установки конкретныхтипов,
5.3. Установки следуетпроверять на соответствие требованиям:
- пп. 1.2.1-1.2.8, 1.2.11-1.2.21,1.3.1-1.3.11,1.4.1-1.4.8,1.5.1, 2.1-2.10, 3.1 и 3.2 - при квалификационных испытаниях;
- пп. 1.2.1, 1.2.3, 1.2.4, 1.2.6,1.2.8, 1.2.12-1.2.18, 1.2.17(при условии компенсации магнитного поля), 1.3.1(только пределы допускаемого значения основной погрешности установки частоты), 1.3.2-1.3.4,1.3.6-1.3.11,1.4.1, 1.4.3-1.4.7, 1.5.1,2.1, 2.4 -при приемосдаточных испытаниях;
- пп. 1.2.1-1.2.8, 1.2.11-1.2.21,1.3.1-1.3.11,1.4.1-1.4.8,1.5.1, 2.1,2.4, 2.10,3.1, 3.2- при периодических испытаниях.
Соответствие установоктребованиям к электрической прочности и сопротивлению изоляции цепей следуетпроверять при испытаниях всех видов.
5.4. Приемосдаточнымиспытаниям следует подвергать каждую установку.
Если в процессеприемосдаточных испытаний будет обнаружено несоответствие установки хотя быодному из пунктов проверяемых требований, то после устранения дефекта установкипредъявляют для повторной приемки по пунктам несоответствия и пунктам, покоторым испытания не проводились. При необходимости приемку осуществляют вполном объеме.
(Измененная редакция, Изм. №1).
5.5. Периодическимиспытаниям следует подвергать 2 % установок годового выпуска, но не менее трех,не реже раза в год. При годовом выпуске менее трех установок испытаниямподвергают все установки.
Установки,удовлетворяющие всем требованиям, на соответствие которым проводилисьпериодические испытания, считают выдержавшими эти испытания.
Если при периодическихиспытаниях будет обнаружено несоответствие какой-либо установки хотя бы одномуиз пунктов проверяемых требований, то их подвергают повторным испытаниям вполном объеме периодических испытаний на удвоенном числе установок, если иноене предусмотрено в стандартах или технических условиях на установки конкретныхтипов. Результаты испытаний являются окончательными.
5.6. Квалификационныеиспытания следует проводить не менее чем на трех образцах установок из первойпромышленной партии, впервые поставленной на производство.
5.7. Пригодность каждойустановки должна быть удостоверена клеймом и печатью ОТКпредприятия-изготовителя, проставляемыми в разделе «Свидетельство о приемке»формуляра на установку. Место клеймения указывают в стандартах и (или)технических условиях на установки конкретных типов.
5.8. Испытания установокна надежность проводят по РД 50-650 и РД 50-690.
(Измененная редакция, Изм. № 1).
5.9. Средства измерений,входящие в состав установки, должны быть подвергнуты государственным испытаниямпо ГОСТ 8.001* или метрологической аттестации по ГОСТ 8.326*.
_________
* На территории Российской Федерации действуют ПР 50.2.009-94.
6.1. Общие положения
6.1.1. Дляконтроля технических характеристик установок следует использовать средстваизмерений, удовлетворяющие требованиям ГОСТ 25051.3.
Параметры вибрацииизмеряют в контрольной точке стола вибростенда, если не предусмотрены иные условияизмерений. При этом изменение частоты возбуждения осуществляют плавно, впротоколах фиксируют значения измеряемых параметров на границах номинальногодиапазона частот установки, на частотах из ряда 0,1; 0,5; 1,0; 2; 4; 8; 16 Гц итретьоктавного ряда по ГОСТ 12090 или ближайших к ним числовым отметкам шкалызадающего генератора в пределах номинального диапазона частот, а также начастотах с наименьшими значениями верхних пределов перемещений и ускорений и вполосах частот, в которых значения измеряемых параметров (п. 1.2.15) превышают номинальные.
6.1.2. Контроль установокпроводят в нормальных климатических условиях по ГОСТ 15150.
6.1.3. Климатическиеиспытания (п. 2.2) проводят в соответствии сметодами, изложенными в ГОСТ 22261.Требования к допускаемым изменениям значений характеристик установок и (или)составных ее частей при изменении температуры окружающей среды должны бытьуказаны в технических условиях на установки конкретных типов или их составныечасти.
После окончания испытанийустановки (составной части) ее проверяют на соответствие требованиям пп. 1.2.3 и 1.2.15(только в части коэффициента гармоник ускорения).
Примечания
1. Если масса, габаритные размеры иконструкция установки не позволяют испытывать их в полном комплекте насуществующем испытательном оборудовании, то испытания проводят поблочно.Порядок таких испытаний устанавливают в стандартах и (или) технических условияхна установки конкретного типа.
2. В технически обоснованных случаях, при отсутствии соответствующегоиспытательного оборудования, испытания на климатические воздействия допускаетсяне проводить.
6.1.4. Испытания намеханические воздействия (п. 2.2) установкиили ее составных частей следует проводить в соответствии с ГОСТ 23216 для условийС при ускорении 98,1 м/с2 и длительности 2 - 15 мс или путемперевозки на автомашинах. После окончания испытаний проводят внешний осмотрустановки (составной части) с целью выявления механических повреждений ипроверку на соответствие требованиям пп.1.2.3, 1.2.15 (в части коэффициентагармоник ускорения).
6.1.5. При контролекатегории исполнения установок (п. 2.2) иобщих требований к конструкции (пп. 2.5 - 2.10) проверяют в процессе разработки иизготовления соответствие установок требованиям настоящего стандарта и (или)стандартов на установки конкретных типов, требованиям технических условий,технического описания, чертежей и схем на установки.
6.1.6. Электропитание прииспытаниях установок в целом должно соответствовать требованиям, указанным в п. 2.3.
6.1.7. Проверкаэлектрических прочности и сопротивления изоляции цепей (п. 2.4) - по ГОСТ 12997.
6.1.8. Проверку наработкизаданного числа циклов качания частоты (п. 2.5)проводят путем последовательной установки на задающем генераторе аппаратурыуправления при номинальном выходном напряжении одного или более числа циклов.При числе циклов качания более одного скорость качания частоты принимаютмаксимальной. После наработки заданного числа циклов выходное напряжениегенератора должно уменьшиться до значения, соответствующего практическойостановке вибростенда (например с 3 В до 20 мВ).
6.1.9. Частотыавтоматического перехода с режима постоянства одного параметра на режим постоянствадругого параметра (п. 2.5) в заданномдиапазоне частот проверяют в последовательности, приведенной ниже.
Устанавливают заданныезначения частот перехода и соответствующие им уровни вибрации (перемещения,скорости, ускорения). В автоматическом режиме развертки частоты в узкомдиапазоне вблизи частот перехода по показаниям прибора и сигнализациииндикаторных ламп убеждаются в автоматическом переключении режимов наустановленных частотах перехода. Аппаратура пригодна, если частота переходаможет быть установлена на любой частоте из диапазона частот перехода по п. 2.5 с допускаемым отклонением в пределах ± 2Гц.
Методика может бытьуточнена в технической документации на конкретный тип прибора.
(Измененная редакция, Изм. №1).
6.1.10. Соответствиеустановок требованиям п. 2.9 обеспечиваетсятехнологическим процессом.
6.1.11. При контролетребований безопасности (п. 3.1) проверяютсоответствие требованиям настоящего стандарта чертежей и схем на установку и ихреализацию на изготовленных образцах путем открывания соответствующих крышекдверей или извлечением блоков, измерением электрического сопротивления междузажимами заземления и каждой доступной для прикасания металлической наружнойчастью установки и температуры наружных поверхностей установки с помощью любыхсредств измерений, обеспечивающих требуемые значения контролируемых величин.
6.1.12. Комплектность (пп. 4.1 - 4.3),обеспеченность установки поверочными средствами измерений (п. 6.1.1) и маркировку (пп.7.1 и 7.2) проверяют сличением стехническими условиями на установку и визуальной проверкой:
- внешнего вида всехсоставных частей установки;
- наличияэксплуатационной документации;
- маркировки установки всоответствии с конструкторской документацией;
- наличия поверительногоклейма и свидетельства о поверке средств измерений, входящих в состав установкии удостоверяющих их пригодность и срок очередной поверки.
6.1.13. Методы контроляосновных параметров и характеристик установок конкретных типов, напримермногокомпонентных или их составных частей, должны быть указаны в стандартах илитехнических условиях на эти установки или их составные части.
6.2. Проверка соответствиятехническим требованиям
6.2.1. Основные параметрыи характеристики установки и (или) их составных частей по пп. 1.2.3, 1.2.4, 1.2.8, 1.2.12,1.2.13, 1.2.17 и 1.2.20следует проверять по ГОСТ 25051.3, по пп.1.3.9-1.3.11 - по МИ 1873.
Методы контролявиброметров, на которые МИ 1873 не распространяются, должны быть приведены встандартах или технических условиях на установки или виброметры конкретныхтипов.
(Измененная редакция, Изм. №1).
6.2.2. Номинальнуювынуждающую силу (п. 1.2.1) и массуноминальной нагрузки (п. 1.2.2) проверяютна частоте 400 Гц.
Номинальнуювынуждающую силу Fномв ньютонах определяют по формуле
Fном = mпр×aном, (2)
где Fном - приведенная массаподвижной системы, определяемая по п. 6.2.15,кг;
aном - верхний пределноминального ускорения при значении массы нагрузки на столе вибростенда, равномнулю.
Массу номинальнойнагрузки проверяют путем определения возможности воспроизведения ускорения 100,200 или 400 м/с2 при номинальной нагрузке на столе вибростенда.
6.2.3. Мощность (п. 1.2.5), потребляемую установкой,определяют на частоте 400 Гц при номинальной нагрузке вибростендам на верхнемпределе номинального диапазона ускорения методом амперметра-вольтметра.
Параллельно сопределением мощности, потребляемой установкой, определяют мощность,потребляемую вибростендам. При этом амперметры и вольтметры должны бытьподключены на вход подвижной катушки и катушки подмагничивания вибростенда.Мощность, потребляемую вибростендом, определяют как сумму мощностей,потребляемых подвижной катушкой и катушкой подмагничивания.
Мощность, потребляемуюостальными составными частями установки, следует определять в номинальномрежиме работы на частоте 400 Гц.
6.2.4. Габариты и другиеразмеры (пп. 1.2.5 и 2.10) проверяют измерением указанных в технических условияхи чертежах размеров линейкой или любым измерительным инструментом,обеспечивающим требуемую точность измерения.
6.2.5. Массу (п. 1.2.5) проверяют взвешиванием составныхчастей установки на любых весах, обеспечивающих требуемую точность взвешивания.
6.2.6. Коэффициент силыпо мощности (п. 1.2.6), потребляемойустановкой и (или) вибростендом, определяют на частоте 400 Гц делениемноминальной вынуждающей силы на мощность, потребляемую соответственноустановкой и вибростендом.
6.2.7. Время непрерывнойработы (п. 1.2.8) определяют интервалом, вкотором обеспечиваются требования к отклонению воспроизводимого ускорения (п. 1.2.6) и температуре стола или другихчастей установки (п. 1.2.20) иотсутствует изменение формы кривой ускорения, определяемых по методике,изложенной в ГОСТ 25051.3.
6.2.8. Методика испытанийустановки и (или) ее составных частей на надежность (п. 1.2.10) должна быть приведена в стандартах и (или) техническихусловиях на установки (составные части) конкретного типа в соответствии стребованиями, установленными в РД 50-650 и РД 50-690.
Методика испытаний должнарегламентировать проверку функционирования установки (составной части) приразличных режимах ее работы в рабочих климатических условиях. За отказ прииспытаниях необходимо принимать несоответствие установки хотя бы одному изтребований, указанных в пп. 1.2.3, 1.2.4, 1.2.12-1.2.15, 1.2.18,1.3.1, 1.3.4,1.3.6-1.3.10,1.4.3-1.4.7и 1.5.1.
Допускается испытание установкина надежность проводить в условиях подконтрольной эксплуатации у потребителя.
Методика испытаний должнасоответствовать требованиям РД 50-690.
6.2.7, 6.2.8. (Измененная редакция, Изм. № 1).
6.2.9. Уровень напряжениярадиопомех (п. 1.2.11) определяют приработе установки на частоте 400 Гц при верхнем пределе номинального диапазонаускорения и номинальной нагрузке.
Уровень напряжениярадиопомех определяют по ГОСТ 16842* и «Общесоюзным нормам допускаемыхиндустриальных радиопомех» 8-72 со следующими дополнениями.
_________
* На территории Российской Федерации действует ГОСТ Р 51320-99.
Измерения проводят на частотах: 0,15; 0,25; 0,5;1,5; 2,5; 3,0; 6,0; 10,0; 15,0; 30,0 МГц с отклонениями ± 10 %.
Сначала измеряютнапряжение радиопомех в сети при отключенной установке. Если уровень напряжениярадиопомех в сети, фиксируемый измерителем радиопомех, не менее чем на 10 дБниже установленной нормы, то можно приступить к измерению уровня радиопомех,вносимых установкой. Если это условие не выполняется, необходимо найти иотключить источник радиопомех, вызывающий превышение уровня помех в сети, илиперенести на то время, когда сеть не нагружена посторонними источникамирадиопомех.
Затем включают установкуна частоте 400 Гц и измеряют уровень напряжения радиопомех не менее трех раз накаждой указанной выше частоте и в каждой фазе сети.
6.2.10. Допускаемоеизменение ускорения при изменении напряжения питания (п. 1.2.14) определяют на частоте 400 Гц при ускорении,равном 0,3 верхнего предела номинального диапазона. Изменение напряженияпитания осуществляют с помощью регулятора напряжения.
Примечание. В случае отсутствия серийно выпускаемого регуляторанапряжения соответствующей мощности допускается не проводить испытания по п. 1.2.14.
6.2.11. Коэффициентыгармоник и поперечных составляющих (п.1.2.15) проверяют по результатам измерений в контрольной точке столавибростенда по методике, изложенной в ГОСТ 25051.3.
Установка должнасоответствовать предъявляемым требованиям при определении коэффициента гармоники коэффициента поперечных составляющих по результатам измерений в любой другойточке крепления стола вибростенда.
6.2.12. Коэффициентнеравномерности распределения (п. 1.2.15)проверяют измерением ускорения ненагруженного стола вибростенда по методике,изложенной в ГОСТ 25051.3.
6.2.13. Резонанснуючастоту подвески и первую резонансную частоту подвижной системы (п. 1.2.16) проверяют при значении массынагрузки вибростенда, равном нулю, по методике, изложенной в ГОСТ 25051.3.
6.2.14. Допускаемыемоменты сил от эксцентриситета нагрузки и нагрузки, приложенной перпендикулярнок рабочей оси вибростенда (п. 1.2.18),проверяют в соответствии с требованиями ГОСТ 25051.3.
Нагрузки считаютдопускаемыми, если значение воспроизводимого ускорения (перемещения) икоэффициента гармоник ускорения, полученные по результатам испытаний, находятсяв пределах, установленных в стандартах и (или) технических условиях наустановки или вибростенды конкретных типов.
Предельную нагрузку,действующую по линии, перпендикулярной к рабочей оси, проверяют длявибростендов, снабженных поворотным устройством и предназначенных для созданиягоризонтальных колебаний.
(Измененная редакция, Изм. №1).
6.2.15.Приведенную массу подвижной системы (п.1.2.19) определяют на частоте 400 Гц измерением ускорения в контрольнойточке стола вибростенда при отсутствии нагрузки на столе и наличии нагрузкиизвестной массы при постоянном значении силы тока в подвижной катушке.
Приведенную массу системыmпрв килограммах вычисляют по формуле
, (3)
где m0 - масса нагрузки, кг;
а1 а2 - ускорения в контрольной точке соответственно без нагрузки и снагрузкой, м/с2.
6.2.16.Активное электрическое сопротивление обмотки подвижной катушки вибростенда (п. 1.2.21) проверяют методом вольтметра -амперметра в диапазоне частот 50-500 Гц при ускорении, равном 0,3 верхнегопредела номинального диапазона. За активное принимают минимальноесопротивление, полученное в указанном диапазоне частот.
6.2.17. Электрическое сопротивление постоянному току обмоток подвижнойкатушки и катушки подмагничивания (п. 1.2.21)проверяют методом вольтметра-амперметра или с помощью омметра по ГОСТ 23706.
6.2.18. Аппаратуру задания по пп.1.3.1-1.3.5 проверяют в соответствии суказаниями инструкции по эксплуатации и техническими условиями на аппаратурузадания конкретного типа, составленными согласно требованиямнормативно-технической документации, утвержденной в установленном порядке.
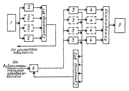
6.2.19. Динамический диапазон регулирования (п. 1.3.6) и погрешность регулирования (п. 1.3.7) аппаратуры управления (АУ) проверяют на частоте400 Гц по схеме, приведенной на черт. 1, в последовательности, изложенной ниже.

1 – АУ; 2 – аттенюатор; 3 –электронный
милливольтметр; П – переключатель
Черт. 1
Переключатель устанавливают в положение I, при котором ослабление численно равнозначению определяемого динамического диапазона регулирования. Показаниявиброметра АУ устанавливают на уровне 0,8 конечного значения шкалы или всегообъема счетчика при максимально возможном напряжении на выходе генератора АУ иначале режима регулирования. В этом положении измеряют напряжение U1 на входе АУ.Переключатель устанавливают в положение II и измеряют напряжение U2 на входе АУ.
Динамический диапазон регулирования соответствует заданному, еслипогрешность регулирования не превышает допускаемых значений.
Погрешность автоматического регулирования 8 в децибелах вычисляют поформуле
. (4)
Общее сопротивление аттенюатора должно быть10 кОм, погрешность аттенюатора - не более 10 %.
Методика на конкретный тип аппаратуры управления уточняется втехнической документации.
6.2.20.Скорость развертки частоты АУ (п. 1.3.8)проверяют измерением времени прохождения диапазона частот в двух направлениях.
Скорость развертки частоты v в герцах (октавах) в секунду (минуту)определяют по формуле
, (5)
где B - диапазон частот, Гц(октава);
t - время, с (мин).
В скобках указаны единицыизмерения скорости логарифмической развертки частоты.
Относительная погрешностьскорости развертки частоты не должна превышать допускаемых значений, указанныхв п. 1.3.8.
6.2.21. Номинальныенапряжения на входе (п. 1.4.1) и на выходе(п. 1.4.2), номинальную выходную мощность(п. 1.4.3) и коэффициент гармоник (п. 1.4.4) усилителя мощности проверяют посхеме, приведенной на черт. 2.
1 - генератор; 2 и 5 -электронный вольтметр; 3 - усилитель мощности; 4 - измеритель коэффициента гармоник;6 – эквивалент нагрузки усилителя мощности
Черт.2
Номинальные входное ивыходное напряжения проверяют на частоте 400 Гц с помощью электронноговольтметра при номинальной выходной мощности.
Мощность усилителяопределяют измерением переменного напряжения на зажимах эквивалента нагрузкиусилителя в номинальном диапазоне частот с интервалом в одну октаву до 1000 Гц,далее не реже чем через 1000 Гц. При этом значение выходного напряжения недолжно превышать его номинального значения, а коэффициент гармоник -допускаемого значения.
Значениевыходной мощности усилителя Р в вольт-амперах на текущей частотевычисляют по формуле
, (6)
где U - выходноенапряжение, В;
R - активное сопротивление эквивалентанагрузки, Ом.
Коэффициент гармониквыходного сигнала усилителя мощности определяют с помощью измерителякоэффициента гармоник.
Примечание. Эквивалентнагрузки усилителя мощности -техническое устройство, полное электрическое сопротивление которого соответствуетполному электрическому сопротивлению работающего вибростенда на частотеэлектромеханического резонанса или частоте 400 Гц. Сведения об эквивалентедолжны быть приведены в эксплуатационной документации.
6.2.16 - 6.2.21. (Измененная редакция, Изм. № 1).
6.2.22. НеравномерностьАЧХ усилителя мощности (п. 1.4.5)проверяют по АЧХ, снятой по схеме, приведенной на черт.2, при значении напряжения на входе, равном 0,3 номинального значения.
Наибольшеезначение неравномерности АЧХ Nдецибелах определяют отношением
, (7)
где Umax, Umin - соответственнонаибольшее и наименьшее значения напряжения на выходе усилителя мощности вноминальном диапазоне частот, В.
6.2.23. Уровень собственных шумов усилителя (п. 1.4.6) проверяют измерением напряжения наэквиваленте нагрузки при отключенной аппаратуре задания и подключении на входусилителя резистора, сопротивление которого равно выходному сопротивлениюаппаратуры задания. При этом положение регулятора усилителя, если он имеется,должно соответствовать максимальному усилению.
Уровеньшумов yв децибелах определяют отношением
, (8)
где Uном - среднее квадратическое значениеноминального напряжения на выходе усилителя, В;
Uш - среднее квадратическое значение напряжения шумов наэквиваленте нагрузки усилителя, В.
6.2.24. Устойчивостьработы усилителя мощности (п. 1.4.7)проверяют по схеме, указанной на черт. 2,измерением напряжения на выходе усилителя при включенной и отключенной нагрузкена частоте 400 Гц. При этом значение напряжения на выходе усилителя при включеннойнагрузке должно быть равно 0,3 номинального значения.
Усилитель не долженвозбуждаться (по осциллографу, подключенному на выход усилителя мощности,наблюдается форма выходного сигнала), а изменение напряжения на его выходе недолжно превышать допускаемого уровня.
Изменение напряжения навыходе усилителя Dв децибелах при отключенной нагрузке вычисляют по формуле
, (9)
где U1 - напряжение на выходе при включенной нагрузке,В;
U2 - напряжение на выходе при отключенной нагрузке, В.
6.2.25. Модуль полногоэлектрического входного сопротивления (п.1.4.8) усилителя мощности определяют методом добавочного сопротивления наверхнем пределе номинального диапазона частот по ГОСТ 23849.
6.2.23 - 6.2.25. (Измененнаяредакция, Изм. № 1).
6.2.26. Зависимостьвыходного напряжения (силы тока) усилителя мощности от изменения напряжениясети (п. 1.4.2) определяют на частоте 400Гц при амплитуде, равной приблизительно 0,3 номинального значения выходногонапряжения. Напряжение сети изменяют с помощью регулятора напряжения.
Примечание. Зависимость выходного напряжения усилителя мощностиот изменения напряжения сети допускается не определять в случае отсутствиярегуляторов напряжения соответствующей мощности.
6.2.27. Номинальныезначения силы выходного тока и напряжения источника питания катушкиподмагничивания (размагничивания) (п. 1.5.1)проверяют измерением постоянного тока и напряжения на выходе источника,подключенного к эквиваленту нагрузки, электрическое сопротивление постоянномутоку которой равно соответственно электрическому сопротивлению катушкиподмагничивания (размагничивания), или непосредственно к катушкеподмагничивания (размагничивания), вибростенда. Определение коэффициентапульсации проводят измерением переменного и постоянного напряжений и (или) токана выходе источника подмагничивания (размагничивания), подключенного к катушкеподмагничивания (размагничивания) вибростенда.
Коэффициентпульсации gв процентах рассчитывают по формуле
, (10)
где U1 (I1) - пиковоезначение переменного напряжения (тока), В (А);
U2 (I2) - постоянное значениепеременного напряжения (тока), В(А).
(Измененная редакция, Изм. № 1).
6.2.28. Шумовуюхарактеристику (п. 3.2) определяюториентировочным методом по ГОСТ12.1.028*. Частота возбуждения должна соответствовать максимальному уровнюзвука, определяемому при плавном прохождении рабочего диапазона частотвибростенда.
Методы контролявибрационных характеристик (п. 3.2) должныбыть установлены в стандартах и (или) технических условиях на установки и (или)вибростенды конкретных типов. Методы измерения вибрационных характеристик - по ГОСТ 12.1.012.
_________
* На территорииРоссийской Федерации действует ГОСТ Р 51402-99.
7.1. Накорпусах или лицевых панелях аппаратуры задания и управления, усилителямощности, вибростенда, средств контроля и измерения и вспомогательных устройствустановки должна быть нанесена маркировка по ГОСТ 18620. Наименование и (или) обозначение установкиследует наносить на вибростенде.
7.2.Маркировка транспортной тары - по ГОСТ14192.
7.3. Установки или ихсоставные части следует упаковывать в дощатые ящики типа III по ГОСТ 2991, дощатые ящики типов I, III, VIII по ГОСТ 10198 иящики других типов, изготовляемых по нормативно-технической документации.
7.4. Подготовленные купаковыванию составные части установки должны быть подвергнуты консервации.Консервации подлежат все металлические неокрашенные наружные поверхности сметаллическими покрытиями. Консервацию следует осуществлять в соответствии с ГОСТ 9.014 и ГОСТ 23216 нанесением наповерхность смазки по ГОСТ 10877 с последующим обертыванием конденсаторнойбумагой по ГОСТ 1908.
7.5. Составные частиустановки, ЗИП и эксплуатационная документация должны быть упакованы вовлагостойкую обертку, выполненную по ГОСТ515, или помещены в чехлы из полиэтиленовой пленки по ГОСТ 10354.
7.6. Сопроводительнаядокументация должна быть уложена в закрытый металлический карман, укрепляемыйна наружной стороне торцевой или боковой стенки ящика.
7.7. Составные частиустановки должны быть закреплены так, чтобы исключил ось самопроизвольноеперемещение их внутри ящика при транспортировании.
7.8. В ящик должен бытьвложен упаковочный лист, удостоверяющий правильность упаковывания, содержащий:
- наименование илитоварный знак предприятия-изготовителя;
- наименование иобозначение установки (составных частей);
- фамилию упаковщика;
- штамп ОТК;
- дату упаковывания.
7.9. Установки или ихсоставные части перевозят транспортом любого вида, за исключением морского. Притранспортировании самолетом установки должны быть размещены в герметизированныхотсеках. Условия транспортирования - по ГОСТ15150.
7.10. Условия храненияустановок или их составных частей - С по ГОСТ15150. Не допускается хранить установки в помещении с веществами,вызывающими коррозию.
8.1. Указания поэксплуатации должны содержать сведения о числе и квалификации обслуживающегоперсонала, размещении установки на месте ее эксплуатации, подводке питания,требование к условиям охлаждения составных частей и вентиляции помещения,основные требования безопасности при эксплуатации, особые условия защиты отвибрации и акустических шумов.
8.2. Вибростенды являютсявиброопасными машинами и для исключения вредного действия вибрации их следуетразмещать на виброгасящем фундаменте или виброизоляторе (для вибростендовнастольного типа), снижающем параметры вредной вибрации до допускаемыхсанитарных норм, установленных в ГОСТ12.1.012, а также в строительных нормах и правилах на проектированиезданий.
8.3. Вибростенды являютсяшумоопасными машинами и для исключения вредного действия шума их следуетустанавливать в специальных шумопонижающих помещениях или кожухах (длямалогабаритных вибростендов), снижающих уровни звукового давления на рабочихместах до норм, установленных в ГОСТ12.1.003.
9.1. Изготовитель долженгарантировать соответствие установок требованиям настоящего стандарта, стандартови технических условий на установки конкретных типов или их составные части присоблюдении условий эксплуатации, транспортирования и хранения.
9.2. Гарантийный срокэксплуатации установок - 18 мес со дня их ввода в эксплуатацию.
Рекомендуемое
ТРЕБОВАНИЯ ККОЭФФИЦИЕНТУ СИЛЫ ПО МОЩНОСТИ УСТАНОВКИ И К КОЭФФИЦИЕНТУ СИЛЫ ПО МОЩНОСТИВИБРОСТЕНДА
Значение коэффициента силы по мощности, потребляемой установкой, начастоте 400 Гц должно быть не менее 0,25 Н/В × А, значение коэффициента силы по мощности,потребляемой вибростендом от усилителя мощности, - не менее 1,25 Н/В × А для установок (вибростендов), создающихвынуждающую силу более 1000 Н.
(Измененная редакция, Изм. №1).
Рекомендуемое
ЗНАЧЕНИЯ ПЕРВОЙ РЕЗОНАНСНОЙЧАСТОТЫ ПОДВИЖНОЙ СИСТЕМЫ ВИБРОСТЕНДА ПРИ МАССЕ НАГРУЗКИ, РАВНОЙ НУЛЮ
| Номинальная вынуждающая сила, кН, не более | 0,5 | 1,0 | 1,6 | 2,5 | 4,0 | 6,3 | 10,0 | 16,0 | 25,0 | 40,0 | 63,0 | 100,0 | 160,0 | 250,0 | 400,0 |
| Первая резонансная частота подвижной системы, кГц, не менее | 6,0 | 5,5 | 5,0 | 4,5 | 4,0 | 3,5 | 3,0 | 2,5 | 2,0 | 1,8 | 1,5 | 1,3 | 1,15 | 1,0 | 0,8 |
Рекомендуемое
ТРЕБОВАНИЯ КАППАРАТУРЕ ЗАДАНИЯ, УПРАВЛЕНИЯ И ИЗМЕРЕНИЯ ПАРАМЕТРОВ СЛУЧАЙНОЙ ВИБРАЦИИ,ПРЕДНАЗНАЧЕННОЙ ДЛЯ ПРОВЕДЕНИЯ ИСПЫТАНИЙ РАЗЛИЧНЫХ ИЗДЕЛИЙ НА ВОЗДЕЙСТВИЕШИРОКОПОЛОСНОЙ СЛУЧАЙНОЙ ВИБРАЦИИ В ДИАПАЗОНЕ ЧАСТОТ от 5 до 5000 Гц
1. В зависимости от способа регулирования спектра случайного сигналааппаратуру управления подразделяют на два вида.
А - аппаратура управления с ручным регулированием (черт. 1);
Б - аппаратура управления с автоматическим регулированием (черт. 2).
Структурная схема аппаратурыуправления с ручным регулированием спектра случайной вибрации
1 - генераторшума; 2 - формирующие фильтры; 3 - анализирующие фильтры;
4 - детекторы; 5 - индикатор; 6 - измеритель виброускорения
Черт.1
Структурная схема аппаратурыуправления с автоматическим регулированием спектра случайной вибрации
1 - генераторшума; 2 - формирующие фильтры; 3 -анализирующие фильтры; 4 - автоматическиерегуляторы усиления; 5 - детекторы; 6- индикатор; 7 - измеритель виброускорения
Черт. 2
2. В зависимости от построения схем фильтроваппаратуру управления следует подразделять на:
а) аппаратуру управления с набором фильтров, имеющих абсолютнопостоянные полосы пропускания;
б) аппаратуру управления с набором фильтров, полосы пропускания которыхотносительно постоянны и равны 1/6, 1/3 октавы или октаве.
Примечание. Допускается применять в одной аппаратуреуправления фильтры различной полосы пропускания. Например, в нижнем диапазонечастот 1/3-октавных, в верхнем 1/6-октавных.
3. Номенклатура основных параметров аппаратуры управления:
- частотный диапазон;
- число фильтров (каналов);
- неравномерность суммарной АЧХ формирующих фильтров аппаратуры по п. 2б;
- АЧХ формирующих и анализирующих фильтров;
- неравномерность спектральной плотности мощности выходного сигналаформирующих фильтров аппаратуры по п. 2а;
- динамический диапазон и погрешность АРУ аппаратуры вида Б.
4. Номинальное выходное напряжение аппаратуры управления должно быть неменее 1,5 В (среднее квадратическое значение).
5. Электропитание аппаратуры управления должно осуществляться отоднофазной сети переменного тока напряжением 220 В ± 10 % частотой 50 Гц.
6. Погрешность измерения суммарного (во всей полосе частот) среднегоквадратического ускорения должна быть не более ± 1 дБ без учета собственнойпогрешности ВИП.
7. Погрешность измерения спектральной плотности ускорения должна бытьне более ± 3 дБ, среднего квадратического ускорения в полосах фильтров - неболее ± 2 дБ без учета собственной погрешности ВИП.
8. АЧХ октавных и 1/3-октавных фильтров должны удовлетворятьтребованиям ГОСТ 17168, класс 2.
9. АЧХ 1/6-октавных и фильтров с постоянной полосой пропускания должнысоответствовать техническим условиям на фильтры конкретных типов.
10. Минимальная неравномерностьсуммарной АЧХ формирующих фильтров должна быть не более ± 2 дБ в полосе частот20-2000 Гц и ±3 дБ - в полосе частот 5-5000 Гц.
11. Неравномерность спектральной плотности мощности сигнала на выходеформирующих фильтров при задании плоского спектра должна быть не более ± 1,5 дБв полосе частот 10-5000 Гц.
12. Динамический диапазон АРУ должен быть не менее 50 дБ,
13. Погрешность АРУ не должна быть более ± 0,7 дБ при изменениивходного сигнала на ± 20 дБ.
14. Отношение максимального выходного сигнала к уровню собственногофона и шумов должно быть не менее 60 дБ.
Обязательное
ТРЕБОВАНИЯ ККОНСТРУКЦИИ И ПОСАДОЧНЫМ ПОВЕРХНОСТЯМ СТОЛА И ЭКВИВАЛЕНТА НАГРУЗКИ ВИБРОСТЕНДА
1. Эквивалент нагрузки должен быть в виде цилиндра.
2. Отношение высоты эквивалента нагрузки к его диаметру должнонаходиться в диапазоне 0,4 - 1,0.
3. Резонансная частота закрепленного эквивалента нагрузки должна бытьне менее чем в 1,5 раза выше первой резонансной частоты подвижной системывибростенда.
4. Посадочные поверхности стола и эквивалента нагрузки вибростенда:
- отклонение от плоскостности относительно общей прилегающей плоскости- не более 0,1 мм;
- отклонение от перпендикулярности относительно оси стола или осиэквивалента нагрузки - не более 0,05 мм;
- параметр шероховатости Ra - не более 1,6 мкм по ГОСТ 2789;
- отклонение осей резьбовых втулок от перпендикулярности относительно поверхности стола - не более 0,025 мм.
Рекомендуемое
Расположение идиаметры отверстий для крепления
испытуемых изделий на столе вибростенда

ИНФОРМАЦИОННЫЕ ДАННЫЕ
1.РАЗРАБОТАН И ВНЕСЕН Государственным комитетом СССР по стандартам
2.УТВЕРЖДЕН И ВВЕДЕН В ДЕЙСТВИЕ Постановлением Государственного комитета СССР постандартам от 12.07.83 № 3065
3.В стандарт введены международные стандарты: ИСО 5344-80 и Публикация МЭК68-2-6-82
4.ВВЕДЕН ВПЕРВЫЕ
5. ССЫЛОЧНЫЕНОРМАТИВНО-ТЕХНИЧЕСКИЕ ДОКУМЕНТЫ
| Обозначение НТД, на который дана ссылка | Номер пункта, приложения |
| ГОСТ 2.601-95 | 4.3 |
| ГОСТ 8.001-80 | 5.9 |
| ГОСТ 8.326-89 | 5.9 |
| ГОСТ 9.014-78 | 7.4 |
| ГОСТ 12.1.003-83 | 8.3 |
| ГОСТ 12.1.012-90 | 3.2, 6.2.28, 8.2 |
| ГОСТ 12.1.023-80 | 3.2 |
| ГОСТ 12.1.028-80 | 6.2.28 |
| ГОСТ 12.2.007.0-75 | 2.2, 3.1 |
| ГОСТ 515-77 | 7.5 |
| ГОСТ 1908-88 | 7.4 |
| ГОСТ 2789-73 | Приложение 4 |
| ГОСТ 2991-85 | 7.3 |
| ГОСТ 8032-84 | 1.2.1, 1.2.3, 1.4.3 |
| ГОСТ 10198-91 | 7.3 |
| ГОСТ 10354-82 | 7.5 |
| ГОСТ 10877-76 | 7.4 |
| ГОСТ 12090-80 | 6.1.1 |
| ГОСТ 12997-84 | 2.4, 6.1.7 |
| ГОСТ 13109-97 | 2.3 |
| ГОСТ 14192-96 | 7.2 |
| ГОСТ 15150-69 | 2.2, 6.1.2, 7.9, 7.10 |
| ГОСТ 16504-81 | Вводная часть |
| ГОСТ 16842-82 | 6.2.9 |
| ГОСТ 17168-82 | Приложение 3 |
| ГОСТ 18620-86 | 7.1 |
| ГОСТ 22261-94 | 6.1.3 |
| ГОСТ 23216-78 | 2.2, 6.1.4, 7.4 |
| ГОСТ 23706-93 | 6.2.17 |
| ГОСТ 23849-87 | 6.2.25 |
| ГОСТ 24346-80 | Вводная часть |
| ГОСТ 25051.3-83 | Вводная часть, 6.1.1, 6.2.1, 6.2.7, 6.2.11-6.2.14 |
| РД 50-650-87 | 5.8, 6.2.8 |
| РД 50-690-89 | 5.8, 6.2.8 |
| МИ 1873-88 | 6.2.1 |
6. Ограничение срока действияснято по протоколу № 5-94 Межгосударственного Совета по стандартизации,метрологии и сертификации (ИУС 11-12-94)
7.ИЗДАНИЕ (февраль 2003 г.) с Изменением № 1, утвержденным в июне 1990 г. (ИУС10-90)