Меню по разделу
+
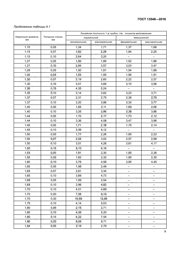
Настоящий стандарт распространяется на круглые холоднодеформированные тянутые тонкостенные трубки из никеля и никелевых сплавов, предназначенные для электронной техники и других отраслей промышленности.
Настоящий стандарт устанавливает сортамент, технические требования, правила приемки, методы контроля и испытаний, правила маркировки, упаковки, транспортирования и хранения трубок
| Обозначение: | ГОСТ 13548-2016 |
| Статус: | действующий |
| Название рус.: | Трубки тонкостенные из никеля и никелевых сплавов. Технические условия |
| Название англ.: | Thin-walled tubes of nickel and nickel alloys. Specifications |
| Дата актуализации текста: | 01.12.2016 |
| Дата актуализации описания: | 10.08.2017 |
| Дата издания: | 15.08.2016 |
| Дата введения в действие: | 01.04.2017 |
| Дата последнего изменения: | 17.07.2017 |
| Область и условия применения: | Настоящий стандарт распространяется на круглые холоднодеформированные тянутые тонкостенные трубки из никеля и никелевых сплавов, предназначенные для электронной техники и других отраслей промышленности.
Настоящий стандарт устанавливает сортамент, технические требования, правила приемки, методы контроля и испытаний, правила маркировки, упаковки, транспортирования и хранения трубок |
| Страниц: | 15 |
| Ссылки для скачивания: |

