Меню по разделу
+
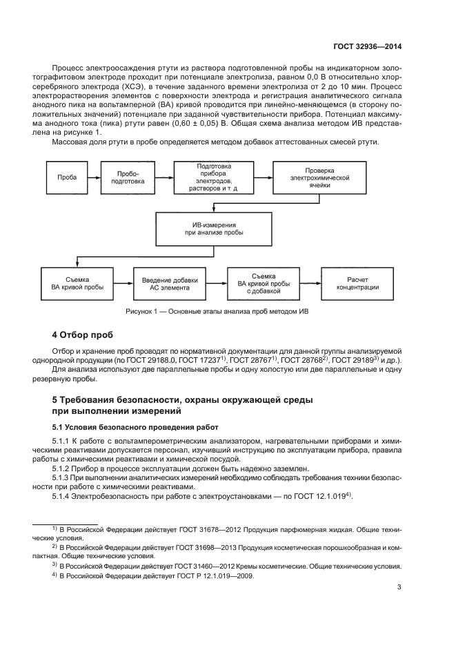
Настоящий стандарт устанавливает инверсионно-вольтамперометрический метод (далее - ИВ) определения массовой доли (содержания) ртути при анализе проб парфюмерно-косметической продукции (далее-ПКП) с содержанием железа не более 0,50 мг/кг.
Диапазон содержания ртути от 0,002 до 1,0 мг/кг. Если содержание элемента в пробе выходит за верхнюю границу диапазона определяемых содержаний, допускается разбавление подготовленной к измерению пробы
| Обозначение: | ГОСТ 32936-2014 |
| Статус: | действующий |
| Название рус.: | Продукция парфюмерно-косметическая. Инверсионно-вольтамперометрический метод определения ртути |
| Название англ.: | Perfumery and cosmetic production. Anodic stripping voltammetric method of definition of mercury |
| Дата актуализации текста: | 01.12.2016 |
| Дата актуализации описания: | 10.08.2017 |
| Дата издания: | 22.08.2016 |
| Дата введения в действие: | 01.07.2017 |
| Дата последнего изменения: | 13.07.2017 |
| Область и условия применения: | Настоящий стандарт устанавливает инверсионно-вольтамперометрический метод (далее - ИВ) определения массовой доли (содержания) ртути при анализе проб парфюмерно-косметической продукции (далее-ПКП) с содержанием железа не более 0,50 мг/кг.
Диапазон содержания ртути от 0,002 до 1,0 мг/кг. Если содержание элемента в пробе выходит за верхнюю границу диапазона определяемых содержаний, допускается разбавление подготовленной к измерению пробы |
| Страниц: | 23 |
| Ссылки для скачивания: |

