Меню по разделу
+
Настоящий стандарт устанавливает основные параметры процессов передачи метаданных по двунаправленной сети с целью обнаружения служб метаданных и получения описания возможностей служб метаданных
| Обозначение: | ГОСТ Р 56952-2016 |
| Статус: | действующий |
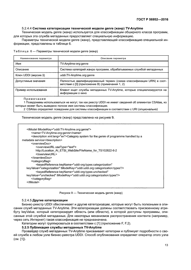
| Название рус.: | Телевидение вещательное цифровое. Система TV-Anytime. Передача метаданных по двунаправленной сети. Основные параметры |
| Название англ.: | Digital Video Broadcasting. System TV-Anytime. Delivery of metadata over a bi-directional network. Basic parameters |
| Дата актуализации текста: | 01.02.2017 |
| Дата актуализации описания: | 10.08.2017 |
| Дата издания: | 18.07.2016 |
| Дата введения в действие: | 01.06.2017 |
| Дата последнего изменения: | 13.07.2017 |
| Область и условия применения: | Настоящий стандарт устанавливает основные параметры процессов передачи метаданных по двунаправленной сети с целью обнаружения служб метаданных и получения описания возможностей служб метаданных |
| Страниц: | 22 |
| Ссылки для скачивания: |

