Меню по разделу
+
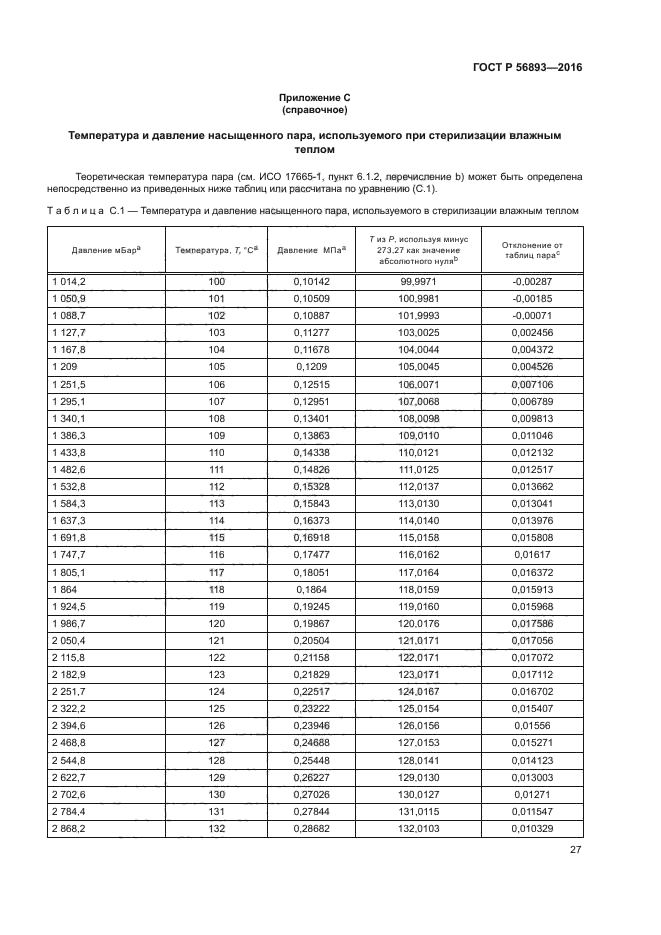
Данная техническая спецификация обеспечивает общее руководство при разработке, валидации и текущем контроле процессов стерилизации влажным теплом и предназначена для разъяснения требований, изложенных в стандарте ИСО 17665-1.
Указания, приведенные в настоящей технической спецификации, предназначены для продвижения правильных практик, имеющих отношение к процессам стерилизации влажным теплом и для оказания помощи тем, кто разрабатывает и валидирует процессы стерилизации влажным теплом в соответствии с требованиями стандарта ИСО 17665-1
| Обозначение: | ГОСТ Р 56893-2016 |
| Статус: | действующий |
| Название рус.: | Стерилизация медицинской продукции. Влажное тепло. Часть 2. Руководство по применению стандарта ИСО 17665-1 |
| Название англ.: | Sterilization of health care products. Moist heat. Part 2. Guidance on the application of ISO 17665-1 |
| Дата актуализации текста: | 07.08.2016 |
| Дата актуализации описания: | 10.08.2017 |
| Дата издания: | 18.04.2016 |
| Дата введения в действие: | 01.03.2017 |
| Дата последнего изменения: | 17.07.2017 |
| Область и условия применения: | Данная техническая спецификация обеспечивает общее руководство при разработке, валидации и текущем контроле процессов стерилизации влажным теплом и предназначена для разъяснения требований, изложенных в стандарте ИСО 17665-1.
Указания, приведенные в настоящей технической спецификации, предназначены для продвижения правильных практик, имеющих отношение к процессам стерилизации влажным теплом и для оказания помощи тем, кто разрабатывает и валидирует процессы стерилизации влажным теплом в соответствии с требованиями стандарта ИСО 17665-1 |
| Страниц: | 46 |
| Ссылки для скачивания: |

