Меню по разделу
+
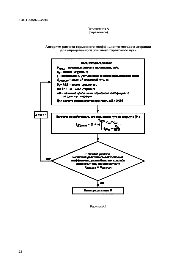
Настоящий стандарт устанавливает методы контроля тормозных систем локомотивов, моторвагонного подвижного состава, пассажирских и грузовых вагонов локомотивной тяги, а также другого подвижного состава, предназначенного для осуществления перевозок и функционирования инфраструктуры железнодорожного транспорта (далее-железнодорожный подвижной состав)
| Обозначение: | ГОСТ 33597-2015 |
| Статус: | действующий |
| Название рус.: | Тормозные системы железнодорожного подвижного состава. Методы испытаний |
| Название англ.: | Braking systems of railway rolling stock. Inspection procedures |
| Дата актуализации текста: | 07.08.2016 |
| Дата актуализации описания: | 10.08.2017 |
| Дата издания: | 22.06.2016 |
| Дата введения в действие: | 01.09.2016 |
| Дата последнего изменения: | 13.07.2017 |
| Область и условия применения: | Настоящий стандарт устанавливает методы контроля тормозных систем локомотивов, моторвагонного подвижного состава, пассажирских и грузовых вагонов локомотивной тяги, а также другого подвижного состава, предназначенного для осуществления перевозок и функционирования инфраструктуры железнодорожного транспорта (далее-железнодорожный подвижной состав) |
| Страниц: | 27 |
| Ссылки для скачивания: |

