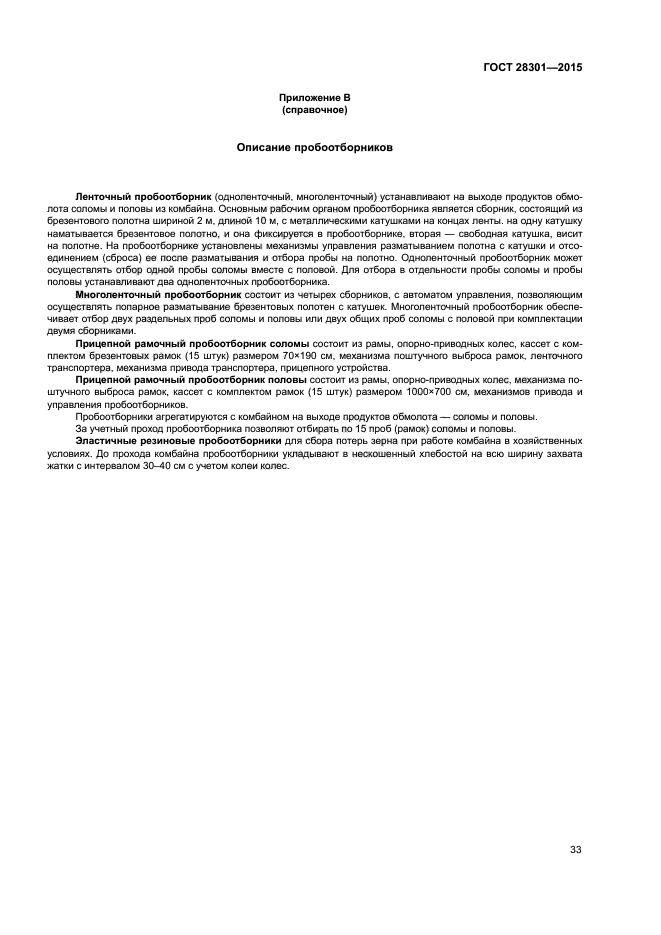
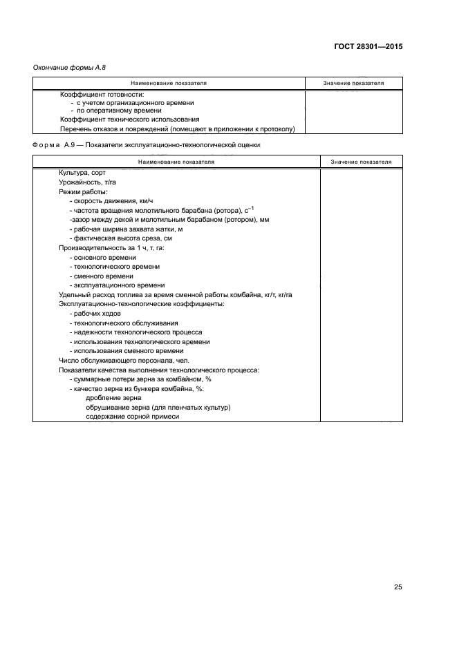
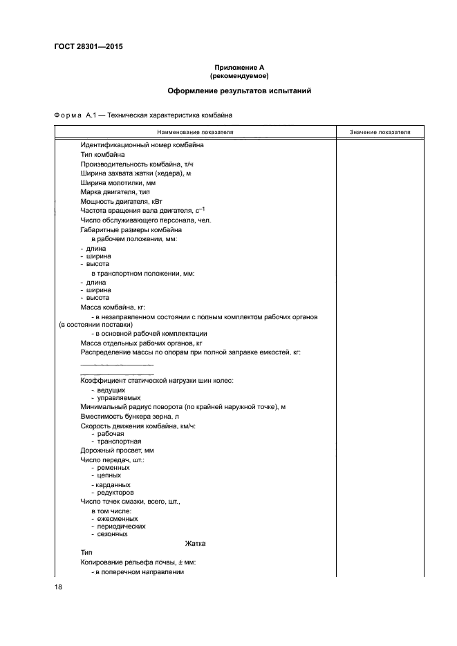
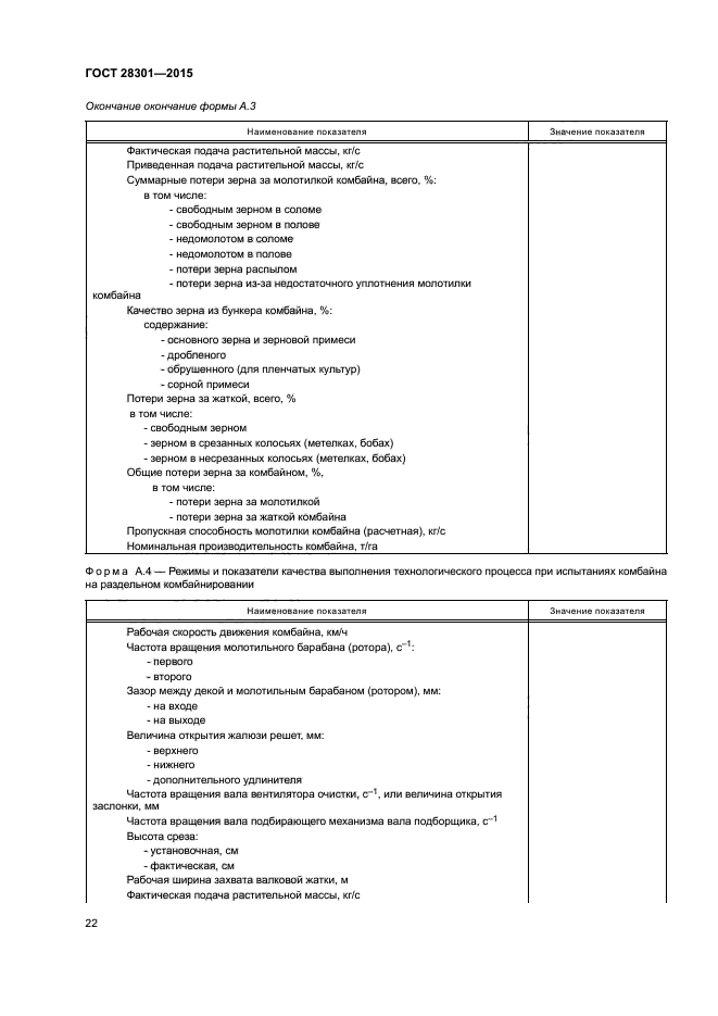
Меню по разделу
+
Настоящий стандарт распространяется на комбайны зерноуборочные, предназначенные для уборки зерновых колосовых культур, зернобобовых и риса прямым и раздельным комбайнированием и устанавливает методы их испытаний
| Обозначение: | ГОСТ 28301-2015 |
| Статус: | действующий |
| Название рус.: | Комбайны зерноуборочные. Методы испытаний |
| Дата актуализации текста: | 01.12.2016 |
| Дата актуализации описания: | 10.08.2017 |
| Дата издания: | 15.08.2016 |
| Дата введения в действие: | 01.07.2017 |
| Дата последнего изменения: | 13.07.2017 |
| Область и условия применения: | Настоящий стандарт распространяется на комбайны зерноуборочные, предназначенные для уборки зерновых колосовых культур, зернобобовых и риса прямым и раздельным комбайнированием и устанавливает методы их испытаний |
| Страниц: | 43 |
| Ссылки для скачивания: |

