Меню по разделу
+
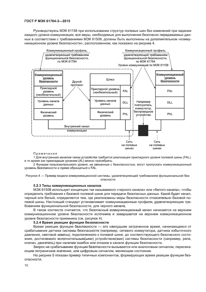
Настоящий стандарт рассматривает некоторые общие принципы, которые используются при передаче связанных с безопасностью сообщений между участниками распределенной сети, применяя технологию полевых шин в соответствии с требованиями комплекса МЭК 61784, для обеспечения функциональной безопасности. Эти принципы могут быть использованы в различных промышленных применениях таких, как управление процессами, автоматизация производства и машинное оборудование
| Обозначение: | ГОСТ Р МЭК 61784-3-2015 |
| Статус: | действующий |
| Название рус.: | Промышленные сети. Профили. Часть 3. Функциональная безопасность полевых шин. Общие правила и определения профилей |
| Дата актуализации текста: | 07.08.2016 |
| Дата актуализации описания: | 10.08.2017 |
| Дата издания: | 02.06.2016 |
| Дата введения в действие: | 01.11.2016 |
| Дата последнего изменения: | 17.07.2017 |
| Область и условия применения: | Настоящий стандарт рассматривает некоторые общие принципы, которые используются при передаче связанных с безопасностью сообщений между участниками распределенной сети, применяя технологию полевых шин в соответствии с требованиями комплекса МЭК 61784, для обеспечения функциональной безопасности. Эти принципы могут быть использованы в различных промышленных применениях таких, как управление процессами, автоматизация производства и машинное оборудование |
| Страниц: | 54 |
| Ссылки для скачивания: |

