Меню по разделу
+
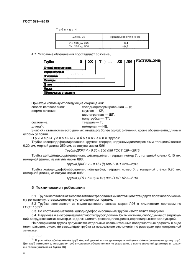
Настоящий стандарт распространяется на холоднодеформированные трубки из сплава марки Л96 круглые, шестигранные и полутрубки, предназначенные для изготовления сотовых радиаторов.
Стандарт устанавливает сортамент, технические требования, правила приемки, методы контроля и испытаний, маркировку, упаковку, транспортирование и хранение трубок
| Обозначение: | ГОСТ 529-2015 |
| Статус: | действующий |
| Название рус.: | Трубки радиаторные. Технические условия |
| Название англ.: | Radiator tubes. Specifications |
| Дата актуализации текста: | 26.02.2016 |
| Дата актуализации описания: | 10.08.2017 |
| Дата издания: | 08.02.2016 |
| Дата введения в действие: | 01.04.2016 |
| Дата последнего изменения: | 17.07.2017 |
| Область и условия применения: | Настоящий стандарт распространяется на холоднодеформированные трубки из сплава марки Л96 круглые, шестигранные и полутрубки, предназначенные для изготовления сотовых радиаторов.
Стандарт устанавливает сортамент, технические требования, правила приемки, методы контроля и испытаний, маркировку, упаковку, транспортирование и хранение трубок |
| Страниц: | 11 |
| Ссылки для скачивания: |

