Меню по разделу
+
Настоящий стандарт распространяется на алюминиевые, медные, латунные и мельхиоровые ленты, применяемые для изготовления капсюлей
| Обозначение: | ГОСТ 1018-2015 |
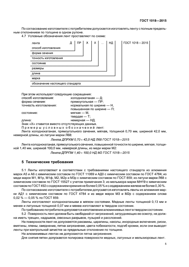
| Статус: | действующий |
| Название рус.: | Ленты алюминиевые, медные, латунные и мельхиоровые для капсюлей. Технические условия |
| Название англ.: | Aluminium, copper, brass and cupronickel strips for capsules. Specifications |
| Дата актуализации текста: | 26.02.2016 |
| Дата актуализации описания: | 10.08.2017 |
| Дата издания: | 08.02.2016 |
| Дата введения в действие: | 01.04.2016 |
| Дата последнего изменения: | 13.07.2017 |
| Область и условия применения: | Настоящий стандарт распространяется на алюминиевые, медные, латунные и мельхиоровые ленты, применяемые для изготовления капсюлей |
| Страниц: | 14 |
| Ссылки для скачивания: |

