Меню по разделу
+
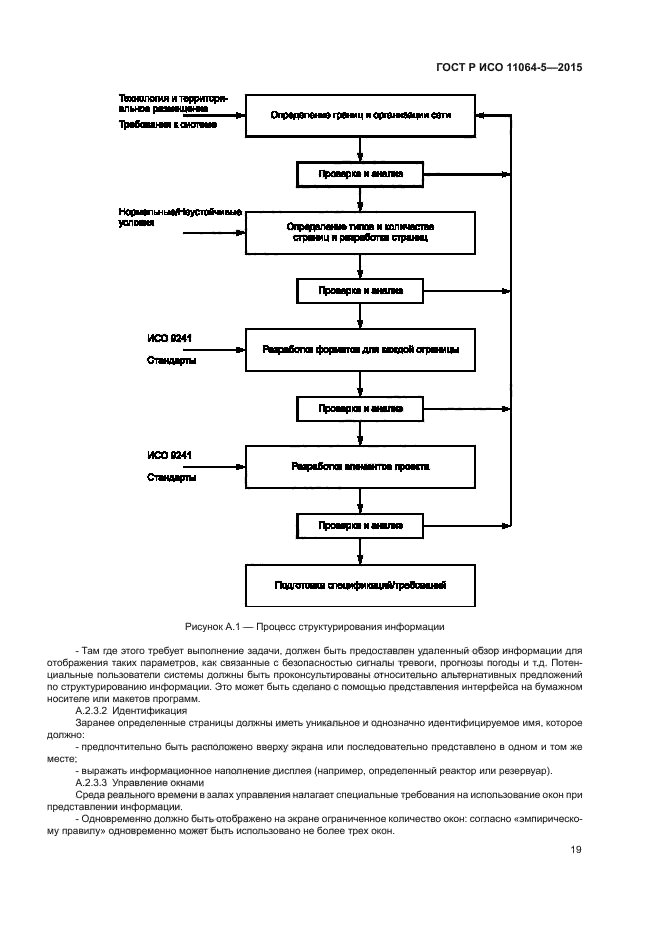
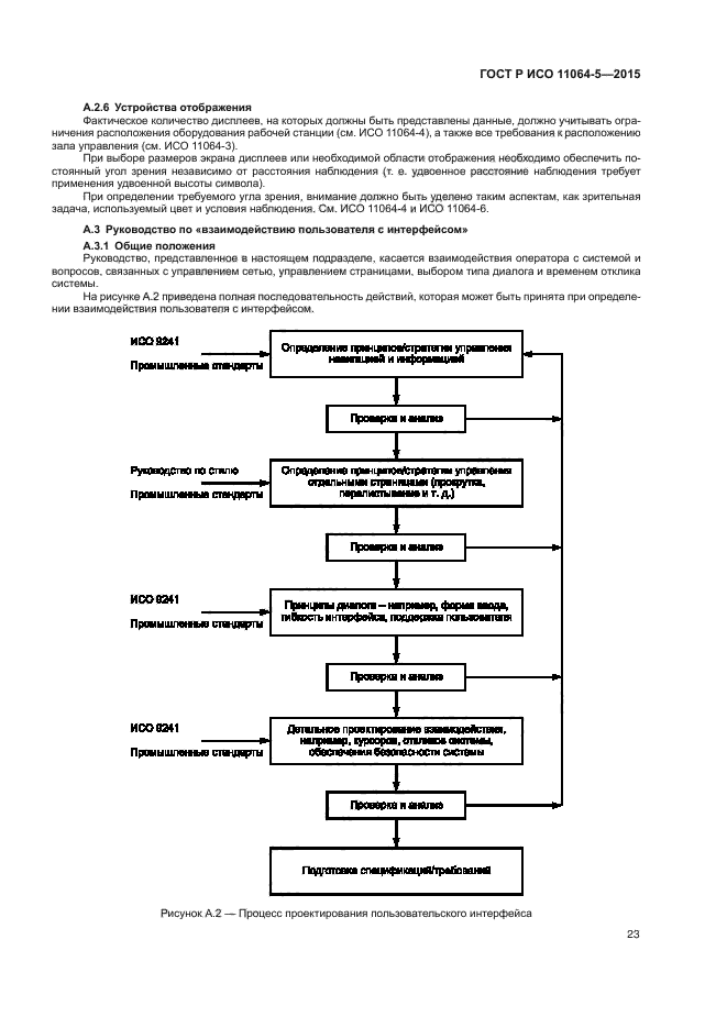
В настоящем стандарте установлены принципы, рекомендации и требования к дисплеям, элементам управления и их взаимодействию при проектировании аппаратного и программного обеспечения центра управления
| Обозначение: | ГОСТ Р ИСО 11064-5-2015 |
| Статус: | действующий |
| Название рус.: | Эргономическое проектирование центров управления. Часть 5. Дисплеи и элементы управления |
| Дата актуализации текста: | 26.02.2016 |
| Дата актуализации описания: | 10.08.2017 |
| Дата издания: | 08.02.2016 |
| Дата введения в действие: | 01.12.2016 |
| Дата последнего изменения: | 17.07.2017 |
| Область и условия применения: | В настоящем стандарте установлены принципы, рекомендации и требования к дисплеям, элементам управления и их взаимодействию при проектировании аппаратного и программного обеспечения центра управления |
| Страниц: | 42 |
| Ссылки для скачивания: |

