Меню по разделу
+
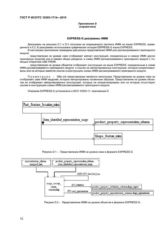
Настоящий стандарт определяет прикладной модуль «Пространственное расположение геометрической модели элемента в модели более высокого уровня». В область применения настоящего стандарта входят:
- обозначение отношения, задающего пространственное положение и ориентацию геометрической модели некоторого элемента в той модели, в которой этот элемент используется;
- положения, входящие в область применения прикладного модуля ИСО/ТС 10303-1764 Shape feature.
В область применения настоящего стандарта не входит:
- обозначение использования элемента
| Обозначение: | ГОСТ Р ИСО/ТС 10303-1714-2015 |
| Статус: | действующий |
| Название рус.: | Системы автоматизации производства и их интеграция. Представление данных об изделии и обмен этими данными. Часть 1714. Прикладной модуль. Пространственное расположение геометрической модели элемента в модели более высокого уровня |
| Дата актуализации текста: | 26.02.2016 |
| Дата актуализации описания: | 10.08.2017 |
| Дата издания: | 08.02.2016 |
| Дата введения в действие: | 01.10.2016 |
| Дата последнего изменения: | 17.07.2017 |
| Область и условия применения: | Настоящий стандарт определяет прикладной модуль «Пространственное расположение геометрической модели элемента в модели более высокого уровня». В область применения настоящего стандарта входят:
- обозначение отношения, задающего пространственное положение и ориентацию геометрической модели некоторого элемента в той модели, в которой этот элемент используется; - положения, входящие в область применения прикладного модуля ИСО/ТС 10303-1764 Shape feature. В область применения настоящего стандарта не входит: - обозначение использования элемента |
| Страниц: | 19 |
| Ссылки для скачивания: |

