Меню по разделу
+
Настоящий стандарт определяет теплофизические свойства нескольких широко используемых хладагентов и смесей хладагентов.
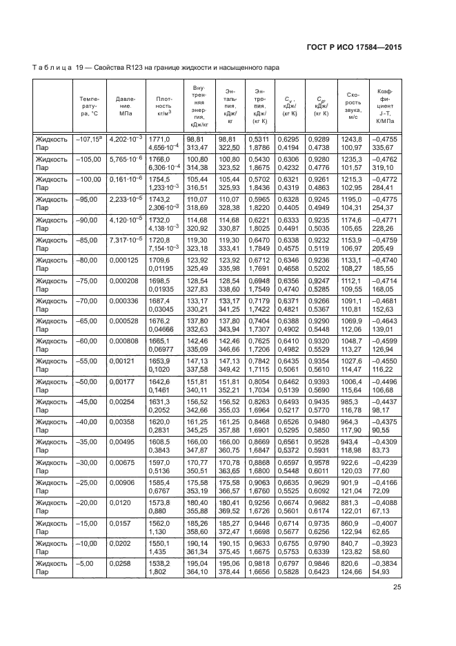
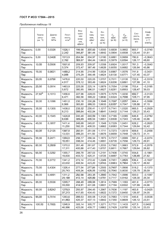
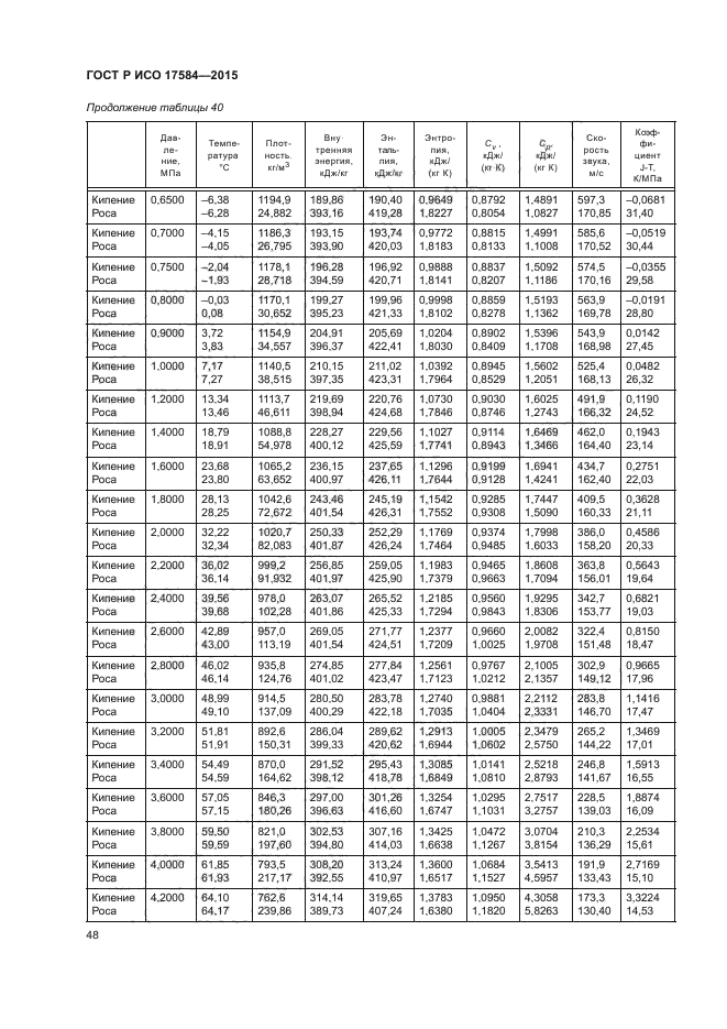
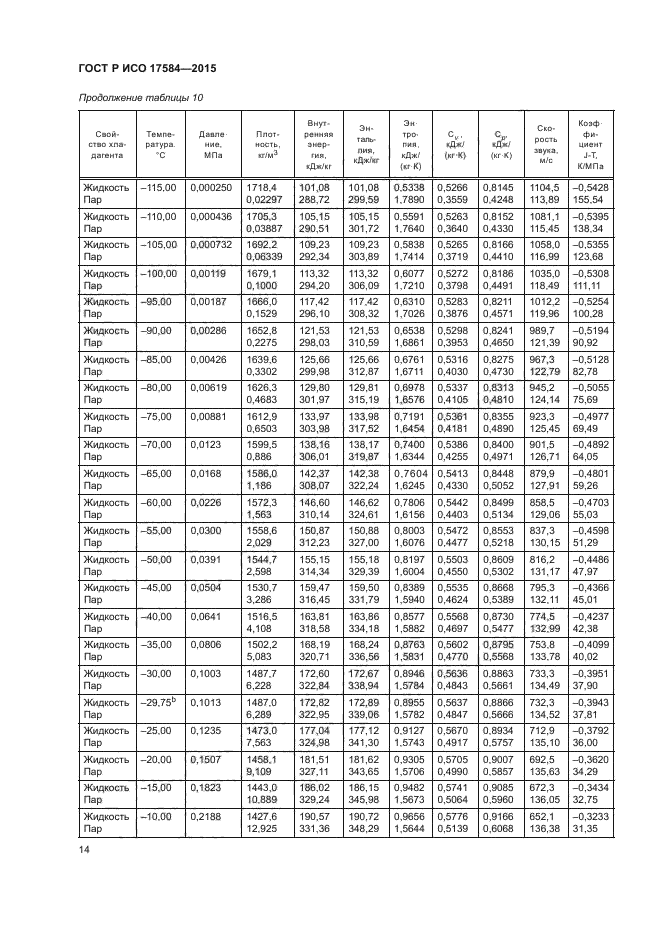
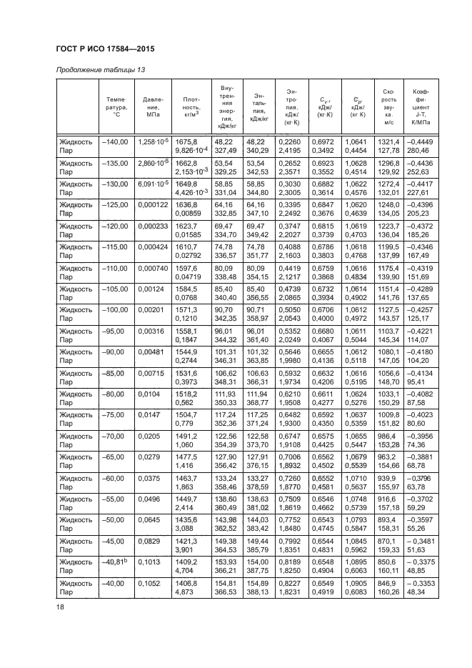
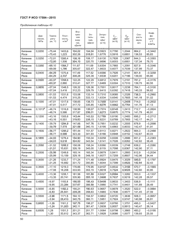
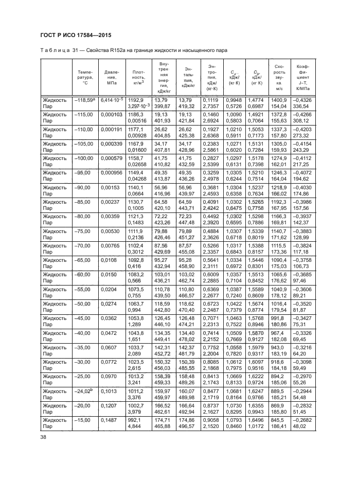
Настоящий стандарт применим к хладагентам R12, R22, R32, R123, R125, R134a, R143a, R152a, R717 (аммиак) и R744 (диоксид углерода) и к смесям хладагентов R404A, R407С, R410A и R507A. Включены следующие свойства: плотность, давление, внутренняя энергия, энтальпия, энтропия, теплоемкость при постоянном давлении, теплоемкость при постоянном объеме, скорость звука и коэффициент Джоуля-Томсона, как в однофазном состоянии, так и на границе насыщения жидкости/пара. Числовое обозначение хладагентов - в соответствии с ИСО 817
| Обозначение: | ГОСТ Р ИСО 17584-2015 |
| Статус: | действующий |
| Название рус.: | Свойства хладагентов |
| Дата актуализации текста: | 26.02.2016 |
| Дата актуализации описания: | 10.08.2017 |
| Дата издания: | 24.12.2015 |
| Дата введения в действие: | 01.01.2016 |
| Дата последнего изменения: | 13.07.2017 |
| Область и условия применения: | Настоящий стандарт определяет теплофизические свойства нескольких широко используемых хладагентов и смесей хладагентов.
Настоящий стандарт применим к хладагентам R12, R22, R32, R123, R125, R134a, R143a, R152a, R717 (аммиак) и R744 (диоксид углерода) и к смесям хладагентов R404A, R407С, R410A и R507A. Включены следующие свойства: плотность, давление, внутренняя энергия, энтальпия, энтропия, теплоемкость при постоянном давлении, теплоемкость при постоянном объеме, скорость звука и коэффициент Джоуля-Томсона, как в однофазном состоянии, так и на границе насыщения жидкости/пара. Числовое обозначение хладагентов - в соответствии с ИСО 817 |
| Страниц: | 73 |
| Ссылки для скачивания: |

