Меню по разделу
+
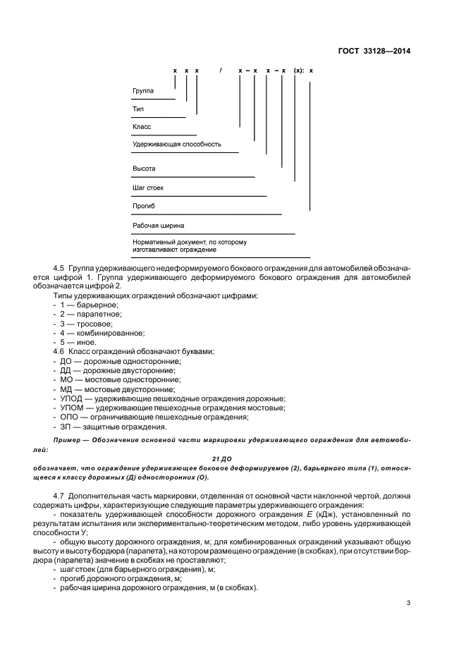
Настоящий стандарт устанавливает общие технические требования к дорожным ограждениям по ГОСТ 33127 на автомобильных дорогах общего пользования, мостовых сооружениях на них, улицах и дорогах городов
| Обозначение: | ГОСТ 33128-2014 |
| Статус: | действующий |
| Название рус.: | Дороги автомобильные общего пользования. Ограждения дорожные. Технические требования |
| Дата актуализации текста: | 15.10.2015 |
| Дата актуализации описания: | 10.08.2017 |
| Дата издания: | 14.08.2015 |
| Дата введения в действие: | 01.07.2015 |
| Дата последнего изменения: | 13.07.2017 |
| Область и условия применения: | Настоящий стандарт устанавливает общие технические требования к дорожным ограждениям по ГОСТ 33127 на автомобильных дорогах общего пользования, мостовых сооружениях на них, улицах и дорогах городов |
| Список изменений: | №0 от 05.04.2017 (рег. 05.04.2017) «Дата введения перенесена» |
| Страниц: | 14 |
| Ссылки для скачивания: |

