Меню по разделу
+
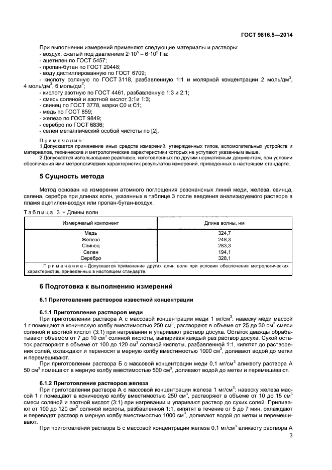
Настоящий стандарт устанавливает методику измерений массовой доли меди, железа, свинца, селена, серебра в техническом теллуре методом атомно-абсорбционной спектроскопии
| Обозначение: | ГОСТ 9816.5-2014 |
| Статус: | действующий |
| Название рус.: | Теллур технический. Метод атомно-абсорбционного анализа |
| Название англ.: | Tellurium technical. Method of atomic-absorptive analysis |
| Дата актуализации текста: | 01.08.2015 |
| Дата актуализации описания: | 10.08.2017 |
| Дата издания: | 07.04.2015 |
| Дата введения в действие: | 01.01.2016 |
| Дата последнего изменения: | 17.07.2017 |
| Область и условия применения: | Настоящий стандарт устанавливает методику измерений массовой доли меди, железа, свинца, селена, серебра в техническом теллуре методом атомно-абсорбционной спектроскопии |
| Страниц: | 8 |
| Ссылки для скачивания: |

