Меню по разделу
+
Настоящий стандарт распространяется на дизельные топлива, которые могут содержать не более 5 % об. сложных метиловых эфиров жирных кислот (FAME) и нефтяные дистилляты диапазоном кипения от 150 °С до 400 °С и устанавливает метод определения массовой доли моноароматических, диароматических и три+-ароматических углеводородов высокоэффективной жидкостной хроматографией с детектированием по коэффициенту рефракции
| Обозначение: | ГОСТ EN 12916-2012 |
| Статус: | действующий |
| Название рус.: | Нефтепродукты. Определение типов ароматических углеводородов в средних дистиллятах. Метод высокоэффективной жидкостной хроматографии с детектированием по коэффициенту рефракции |
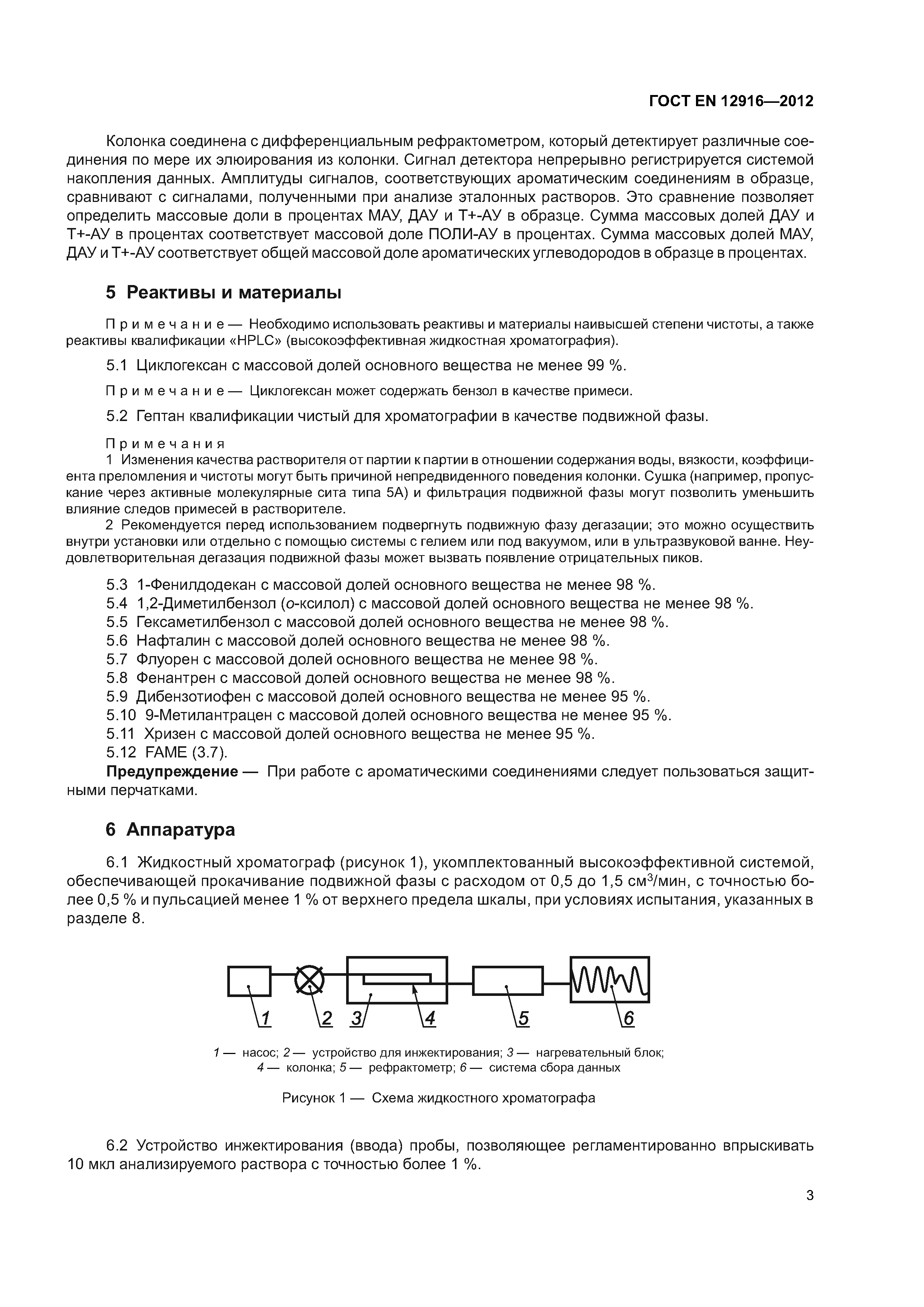
| Дата актуализации текста: | 06.04.2015 |
| Дата актуализации описания: | 10.08.2017 |
| Дата издания: | 12.12.2013 |
| Дата введения в действие: | 01.07.2014 |
| Дата последнего изменения: | 13.07.2017 |
| Область и условия применения: | Настоящий стандарт распространяется на дизельные топлива, которые могут содержать не более 5 % об. сложных метиловых эфиров жирных кислот (FAME) и нефтяные дистилляты диапазоном кипения от 150 °С до 400 °С и устанавливает метод определения массовой доли моноароматических, диароматических и три+-ароматических углеводородов высокоэффективной жидкостной хроматографией с детектированием по коэффициенту рефракции |
| Страниц: | 19 |
| Ссылки для скачивания: |

