Меню по разделу
+
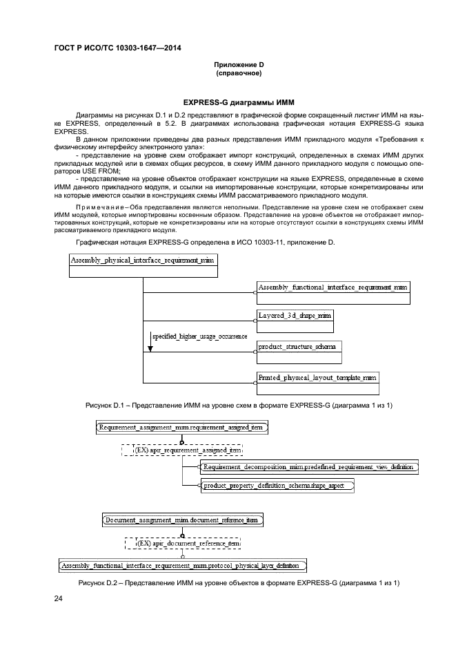
Настоящий стандарт определяет прикладной модуль «Требования к физическому интерфейсу электронного узла».
Требования настоящего стандарта распространяются на:
- расположение соединительного разъема;
- объемное описание конструкции;
- описание физического уровня коммуникационного протокола, включая соответствие контактов разъема наименованиям сигналов;
- положения, относящиеся к области применения прикладного модуля «Требования к функциональному интерфейсу электронного узла», определенного в ИСО/ТС 10303-1635;
- положения, относящиеся к области применения прикладного модуля «Многослойная трехмерная форма», определенного в ИСО/ТС 10303-1694;
- положения, относящиеся к области применения прикладного модуля «Шаблон физического расположения элементов многослойной печатной платы», определенного в ИСО/ТС 10303-1737.
Требования настоящего стандарта не распространяются на детали конструкции электронного узла
| Обозначение: | ГОСТ Р ИСО/ТС 10303-1647-2014 |
| Статус: | действующий |
| Название рус.: | Системы автоматизации производства и их интеграция. Представление данных об изделии и обмен этими данными. Часть 1647. Прикладной модуль. Требования к физическому интерфейсу электронного узла |
| Дата актуализации текста: | 01.08.2015 |
| Дата актуализации описания: | 10.08.2017 |
| Дата издания: | 07.04.2015 |
| Дата введения в действие: | 01.10.2015 |
| Дата последнего изменения: | 17.07.2017 |
| Область и условия применения: | Настоящий стандарт определяет прикладной модуль «Требования к физическому интерфейсу электронного узла».
Требования настоящего стандарта распространяются на: - расположение соединительного разъема; - объемное описание конструкции; - описание физического уровня коммуникационного протокола, включая соответствие контактов разъема наименованиям сигналов; - положения, относящиеся к области применения прикладного модуля «Требования к функциональному интерфейсу электронного узла», определенного в ИСО/ТС 10303-1635; - положения, относящиеся к области применения прикладного модуля «Многослойная трехмерная форма», определенного в ИСО/ТС 10303-1694; - положения, относящиеся к области применения прикладного модуля «Шаблон физического расположения элементов многослойной печатной платы», определенного в ИСО/ТС 10303-1737. Требования настоящего стандарта не распространяются на детали конструкции электронного узла |
| Страниц: | 31 |
| Ссылки для скачивания: |

