Меню по разделу
+
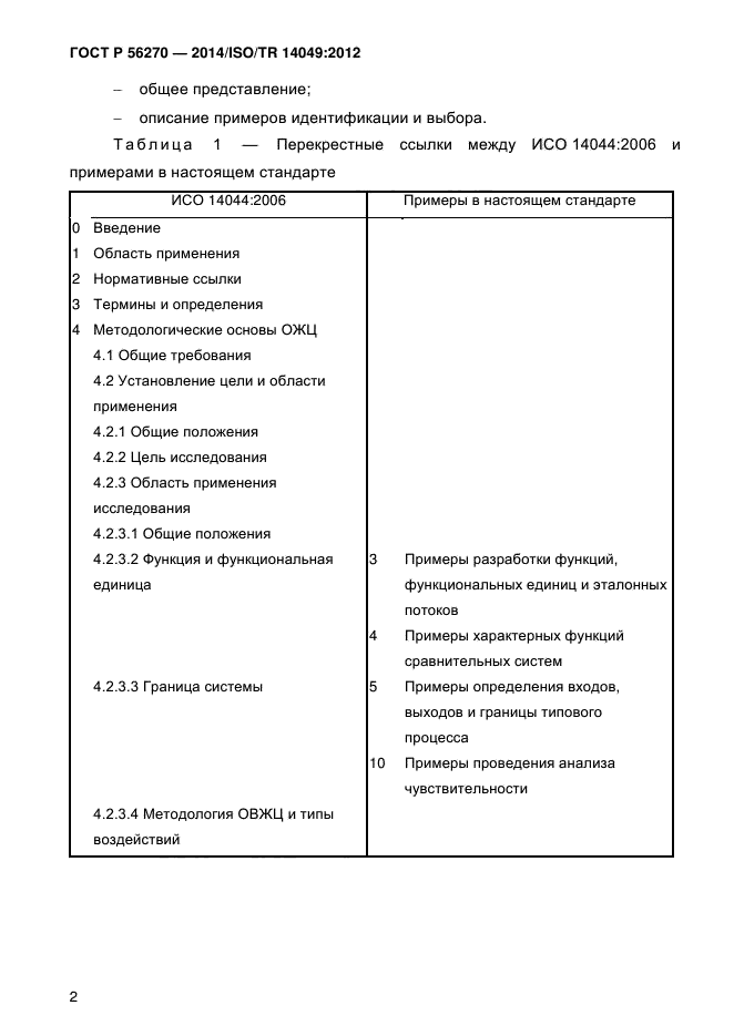
Настоящий стандарт устанавливает примеры использования ИСО 14044 для определения цели и области исследования и проведения инвентаризационных анализов элементов оценки жизненного цикла. Эти примеры представляют возможные случаи проведения оценки соответствия положениям стандарта ИСО 14044, в связи, с чем их следует рассматривать как некоторые части полного цикла исследования элементов оценки жизненного цикла
| Обозначение: | ГОСТ Р 56270-2014 |
| Статус: | принят |
| Название рус.: | Экологический менеджмент. Оценка жизненного цикла. Примеры использования ИСО 14044 для определения цели, области исследования и инвентаризационных анализов |
| Название англ.: | Environmental management. Life cycle assessment. Illustrative examples on how to apply ISO 14044 to goal and scope definition and inventory analysis |
| Дата актуализации текста: | 06.04.2015 |
| Дата актуализации описания: | 10.08.2017 |
| Дата введения в действие: | 01.01.2016 |
| Дата последнего изменения: | 17.07.2017 |
| Область и условия применения: | Настоящий стандарт устанавливает примеры использования ИСО 14044 для определения цели и области исследования и проведения инвентаризационных анализов элементов оценки жизненного цикла. Эти примеры представляют возможные случаи проведения оценки соответствия положениям стандарта ИСО 14044, в связи, с чем их следует рассматривать как некоторые части полного цикла исследования элементов оценки жизненного цикла |
| Страниц: | 82 |
| Ссылки для скачивания: |

