Меню по разделу
+
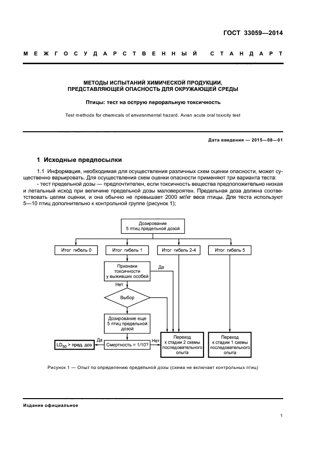
Настоящий стандарт устанавливает метод определения острой пероральной токсичности химических веществ для птиц
| Обозначение: | ГОСТ 33059-2014 |
| Статус: | действующий |
| Название рус.: | Методы испытаний химической продукции, представляющей опасность для окружающей среды. Птицы: тест на острую пероральную токсичность |
| Название англ.: | Testing of chemicals of environmental hazard. Avian acute oral toxicity test |
| Дата актуализации текста: | 06.04.2015 |
| Дата актуализации описания: | 10.08.2017 |
| Дата издания: | 05.03.2015 |
| Дата введения в действие: | 01.08.2015 |
| Дата последнего изменения: | 17.07.2017 |
| Область и условия применения: | Настоящий стандарт устанавливает метод определения острой пероральной токсичности химических веществ для птиц |
| Страниц: | 23 |
| Ссылки для скачивания: |

